Purinalkaloide
| Name | Grundstruktur | R1 | R2 | R3 |
|---|---|---|---|---|
| Xanthin | ![]() |
–H | –H | –H |
| Theobromin | –H | –CH3 | –CH3 | |
| Paraxanthin | –CH3 | –H | –CH3 | |
| Theophyllin | –CH3 | –CH3 | –H | |
| Coffein | –CH3 | –CH3 | –CH3 | |
| IBMX | –CH3 | –CH2–CH(CH3)2 | –H | |
| DMPX | –CH2–C≡CH | –CH3 | –CH3 |
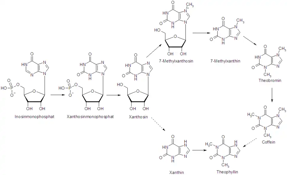
Purinalkaloide, oft auch als Xanthine bezeichnet, sind natürlich vorkommende organische Verbindungen aus der Gruppe der Alkaloide, die sich chemisch vom Xanthin ableiten. Namensgebend für diese Stoffgruppe, zu der Coffein, Theophyllin und Theobromin gehören, ist das Purin-Ringsystem als Grundkörper. Dieser Grundkörper wird im Unterschied zu anderen Alkaloiden, deren Grundgerüst in der Regel ein Produkt des Sekundärstoffwechsels ist, im zum Primärstoffwechsel gehörenden Nukleotidstoffwechsel vorrangig aus den Aminosäuren Glycin und Asparaginsäure aufgebaut. Purinalkaloide, deren Gehalt bis zu 6 % des Trockengewichts betragen kann, kommen beispielsweise in Teeblättern, Kaffeebohnen, Kakao, Kolanüssen, Mate, Guaraná und Guayusa vor. Als Nachweisreaktion auf Purinalkaloide wird klassisch die Murexid-Reaktion genutzt.
Ein dem Theophyllin (1,3-Dimethylxanthin) und Coffein (1,3,7-Trimethylxanthin) ähnliches, künstliches Xanthin ist das 3-Isobutyl-1-methylxanthin (IBMX).

Das synthetisch hergestellte 8-Bromcoffein dient als Radiosensitizer bei der Strahlentherapie von Hirntumoren.[1]
Literatur
- Eckard Eich, Ulrich Förstermann, Chlodwig Franz, Horst Rimpler: Pharmazeutische Biologie 2. Biogene Arzneistoffe. 2. Auflage, Deutscher Apotheker Verlag, Stuttgart 1999, ISBN 978-3769223262.
Einzelnachweise
- ↑ L.P. Vartanyan, I.Ya. Rudenko, V.A. Volchkov: Radiotherapy of experimental brain tumors using radiosensitizing preparation xantobin (8-bromcaffeine). Meditsinskaya Radiologiya; Worldcat; CODEN MERAA; Vol. 34(11), S. 82–83.
.svg.png)