Thermosphäre


Die Thermosphäre (von griechisch θερμός thermós „warm, heiß“ und σφαίρα sphaira „Kugel“) ist der Höhenbereich der Erdatmosphäre, in dem ihre Temperatur erneut (oberhalb der Ozonschicht) mit der Höhe ansteigt. Das deutlich ausgeprägte Temperaturminimum an der Untergrenze der Thermosphäre wird Mesopause genannt und liegt in 80–100 km Höhe. Der Bereich des steilsten Temperaturanstiegs liegt bei etwa 120 km. In etwa 500–600 km Höhe ist die stark schwankende (Neutralteilchen)temperatur der Exosphäre erreicht.
Die Thermosphäre überlappt weitgehend mit der Ionosphäre. Zwar ist der Ionisationsgrad erst in der Exosphäre nahezu 1, aber das Maximum der Elektronendichte liegt etwa in der Mitte der Thermosphäre. Hier geht es um Strahlungsabsorption und Energiebilanz. Für die elektrischen Eigenschaften siehe den Artikel Ionosphäre, für die Folgen von Teilchenstrahlung siehe Polarlicht.
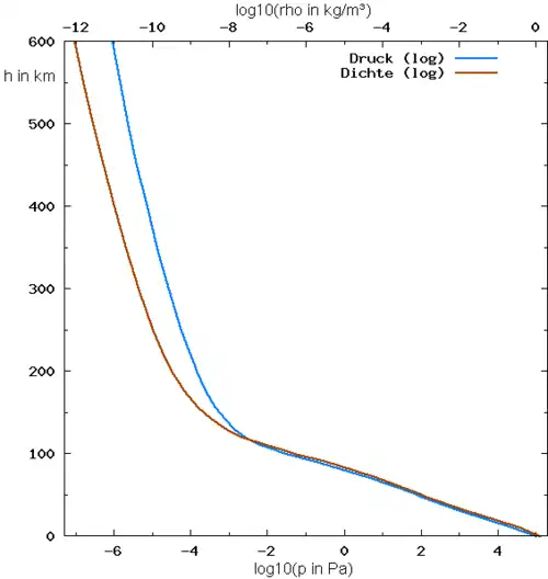
Bereits an der Mesopause sind Druck und Dichte etwa fünf Größenordnungen kleiner als am Erdboden. Hier beginnen Meteore ihre Leuchtspur und Raumfahrzeuge ihren Wiedereintritt aus dem Weltraum. Innerhalb der Thermosphäre sinkt die Dichte um weitere sieben Größenordnungen. In der oberen Thermosphäre liegen bereits niedrige Satellitenbahnen.
Der untere Teil der Thermosphäre in Höhe von rund 100 bis 200 km wird manchmal auch Ignorosphäre genannt, da weniger über sie bekannt ist, da sie für Ballons zu hoch und für Satelliten zu niedrig ist.[1]
Druck und Dichte

Der Luftdruck nimmt wie im unteren Teil der Atmosphäre mit zunehmender Höhe ab. Durch den Einfluss der mit der Höhe zunehmenden Temperatur und die sich wandelnde Zusammensetzung erfolgt die Abnahme jedoch langsamer. Im oberen Teil der Thermosphäre folgt der Druck dabei grob einer Exponentialfunktion, die sich aus der barometrischen Höhenformel ergibt.
Obwohl die Atmosphäre hier außerordentlich dünn ist, macht sich der Luftwiderstand über längere Zeit doch bemerkbar. Die Internationale Raumstation (ISS), die in ca. 350 km Höhe die Erde umkreist, verlöre ohne regelmäßige Anhebung ihrer Umlaufbahn durch Raketentriebwerke innerhalb weniger Jahre so stark an Höhe, dass sie auf die Erde stürzte.
Die Dichte des Atmosphärengases nimmt nahezu exponentiell mit der Höhe ab (Abb. 3).
Die Gesamtmasse M der Atmosphäre innerhalb einer vertikalen Säule von einem Quadratmeter Querschnittsfläche A oberhalb der Erdoberfläche beträgt:
mit
- der Atmosphärendichte ρA = 1,29 kg/m3 am Erdboden in z = 0 m Höhe
- der mittleren Skalenhöhe H ≃ 8 km der unteren Atmosphäre.
80 % dieser Masse befindet sich bereits innerhalb der Troposphäre, während der Anteil der Thermosphäre nur etwa 0,002 % der Gesamtmasse ausmacht. Deshalb wird kein messbarer Einfluss der Thermosphäre auf die unteren Atmosphärenschichten erwartet.
Chemische Zusammensetzung
Gasmoleküle werden von der solaren Röntgen-, Ultraviolett- und Korpuskularstrahlung dissoziiert und ionisiert, weshalb Gase in der Thermosphäre vorwiegend als Plasma aus Ionen, Elektronen und neutralen Teilchen vorkommen.[2] Mit der Höhe steigt die Strahlungsintensität und sinkt die Rekombinationsrate, weshalb der Ionisationsgrad steigt und die mittlere Teilchenmasse (in Abb. 2 als molare Masse angegeben) sinkt. Ein weiterer Grund für die Abnahme der molaren Masse liegt darin, dass leichte Teilchen bei gleicher Temperatur eine höhere Geschwindigkeit haben und damit weniger stark von der Gravitation beeinflusst werden. Auf diese Weise reichern sich im oberen Teil der Thermosphäre leichte Atome und Ionen an.
Konstituenten des Neutralgases
Turbulenz ist dafür verantwortlich, dass das Neutralgas im Gebiet unterhalb der Turbopause in etwa 110 km Höhe eine Gasmischung mit konstanter molarer Masse ist (Abb. 2).
Oberhalb der Turbopause beginnt sich das Gas zu entmischen. Infolge dynamischer Prozesse versuchen die unterschiedlichen Konstituenten dauernd, durch Diffusion in ihren Gleichgewichtszustand zu gelangen. Ihre barometrische Höhenformeln besitzen Skalenhöhen, die umgekehrt proportional zu ihren Molmassen sind. Oberhalb von etwa 200 km Höhe dominieren daher sukzessive die leichteren Konstituenten wie atomarer Sauerstoff (O), Helium (He) und Wasserstoff (H). Dort ist die mittlere Skalenhöhe fast um den Faktor 10 größer als in den unteren Atmosphärenschichten (Abb. 2). Die Zusammensetzung der Luft variiert hier mit der geographischen Lage, der Tages- und Jahreszeit, aber auch mit der Sonnenaktivität und den geomagnetischen Fluktuationen.
Geschichte
In der Zeit vor der Weltraumforschung waren die einzigen Informationen über den Höhenbereich oberhalb 70 km indirekt; sie stammten von der Ionosphärenforschung und dem Erdmagnetfeld:
- Elektromagnetische Wellen unterhalb des VHF-Bereiches (VHF = very high frequencies; 30–300 MHz), die an den unterschiedlichen Ionosphärenschichten reflektiert und gedämpft werden, können an der Erdoberfläche beobachtet werden, abhängig von der Frequenz, der Tages- und Jahreszeit und der solaren Aktivität.[3]
- Die an der Erdoberfläche gemessenen Schwankungen des Erdmagnetfeldes werden elektrischen Strömen in Ionosphäre und Magnetosphäre zugeordnet (ionosphärische Dynamoschicht).[4]
Mit dem Start des russischen Satelliten Sputnik war es zum ersten Male möglich, aus den Dopplereffekt-Messungen des Satellitensignals die Abbremsung der Umlaufzeit systematisch zu bestimmen und daraus die Luftdichte im Bereich der Hochatmosphäre sowie ihre zeitlichen und örtlichen Variationen abzuleiten. Hauptsächlich beteiligt an diesen ersten Messungen waren Luigi Giuseppe Jacchia und Jack W. Slowey (USA), Desmond King-Hele (England) und Wolfgang Priester sowie Hans-Karl Paetzold (Deutschland). Heute misst eine Vielzahl von Satelliten direkt die unterschiedlichsten Komponenten des Atmosphärengases in diesem Höhenbereich.[5]
Energie-Budget
Die thermosphärische Temperatur kann aus Beobachtungen der Gasdichte, aber auch direkt mit Hilfe von Satellitenmessungen bestimmt werden. Das Temperaturprofil gehorcht ziemlich gut dem Gesetz (Bates-Profil)[6]:
- (1)
mit
- der global gemittelten exosphärischen Temperatur oberhalb etwa 400 km Höhe
- der Referenz-Temperatur = 355 K
- der Referenz-Höhe = 120 km
- einem empirischen Parameter , der mit abnimmt.
Aus dieser Gleichung lässt sich die Wärmezufuhr oberhalb von bestimmen zu qo ≃ 0,8 bis 1,6 mW/m2 Höhe. Diese Wärme wird an die unteren Atmosphärenschichten abgegeben durch Wärmeleitung.
Die über der Höhe konstante Exosphärentemperatur dient als Maß für die solare Ultraviolett- und Röntgenstrahlung (XUV). Nun ist die solare Radiostrahlung bei 10,7 cm ein guter Indikator der solaren Aktivität. Daher lässt sich eine empirische Zahlenwertgleichung ableiten, die mit verknüpft[7] und für geomagnetisch ruhige Bedingungen gilt:
- (2)
mit
- in K
- dem Covington-Index in , d. h. einem Wert für , über einen Monat gemittelt.
Typischerweise variiert der Covington-Index im Verlaufe des 11-jährigen Sonnenfleckenzyklus zwischen etwa 70 und 250 und wird niemals kleiner als 50. Das bedeutet, dass selbst bei geomagnetisch ruhigen Bedingungen zwischen etwa 740 und 1350 K schwankt.
Die residuale Temperatur von 500 K in der zweiten Gleichung stammt etwa zur einen Hälfte von Energiezufuhr aus der Magnetosphäre und zur anderen Hälfte von atmosphärischen Wellen aus der Troposphäre, die in der unteren Thermosphäre dissipiert werden.
Energiequellen
Solare XUV-Strahlung
Die hohen Temperaturen in der Thermosphäre werden verursacht von der solaren Röntgen- und extremen ultravioletten Strahlung (XUV) mit Wellenlängen kleiner als 170 nm, die hier nahezu vollständig absorbiert werden. Ein Teil des neutralen Gases wird ionisiert und ist für die Entstehung der Ionosphärenschichten verantwortlich. Die sichtbare Sonnenstrahlung von 380 bis 780 nm bleibt nahezu konstant mit einer Variationsbreite von unter 0,1 % (Solarkonstante).[8]
Dagegen ist die solare XUV-Strahlung zeitlich extrem variabel, so können z. B. solare Röntgenstrahlen, die mit Sonneneruptionen verbunden sind, innerhalb weniger Minuten drastisch ansteigen. Fluktuationen mit Perioden von 27 Tagen bzw. 11 Jahren gehören zu den prominenten Variationen der solaren XUV-Strahlung, irreguläre Fluktuationen über alle Zeitspannen sind jedoch die Regel.[9]
Bei magnetosphärisch ruhigen Bedingungen liefert die XUV-Strahlung etwa die Hälfte der Energiezufuhr in die Thermosphäre (ca. 500 K). Dies geschieht während des Tages, mit einem Maximum in Äquatornähe.
Solarer Wind
Eine zweite Energiequelle ist die Energiezufuhr aus der Magnetosphäre, die ihrerseits ihre Energie der Wechselwirkung mit dem solaren Wind verdankt.
Der Mechanismus dieses Energietransports ist noch nicht in allen Einzelheiten bekannt. Eine Möglichkeit wäre ein hydromagnetischer Prozess: Partikel des Solarwinds dringen in die polaren Gebiete der Magnetosphäre ein, wo die geomagnetischen Feldlinien im Wesentlichen vertikal gerichtet sind. Dabei wird ein elektrisches Feld erzeugt, das vom Morgen zum Abend gerichtet ist. Entlang der letzten geschlossenen Feldlinien des Erdmagnetfeldes mit ihren Fußpunkten in den Polarlichtzonen können elektrische Entladungsströme in die ionosphärische Dynamoschicht fließen. Dort gelangen sie als elektrische Pedersen- and Hall-Ströme in zwei engen Strombändern (DP1) zur Abendseite und von dort wieder zurück zur Magnetosphäre (magnetosphärisches elektrisches Konvektionsfeld). Durch ohmsche Verluste der Pedersenströme wird die Thermosphäre vor allen Dingen in den Polarlichtzonen aufgeheizt.
Bei gestörten magnetosphärischen Bedingungen dringen zusätzlich hochenergetische elektrisch geladene Partikel aus der Magnetosphäre in die Polarlichtzonen ein, die dort die elektrische Leitfähigkeit drastisch ansteigen lassen und damit die elektrischen Ströme verstärken. Am Erdboden beobachtet man dieses Phänomen als Polarlichter.
Bei geringer magnetosphärischer Aktivität beträgt diese Energiezufuhr etwa ein Viertel des Gesamtenergiebudgets in Gleichung 2, also etwa 250 K.[10] Während starker magnetosphärischen Aktivität wächst dieser Anteil beträchtlich und kann bei extremen Verhältnissen den Einfluss der XUV-Strahlung weit überschreiten.
Atmosphärische Wellen
In der unteren Atmosphäre existieren zwei Arten großskaliger atmosphärischer Wellen:[11]
- interne Wellen mit endlich großen vertikalen Wellenlängen, die Wellenenergie nach oben transportieren können und deren Amplituden exponentiell mit der Höhe wachsen
- externe Wellen mit unendlich großen vertikalen Wellenlängen, deren Wellenenergie außerhalb ihres Quellengebietes exponentiell abnimmt und die keine Wellenenergie transportieren können.
Viele atmosphärische-Gezeiten-Wellen sowie die atmosphärischen Schwerewellen, die in der unteren Atmosphäre angeregt werden, gehören zu den internen Wellen. Da ihre Amplituden exponentiell wachsen, werden diese Wellen spätestens im Höhenbereich um 100 km durch Turbulenz zerstört, ihre Wellenenergie wird in Wärme umgewandelt. Dies ist der Anteil von etwa 250 K in Gleichung 2.
Die von ihrer Meridionalstruktur her am besten an die Wärmequelle in der Troposphäre angepasste ganztägige Gezeitenwelle (1,−2) ist eine externe Welle und spielt in der unteren Atmosphäre nur eine marginale Rolle. In der Thermosphäre entwickelt sich diese Welle jedoch zur dominanten Gezeitenwelle. Sie treibt den elektrischen Sq-Strom im Höhenbereich zwischen etwa 100 und 200 km.
Thermosphärische Erwärmung, im Wesentlichen durch Gezeitenwellen, erfolgt vorzugsweise auf der Tageshemisphäre in niedrigen und mittleren Breiten. Ihre Variabilität hängt von den meteorologischen Bedingungen ab und überschreitet selten 50 %.
Dynamik
Oberhalb von etwa 150 km Höhe degenerieren alle atmosphärischen Wellen zu externen Wellen, und es ist kaum mehr eine vertikale Wellenstruktur sichtbar. Ihre Meridionalstruktur ist die der Kugelfunktionen Pnm mit
- einer meridionalen Wellenzahl m (m = 0: zonal gemittelte Wellen; m = 1: ganztägige Wellen; m = 2: halbtägige Wellen etc.)
- der zonalen Wellenzahl n.
Die Thermosphäre verhält sich in erster Näherung wie ein gedämpftes Oszillatorsystem mit Tiefpassfilterwirkung, d. h. kleinskalige Wellen (mit großen Wellenzahlen n und m) werden gegenüber großskaligen unterdrückt.
Im Falle geringer magnetosphärischer Aktivität kann man die beobachtete zeitlich und örtlich variierende Exosphärentemperatur durch eine Summe von Kugelfunktionen beschreiben:[12]

von (a) symmetrischer Windkomponente des zonalen Mittels (P20),
von (b) antisymmetrischer Windkomponente (P10) und
von (d) symmetrischer ganztägigen Windkomponente (P11) um 3 h und 15 h Lokalzeit.
(c) zeigt die horizontalen Windvektoren der ganztägigen Welle auf der Nordhemisphäre.
Es ist
- φ die geographische Breite
- λ die geographische Länge
- t die Zeit
- ta = 21. Juni ist die Zeit des Sommeranfangs auf der Nordhemisphäre
- ωa die Kreisfrequenz der Jahrsperiode
- ωd die Kreisfrequenz eines solaren Tages
- τ = ωdt + λ die Lokalzeit
- τd = 15:00 die Lokalzeit des maximalen Windes.
ist die global gemittelte Temperatur der Exosphäre (von der Größenordnung 1000 K).
Der zweite Term (mit ) wird durch die unterschiedliche solare Erwärmung in niedrigen und hohen Breiten erzeugt. Ein thermisches Windsystem entsteht, mit Winden hin zu den Polen im oberen Zirkulationsast und entgegengesetzten Winden im unteren Ast (Abb. 4a). Es sorgt für einen Wärmeausgleich zwischen niedrigen und hohen Breiten. Der Koeffizient ΔT20 ≈ 0,004 ist klein, da die Joulesche Erwärmung in den Polarlichtzonen den solaren XUV-bedingten Wärmeüberschuss in niedrigen Breiten teilweise kompensiert.
Der dritte Term (mit ) ist für den Transport des Wärmeüberschusses auf der Sommerhemisphäre in die Winterhemisphäre verantwortlich (Abb. 4b). Seine relative Amplitude ist etwa ΔT10 ≃ 0,13.
Der vierte Term schließlich (mit ) der dominierenden Gezeitenwelle (1, −2)) beschreibt den Transport des Wärmeüberschusses von der Tagseite auf die Nachtseite (Abb. 4d). Seine relative Amplitude ist etwa ΔT11≃ 0,15.
Weitere Terme (z. B. halbjährige oder halbtägige Wellen) müssen zur obigen Gleichung hinzuaddiert werden, sind jedoch von geringerer Bedeutung (vgl. oben Tiefpasswirkung).
Entsprechende Summen lassen sich für Luftdruck, Luftdichte, Gaskonstituenten etc. herleiten.[7][13]
Thermosphären- und Ionosphärenstürme
Weit stärker als die solare XUV-Strahlung variieren die magnetosphärischen Störungen, die am Erdboden als geomagnetische Störungen beobachtet werden können. Sie sind schwer vorhersagbar und besitzen Fluktuationen mit Dauern von Minuten bis zu mehreren Tagen. Die Reaktion der Thermosphäre auf einen starken Magnetosphärensturm nennt man Thermosphärensturm.
Da die Energiezufuhr in höheren Breiten erfolgt (im Wesentlichen in die Polarlichtzonen), ändert der zweite Term P20 in Gleichung 3 sein Vorzeichen: Wärme wird jetzt von den Polargebieten in die niedrigen Breiten transportiert. Zusätzlich zu diesem Term sind weitere Terme höherer Ordnung beteiligt, die jedoch schnell abklingen. Die Summe dieser Terme bestimmt die „Laufzeit“ der Störungen von hohen zu niedrigen Breiten, also die Reaktionszeit der Thermosphäre.
Gleichzeitig kann sich ein Ionosphärensturm entwickeln. Wichtig für die Entstehung einer solchen ionosphärischen Störung ist die Änderung des Dichteverhältnisses von Stickstoffmolekülen (N2) zu Sauerstoffatomen (O): eine Vergrößerung der N2-Dichte erhöht die Verlustprozesse des ionosphärischen Plasmas und ist daher für eine Abnahme der Elektronendichte in der ionosphärischen F-Schicht verantwortlich (negativer Ionosphärensturm).[5][14]
Weblinks
- Literatur von und über Thermosphäre im Katalog der Deutschen Nationalbibliothek
- CRISTA: Das Wetter in 140 km Höhe
Einzelnachweise
- ↑ Tereza Polterova, Planned NASA mission to the 'ignorosphere' could improve space weather forecasts, space.com, 8. Juli 2022
- ↑ Brigitte Klose: Meteorologie – Eine interdisziplinäre Einführung in die Physik der Atmosphäre; Springer Spektrum; Berlin, Heidelberg 2016; S. 71 ([1])
- ↑ Karl Rawer: Wave Propagation in the Ionosphere, Kluwer, Dordrecht, 1993
- ↑ Sydney Chapman, Julius Bartels: Geomagnetism, Clarendon Press, Oxford 1940
- ↑ a b Gerd W. Prölss: Density perturbations in the upper atmosphere caused by dissipation of solar wind energy, Surveys in Geophysics 32, 101, 2011
- ↑ Karl Rawer: Modelling of neutral and ionized atmospheres, in: Siegfried Flügge (ed): Encyclopedia of Physics 49/7, Springer Verlag, Heidelberg, 223
- ↑ a b A. E. Hedin: A revised thermospheric model based on mass spectrometer and incoherent scatter data: MSIS-83, Journal of Geophysical Research 88, 10170, 1983
- ↑ Richard C. Willson: Measurements of the solar total irradiance and its variability, Space Science Reviews 38, 203, 1984
- ↑ Gerhard Schmidtke: Modelling of the solar radiation for aeronomical applications, in: Siegfried Flügge (ed): Encyclopedia of Physics 49/7, Springer Verlag, Heidelberg, 1.
- ↑ Knipp, D. J., W. K. Tobiska, and B. A. Emery: Direct and indirect thermospheric heating source for solar cycles, Solar Physics 224, 2506, 2004
- ↑ Hans Volland: Atmospheric Tidal and Planetary Waves, Kluwer, Dordrecht, 1988
- ↑ Walter Köhnlein: A model of thermospheric temperature and composition, Planetary and Space Science 28, 225, 1980
- ↑ U. von Zahn et al.: ESRO-4 model of global thermospheric composition and temperatures during low solar activity, Geophysical Research Letters, 4, 33, 1977
- ↑ Gerd W. Prölss: Physik des erdnahen Weltraums, Springer Verlag, Heidelberg, 2. Aufl. 2004, ISBN 978-3-540-40088-2
