Senecionin
| Strukturformel | |||||||||||||||||||
|---|---|---|---|---|---|---|---|---|---|---|---|---|---|---|---|---|---|---|---|
| |||||||||||||||||||
| Allgemeines | |||||||||||||||||||
| Name | Senecionin | ||||||||||||||||||
| Andere Namen |
(15Z)-12-Hydroxysenecionan-11,16-dion | ||||||||||||||||||
| Summenformel | C18H25NO5 | ||||||||||||||||||
| Kurzbeschreibung |
farb- und geruchsloser Feststoff[1] | ||||||||||||||||||
| Externe Identifikatoren/Datenbanken | |||||||||||||||||||
| |||||||||||||||||||
| Eigenschaften | |||||||||||||||||||
| Molare Masse | 335,4 g·mol−1 | ||||||||||||||||||
| Aggregatzustand |
fest[1] | ||||||||||||||||||
| Schmelzpunkt |
235–240 °C[1] | ||||||||||||||||||
| Sicherheitshinweise | |||||||||||||||||||
| |||||||||||||||||||
| Toxikologische Daten | |||||||||||||||||||
| Wenn nicht anders vermerkt, gelten die angegebenen Daten bei Standardbedingungen (0 °C, 1000 hPa). | |||||||||||||||||||
Senecionin ist ein giftiges, hepatotoxisches Pyrrolizidinalkaloid, welches in verschiedenen Pflanzen vorkommt. Es ist nach der Gattung Senecio benannt, deren Vertreter es enthalten.
Vorkommen
Wie am Namen erkennbar kommt Senecionin hauptsächlich in Vertretern der Gattung Senecio vor, zum Beispiel in Senecio vulgaris.[2] Auch das bekannte Jakobskreuzkraut (Jacobaea vulgaris) enthält neben anderen Pyrrolizidinalkaloiden Senecionin.[3]
Toxikologie
Senecionin wird nach der Aufnahme relativ schnell in der Leber verstoffwechselt. In vivo konnte eine Zytotoxizität gegenüber Hepatozyten gezeigt werden.[4] In einer Studie an trächtigen Ratten wurde sowohl eine fruchtbarkeitshemmende, wie auch eine teratogene Wirkung von Senecionin gezeigt.[5]
Biosynthese
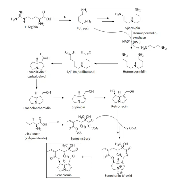
In Pflanzen der Gattung Senecio beginnt die Biosynthese mit der Aminosäure (S)-Arginin, manchmal auch mit (S)-Ornithin. Daraus wird zuerst Putrescin gebildet. Dieses reagiert unter Katalyse des Enzyms Homospermidinsynthase (HSS) und NAD+ mit Spermidin zu Homospermidin. Dieses reagiert katalysiert durch das kupferhaltige Enzym Diaminoxidase zu 4,4'-Iminodibutanal. Danach findet eine Cyclisierung zu Pyrrolizidin-1-carbaldehyd durch eine Mannich-Reaktion statt. Durch eine Reduktion zum Alkohol, vermutlich mit Alkoholdehydrogenase, entsteht Trachelanthamidin. Dieses spaltet an der C1/C2-Bindung Wasserstoff ab, anschließend wird es an der C7-Bindung zu Retronecin hydroxyliert. Dann wird das Retronecin mit Senecinsäure, welche aus zwei Äquivalenten (S)-Isoleucin gebildet wurde, acetyliert. Zuletzt wird das entstandene Produkt Senecionin-N-oxid zum Endprodukt Senecionin reduziert.[6]

Einzelnachweise
- ↑ a b c d e f Datenblatt Senecionin (PDF) bei Carl Roth, abgerufen am 29. Juni 2022.
- ↑ L. A. C. Pieters, A. J. Vlietinck: Quantitative analysis of pyrrolizidine alkaloid mixtures from Senecio vulgaris by carbon-13 nuclear magnetic resonance spectroscopy. In: Magnetic Resonance in Chemistry. Band 25, Nr. 1, Januar 1987, S. 8–10, doi:10.1002/mrc.1260250103.
- ↑ Lotte Joosten, Patrick P. J. Mulder, Klaas Vrieling, Johannes A. van Veen, Peter G. L. Klinkhamer: The analysis of pyrrolizidine alkaloids in Jacobaea vulgaris; a comparison of extraction and detection methods. In: Pythochemical Analysis. Band 21, Nr. 2, 11. November 2009, S. 197–204, doi:10.1002/pca.1183.
- ↑ Carol E. Green, H. J. Segall, James L. Byard: Metabolism, cytotoxicity, and genotoxicity of the pyrrolizidine alkaloid senecionine in primary cultures of rat hepatocytes. In: Toxicology and Applied Pharmacology. Band 60, Nr. 2, 15. September 1981, S. 176–185, doi:10.1016/0041-008X(91)90221-Y.
- ↑ Zhi-Ben Tu, Chohachi Konno, D. Doel Soejarto, Donald P. Waller, Audrey S. Bingel, Russell J. Molyneux, John A. Edgar, Geoffrey A. Cordell, Harry H. S. Fong: Identification of senecionine and senecionine N-oxide as antifertility constituents in Senecio vulgaris. In: Journal of Pharmaceutical Sciences. Band 77, Nr. 5, Mai 1988, S. 461–463, doi:10.1002/jps.2600770522.
- ↑ Sebastian Schramm, Nikolai Köhler and Wilfried Rozhon: Pyrrolizidine Alkaloids: Biosynthesis, Biological Activities and Occurrence in Crop Plants. 24. Februar 2019, doi:10.3390/molecules24030498, PMID 30704105, PMC 6385001 (freier Volltext).

