Prymnesium
| Prymnesium | ||||||||||||
|---|---|---|---|---|---|---|---|---|---|---|---|---|
| ||||||||||||
| Systematik | ||||||||||||
| ||||||||||||
| Wissenschaftlicher Name | ||||||||||||
| Prymnesium | ||||||||||||
| Massart, 1920 |
Prymnesium ist eine Gattung von einzelligen beweglichen (motilen) Haptophyten, darunter die Art Prymnesium parvum.[1] Die Einzeller der Gattung sind ellipsoidisch geformt, neben zwei längeren beweglichen Flagellen (Geißeln), die die Fortbewegung ermöglichen, gibt – typisch für Haptophyten – es ein (oft kürzeres) m. o. w. gerades Stück, Haptonema genannt.[2]
Etymologie
Der Name Haptonema latinisiert die griechische Vorlage ἅπτω háptō, deutsch ‚berühren, befestigen‘ sowie νῆμα nêma, deutsch ‚Faden, Seil‘, bedeutet also Faden/Seil zum Festmachen.
Der Name Prymnesium latinisiert die griechische Vorlage prymnēsion, deutsch ‚Schiffstau‘. Gemeint ist der Poller, an dem das Schiffstau/Heckseil festgemacht ist, bzw. das Heck-Tauwerk selbst.[3][4]
Beschreibung
Vergleichsweise gut beschrieben sind die Spezies P. parvum, P. kappa, P. polylepis und P. neolepis.
Von P. parvum und P. polylepis wurde das Schwimm- und Fressverhalten analysiert:[5]

_HTML.png)

_HTML.png)
P. parvum bildet unter Stressbedingungen eine Rehe von Toxinen, die als Prymnesine bezeichnet werden, sowie Dimethylsulfoniopropionat (DMSP) und andere Polyole.
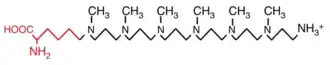
Die kieseligen Schuppen (en. silica scales) von P. neolepis enthalten langkettige Polyamine (en. long-chain polyamines, LCPAs) unterschiedlicher Länge, die als Derivate der Aminosäure Lysin selbst nichtkanonische Aminosäuren sind.[6]
Arten




Zur Gattung Prymnesium gehören folgende Arten (Spezies):[7][8][9][10]
- P. annuliferum C. Billard, 1983(A,N,W,μ)
- P. breviturritum (K. H. Nicholls) K. H. Nicholls(A)
- P. calathiferum F. H. Chang & K. G. Ryan, 1985(A,N,W,μ)
- P. chiton (Parke & Manton) Edvardsen, Eikrem & Probert, 2011(A,N,W)
- P. czosnowskii Starmach, 1968(A,W)
- P. faveolatum Fresnel, 2001(A,N,W)
- P. gladiociliatum (Büttner) R. W. Jordan & J. C. Green(A)
- P. kappa (Parke & Manton) Edvardsen, Eikrem & Probert, 2011(A,N,W)
- P. laurentianum (Kling) K. H. Nicholls(A)
- P. lepailleurii Fresnel, 2007(A,W)
- P. minus (Parke & Manton) Edvardsen, Eikrem & Probert, 2011(A,N,W)
- P. minutum N.Carter(A)
- P. nemamethecum R. N. Pienaar & M. Birkhead, 1994(A,N,W,μ)
- P. neolepis (M. Yoshida, M.-H. Noel, T. Nakayama, T. Naganuma & I. Inouye) Edvardsen, Eikrem & Probert, 2011(A,N,W)
- P. neustophilum (R. E. Norris) Edvardsen, Eikrem & Probert, 2011(A,W)
- P. palpebrale (S. Seoane, Eikrem, Edvardsen & Pienaar) Edvardsen, Eikrem & Probert, 2011(A,N,W)
- P. parvum N. Carter, 1937(A,N,W,μ)
- P. pienaarii (Gayral & Fresnel) Edvardsen, Eikrem & Probert, 2011(A,N)
- P. pigrum (Geitler) Edvardsen, Eikrem & Probert, 2011(A,N,W)
- P. polylepis (Manton & Parke) Edvardsen, Eikrem & Probert, 2011(A,N)
- P. saltans Massart(A,W), 1920 - Typus
- P. simplex (Gayral & Fresnel) Edvardsen, Eikrem & Probert, 2011(A,N,W)
- P. zebrinum C.Billard, 1983(A,N,W)
- „P. inornamentum“ (D. E. Wujek & W. E. Gardiner) K.H.Nicholls (Vorschlag, unsicher)(A)
- „P. wyomingi“ R. Aguiar & P. Kugrens (Vorschlag, unsicher)(A)
- „P. radiatum“ Sym, Pienaar, Edvardsen & Egge, 2011 (Vorschlag, unbestätigt)(A,W)
- Kandidatenspezies nach NCBI[12]
Weblinks
- WoRMS: Prymnesium Massart, 1920
- eoL: Prymnesium, Bild CC 3.0
- NCBI: Prymnesium (genus); graphisch: Prymnesium, auf: Lifemap, NCBI Version
- AlgaeBase: Prymnesium Massart, 1920
- AlgaeBase: Prymnesium parvum N.Carter 1937 - mit Bild (nicht CC)
- Nordicµ: Prymnesium Massart
Einzelnachweise
- ↑ J. W. La Claire: Analysis of expressed sequence tags from the harmful alga, Prymnesium parvum (Prymnesiophyceae, Haptophyta). In: Marine Biotechnology. Band 8, Nr. 5, 2006, S. 534–546, doi:10.1007/s10126-005-5182-2, PMID 16896534.
- ↑ F. E. Fritsch: The Structure and Reproduction of the Algae. Band 1, Cambridge University Press, 1965, (onlinelibrary.wiley.com), doi:10.1002/jobm.19670070220
- ↑ Thomas Cooper: Thesaurus Linguae Romanae et Britannicae. 1565 (mpg.de).
- ↑ Linda E. Graham, Lee Warren Wilcox: Algae. Prentice Hall, 2000, ISBN 0-13-660333-5, S. 193 (archive.org).
- ↑ a b c Julia Dölger, Lasse Tor Nielsen, Thomas Kiørboe, Anders Andersen: Swimming and feeding of mixotrophic biflagellates. In: Nature Scientific Reports. Band 7, Nr. 39892, 5. Januar 2017, (nature.com) doi:10.1038/srep39892
- ↑ a b c d e Grażyna M. Durak, Alison R. Taylor, Charlotte E. Walker, Ian Probert, Colomban de Vargas, Stephane Audic, Declan Schroeder, Colin Brownlee, Glen L. Wheeler: A role for diatom-like silicon transporters in calcifying coccolithophores. In: Nature Communications. Band 7, Nr. 10543, 4. Februar 2016, (nature.com), doi:10.1038/ncomms10543
- ↑ a b AlgaeBase: Prymnesium Massart, 1920
- ↑ a b NCBI: Prymnesium (genus); graphisch: Prymnesium, auf: Lifemap, NCBI Version.
- ↑ a b Nordic Microalgae: Prymnesium Massart, auf: Nordic Microalgae and aquatic protozoa. Swedish Meteorological and Hydrological Institute (SMHI)
- ↑ a b WoRMS: Prymnesium Massart, 1920
- ↑ Orietta Beltrami, Marcela Escobar, Gloria Collantes: New record of Prymnesium parvum f. patelliferum (Green, Hibberd & Piennar) Larsen stat. nov. (Prymnesiophyceae) from Valparaíso Bay. In: Invest. Mar. Valparaíso, Band 35, Nr. 1, Mai 2007, S. 97–104, (scielo.cl) ISSN 0717-7178, doi:10.4067/S0717-71782007000100009, (redalyc.org, PDF)
- ↑ NCBI: unclassified Prymnesium (list)
