Proteinligation
Die Proteinligation (englisch protein ligation) ist eine biochemische Methode der Proteinsynthese durch Verknüpfung von zwei oder mehreren Peptiden.
Reaktionswege
Durch die Proteinligation können zwei Peptide aneinander gekoppelt werden. Meist handelt es sich dabei um Peptidfragmente, die durch Festphasenpeptidsynthese (SPPS) hergestellt wurden.[1] Verschiedene Verfahren zur Proteinligation wurden beschrieben, z. B.:
- die native chemical ligation[2][3]
- der Prior Thiol Capture
- die Expressed Protein Ligation[4]
- das Acyl-Initiated Capture
- die SEA native peptide ligation[5][6]
- die Intein-Kopplung
- die Peptidligation mit Selenocystein.[7]
- und die Spurlose Staudinger-Ligation[1]
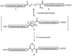
Native chemical ligation

Das N-terminale Peptid muss für die Proteinligation als letzte Aminosäure (an seinem C-Terminus) ein Thioester und das C-terminale Peptid muss für die Proteinligation als erste Aminosäure (an seinem N-Terminus) ein Cystein aufweisen.[2][3]
SEA native peptide ligation
Das N-terminale Peptid muss für die Proteinligation als letzte Aminosäure (an seinem C-Terminus) eine bis(2-Sulfanylethyl)aminogruppe (SEA) und das C-terminale Peptid muss für die Proteinligation als erste Aminosäure (an seinem N-Terminus) ein Cystein oder Homocystein aufweisen.
Staudinger-Ligation
Die im Jahr 2000 entdeckte Möglichkeit die Staudinger-Reaktion auch zur Peptid- bzw. Proteinligation zu nutzen ist als Staudinger-Ligation bekannt. Im Gegensatz zur „native peptide ligation“ hängt die Peptidverknüpfung mit der Staudinger-Ligation nicht von einer bestimmten Aminosäureseitenkette ab. Bei der Staudinger-Ligation bleibt eine Triarylphosphanoxidgruppe in Nachbarschaft zur Amidbindung. Ist diese nicht gewünscht kann die sogenannte spurlose Staudinger-Ligation genutzt werden, bei der die Phosphanoxideinheit im Hydrolyseschritt abgespalten wird. Dies wird durch die Verwendung des Phosphans Diphenylphosphanyl-phenol oder Di-phenylphosphanylmethanthiol erreicht. Beide Phosphane zeigen ein gutes Reaktionsprofil und ermöglichen so die Proteinligation in Ausbeuten von bis zu 99 %.[1]
Durch die Verwendung der spurlosen Staudinger-Ligation gelang so unter anderem die Synthese von Ribonuclease A aus drei Peptidfragmenten.[1]
Geschichte
Die zugrundeliegende Reaktion der native chemical ligation wurde 1953 von T. Wieland veröffentlicht.[8] Ab 1994 wurde die Reaktion zur Erzeugung von Proteinen aus Peptiden durch S. B. Kent weiterentwickelt.[9][10] Im Jahr 2000 gelang Bertozzi et al. und Raines et al. die Proteinligation mit der Staudinger-Ligation.[1]
Literatur
- T. Kimmerlin, D. Seebach: ‘100 years of peptide synthesis‘: ligation methods for peptide and protein synthesis with applications to beta-peptide assemblies. In: The journal of peptide research : official journal of the American Peptide Society. Band 65, Nummer 2, Februar 2005, S. 229–260, doi:10.1111/j.1399-3011.2005.00214.x, PMID 15705167.
Einzelnachweise
- ↑ a b c d e Maja Köhn, Rolf Breinbauer: Die Staudinger-Ligation– ein Geschenk für die Chemische Biologie. In: Angewandte Chemie. Band 116, Nr. 24, 14. Juni 2004, S. 3168–3178, doi:10.1002/ange.200401744.
- ↑ a b T. W. Muir, P. E. Dawson, S. B. Kent: Protein synthesis by chemical ligation of unprotected peptides in aqueous solution. In: Methods in enzymology. Band 289, 1997, ISSN 0076-6879, S. 266–298, PMID 9353726.
- ↑ a b T. M. Hackeng, J. H. Griffin, P. E. Dawson: Protein synthesis by native chemical ligation: expanded scope by using straightforward methodology. In: Proceedings of the National Academy of Sciences. Band 96, Nummer 18, August 1999, ISSN 0027-8424, S. 10068–10073, PMID 10468563, PMC 17843 (freier Volltext).
- ↑ T. W. Muir, D. Sondhi, P. A. Cole: Expressed protein ligation: a general method for protein engineering. In: Proceedings of the National Academy of Sciences. Band 95, Nummer 12, Juni 1998, S. 6705–6710. PMID 9618476, PMC 22605 (freier Volltext).
- ↑ N. Ollivier, J. Dheur, R. Mhidia, A. Blanpain, O. Melnyk: Bis(2-sulfanylethyl)amino native peptide ligation. In: Organic letters. Band 12, Nummer 22, November 2010, ISSN 1523-7052, S. 5238–5241, doi:10.1021/ol102273u, PMID 20964289.
- ↑ W. Hou, X. Zhang, F. Li, C. F. Liu: Peptidyl N,N-bis(2-mercaptoethyl)-amides as thioester precursors for native chemical ligation. In: Organic letters. Band 13, Nummer 3, Februar 2011, ISSN 1523-7052, S. 386–389, doi:10.1021/ol102735k, PMID 21175148.
- ↑ B. L. Nilsson, M. B. Soellner, R. T. Raines: Chemical synthesis of proteins. In: Annual review of biophysics and biomolecular structure. Band 34, 2005, S. 91–118, doi:10.1146/annurev.biophys.34.040204.144700. PMID 15869385, PMC 2845543 (freier Volltext).
- ↑ T. Wieland, E. Bokelmann, L. Bauer, H. U. Lang, H. Lau, W. Schafer: Polypeptide syntheses. VIII. Formation of sulfur containing peptides by the intramolecular migration of aminoacyl groups. In: Liebigs Ann Chem. Band 583, 1953, S. 129–149.
- ↑ P. E. Dawson, T. W. Muir, I. Clark-Lewis, S. B. Kent: Synthesis of proteins by native chemical ligation. In: Science. Band 266, Nummer 5186, November 1994, S. 776–779. PMID 7973629.
- ↑ S. Kent: Total chemical synthesis of enzymes. In: Journal of peptide science : an official publication of the European Peptide Society. Band 9, Nummer 9, September 2003, S. 574–593, doi:10.1002/psc.475. PMID 14552420.