Photosphäre
Die Photosphäre (griechisch Lichtkugel, Lichthülle) ist die unterste Schicht einer Sternatmosphäre; über der Photosphäre schließt sich in sonnenähnlichen und späten Hauptreihen- und Riesensternen die Chromosphäre an, dagegen folgt in frühen Sternen direkt der Sternwind.
Aus der Photosphäre stammt der kontinuierliche Teil des Sternspektrums im sichtbaren Licht, daher ihr Name. Dieses Spektrum ist in erster Näherung das eines schwarzen Strahlers mit der Effektiven Temperatur des Sterns. Das kontinuierliche Spektrum der Photosphäre wird modifiziert durch kontinuierliche Absorption, z. B. des neutralen Wasserstoffatoms, und durch Linienabsorption bzw. Spektrallinien; letztere findet ebenfalls in der Photosphäre statt.
Ausdehnung
Tief liegende Schichten eines Sterns können nicht direkt beobachtet werden, da die von dort stammenden Photonen an den freien Elektronen im Sternplasma gestreut werden. Die Anzahl solcher Streuungen, die ein Photon im statistischen Mittel hinter sich bringen muss, um den Stern zu verlassen, wird optische Tiefe genannt. Als Konvention in der Astrophysik beginnt die Photosphäre innen dort, wo die optische Tiefe den Wert von 2/3 erreicht bzw. unterschreitet. Der mit dieser optischen Tiefe verknüpfte Radius gilt als Sternradius.
Außen endet die Photosphäre:
- falls sich eine Chromosphäre anschließt: dort, wo sich die normale, nach außen abnehmende Temperaturschichtung umkehrt und die chromosphärische Heizung beginnt;
- falls sich direkt der Sternwind anschließt: dort, wo seine Geschwindigkeit die lokale Schallgeschwindigkeit überschreitet.
Diskussion
Die Photosphäre kann bei Messungen des Sternradius eine Rolle spielen.
Die Definition des Sternradius als Radius, bei dem die optische Tiefe τ=2/3 ist, ist in manchen Sternen problematisch, da die optische Tiefe eine Funktion der Lichtwellenlänge ist: im infraroten Bereich wird τ=2/3 erst bei niedrigeren Dichten erreicht als im visuellen Licht.
Die o. g. Definition wird in der Praxis dennoch häufig verwendet, da die Dichte in den äußeren Bereichen von Hauptreihensternen relativ scharf abfällt, und sich somit die Radiuswerte der verschiedenen Wellenlänge für τ=2/3 nur um wenige Dutzend bis hunderte Kilometer unterscheiden. Dies ist vernachlässigbar in Anbetracht der typischen Radien von mehreren hunderttausend Kilometern und der sonstigen Messungenauigkeiten.
Dagegen ist der Dichteabfall z. B. im Fall von Überriesen oder in dichten Sternwinden wesentlich sanfter ausgeprägt. Dort kann der Unterschied des photosphärischen Radius im visuellen gegen den infraroten Bereich deutlich messbar sein.
In einigen extremen Sterntypen, z. B. den Wolf-Rayet-Sternen oder den LBVs, liegt der Punkt, an dem die optische Tiefe den Wert von 2/3 unterschreitet, bereits für visuelles Licht weit im supersonischen Teil des Sternwindes (Widerspruch zwischen den beiden o. g. Definitionen: Überschneidung zwischen innerem und äußerem Rand). In solchen Sternen kann daher nicht von einer Photosphäre gesprochen werden. Hier werden alternative Definitionen des Sternradius, und damit auch der Sterntemperatur, verwendet.
Photosphäre der Sonne
Die Photosphäre der Sonne war bis vor einigen Jahren die einzige, die räumlich aufgelöst werden konnte. Die Sonnenphotosphäre ist etwa 400[1] km dick (0,063 % des Sonnenradius) und hat eine mittlere Gasdichte von 3·10−7 g/cm³[2] (entsprechend der Dichte der Erdatmosphäre in etwa 70 km Höhe) bei einer effektiven Temperatur von etwa 5778 K (ca. 5504 °C). Die stärksten Absorptionslinien der Sonnenatmosphäre werden nach ihrem Entdecker Fraunhoferlinien genannt. Über der Photosphäre der Sonne liegt die Chromosphäre.
Chemische Zusammensetzung der Photosphäre
| Element | Anteil in Massenprozent[3] |
|---|---|
| Wasserstoff (H) | 73,46 |
| Helium (He) | 24,85 |
| Sauerstoff (O) | 0,77 |
| Kohlenstoff (C) | 0,29 |
| Eisen (Fe) | 0,16 |
| Neon (Ne) | 0,12 |
| Stickstoff (N) | 0,09 |
| Silizium (Si) | 0,07 |
| Magnesium (Mg) | 0,05 |
| Schwefel (S) | 0,04 |
| restliche Elemente | 0,10 |
Kontinuierliche Absorption
Die Absorption des sichtbaren Lichtes findet bei relativ niedrigen Temperaturen statt. Doch bei 5000 bis 6000 K kann über Frei-Frei-Übergänge nur infrarotes Licht ausgelöst werden. Sichtbares Licht kann nicht wesentlich durch Übergänge am neutralen Wasserstoff entstehen, weil dieser nur zu 0,01 % vorhanden ist.
Hier fand der deutsch-amerikanische Astronom Rupert Wildt 1938 eine wichtige Erklärung mit Hilfe der negativen Wasserstoff-Ionen.[4] Sie entstehen durch Anlagerung eines freien Elektrons an ein neutrales H-Atom und sind schwach stabil; die freien Elektronen entstehen bei der leichten Ionisation von Natriumatomen. Das negative H-Ion besitzt nur einen gebundenen Zustand.
Wenn Photonen mit einer Energie von mehr als 0,75 eV, also einer Wellenlänge von weniger als 1650 nm, auf ein negatives H-Ion treffen, schlagen sie ein Elektron heraus, und übrig bleibt ein wieder neutrales H-Atom. Wenn umgekehrt ein neutrales H-Atom ein Elektron einfängt, wird Licht mit dieser Wellenlänge ausgesandt. Dieser Vorgang ist der wichtigste für den Energietransport in der Photosphäre.
Das stabile gasförmige negative H-Atom war 1930 von Hans Bethe und Egil Hylleraas vorausgesagt worden und wurde 1950 von Herbert Massey im Labor nachgewiesen.
Mitte-Rand-Verdunkelung
Die Photosphäre erscheint weitgehend gleichmäßig hell, lediglich unterbrochen durch Sonnenflecken und Flares. Bei höherer Auflösung jedoch zeigt sie die Granulation, die die Oberfläche der Sonne körnig erscheinen lässt. Die körnigen Gebilde sind Konvektionszellen, die durch aufwärts gerichtete schlauchartige Strömungen und entsprechende Abwärtsströmungen in den Zwischenräumen entstehen und nach Wärmeabgabe innerhalb weniger Minuten wieder vergehen.

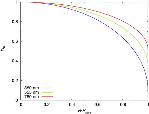
Die scheinbare Flächenhelligkeit der Photosphäre, wie sie im Teleskop abgebildet wird, nimmt vom Zentrum der projizierten Sonne (Sonnenscheibe) zum Rand hin ab. Diese Mitte-Rand-Variation ist für kurze Wellenlängen (Blau, Violett, Ultraviolett) stärker als für langwelliges Licht (Rot, Infrarot). Sie ist näherungsweise wiedergegeben durch:
mit
- dem geometrischen Abstand vom Zentrum der Sonnenscheibe in Einheiten des Sonnenscheibenradius
- dem Koeffizienten . Dieser variiert im Sichtbaren wie folgt:
| Farbe | Wellenlänge | |
|---|---|---|
| ca. 10 | Grenze zum Ultraviolett | 380 nm |
| 5,0 | Violett | 425 nm |
| 3,0 | Blau | 480 nm |
| 2,0 | Grün | 540 nm |
| 1,6 | Gelb | 580 nm |
| 1,2 | Rot | 680 nm |
| 0,9 | Grenze zum Infrarot | ca. 800 nm |
Die Mitte-Rand-Variation wird verursacht durch die Temperaturschichtung der Photosphäre: die Temperatur sinkt mit abnehmender Tiefe. Bei flachem Austrittswinkel, entsprechend den Randgebieten der projizierten Sonne, wird ein größerer Teil des Lichts aus den tieferen Schichten von den darüber liegenden Schichten absorbiert als bei senkrechtem Austritt in der Mitte der Sonnenscheibe. Dadurch hat bei flachem Austrittswinkel das Licht aus den kühleren Schichten den größeren Anteil am Gesamtlicht.
Literatur
Einzelnachweise
- ↑ Sonne Aufbau - Astrokramkiste. Abgerufen am 11. März 2018 (deutsch).
- ↑ Philippe-A. Bourdin: Standard 1D solar atmosphere as initial condition for MHD simulations and switch-on effects In: Cent. Europ. Astrophys. Bull. 38, Nr. 1, 2014, ISSN 1845-8319, S. 1–10 (arXiv.org).
- ↑ Steckbrief: Die Sonne - unser Zentralgestirn. In: Spektrum.de. Spektrum der Wissenschaft Verlagsgesellschaft mbH, 2014-09-06, abgerufen am 2. Juli 2019.
- ↑ Lawrence H. Aller: Atoms, Stars, and Nebulae, 1991, S. 80