Phenylaceton
| Strukturformel | |||||||||||||||||||
|---|---|---|---|---|---|---|---|---|---|---|---|---|---|---|---|---|---|---|---|
| |||||||||||||||||||
| Allgemeines | |||||||||||||||||||
| Name | Phenylaceton | ||||||||||||||||||
| Andere Namen |
| ||||||||||||||||||
| Summenformel | C9H10O | ||||||||||||||||||
| Kurzbeschreibung |
farblose Flüssigkeit[1] | ||||||||||||||||||
| Externe Identifikatoren/Datenbanken | |||||||||||||||||||
| |||||||||||||||||||
| Eigenschaften | |||||||||||||||||||
| Molare Masse | 134,18 g·mol−1 | ||||||||||||||||||
| Aggregatzustand |
flüssig | ||||||||||||||||||
| Dichte |
1,01 g·cm−3 (20 °C)[2] | ||||||||||||||||||
| Schmelzpunkt | |||||||||||||||||||
| Siedepunkt |
216 °C[2] | ||||||||||||||||||
| Löslichkeit | |||||||||||||||||||
| Brechungsindex |
1,5165[1] | ||||||||||||||||||
| Sicherheitshinweise | |||||||||||||||||||
| |||||||||||||||||||
| Wenn nicht anders vermerkt, gelten die angegebenen Daten bei Standardbedingungen (0 °C, 1000 hPa). Brechungsindex: Na-D-Linie, 20 °C | |||||||||||||||||||
Phenylaceton ist eine farblose bis schwach gelbe Flüssigkeit mit einem starken, charakteristischen Geruch, die in der chemischen und pharmazeutischen Industrie Verwendung findet.
Darstellung
Phenylaceton (4) lässt sich auf unterschiedlichste Art und Weise darstellen. Am wirtschaftlichsten erscheint die Dakin-West-Reaktion von Phenylessigsäure (1) und Essigsäureanhydrid (2) unter Basenkatalyse. Das Enolat des gemischten Anhydrids attackiert ein weiteres Molekül 2, spaltet Acetat ab und die resultierende β-Ketosäure 3 decarboxyliert zu 4.

Eine andere Methode (II) verwendet als Acetylquelle die Acetate zweiwertiger Metalle, v. a. des Bleis.

Die Reaktion von Methyllithium mit dem Lithiumsalz der Phenylessigsäure stellt einen weiteren eleganten Zugang zu 4 dar, wenn auch hierbei die Hälfte des MeLi für die Deprotonierung von 1 aufgewandt werden muss.

Weitere Synthesen, die ohne die überwachte Substanz Phenylessigsäure auskommen, sind zwar möglich, aber auf Grund des Preises oder der Toxizität einzelner Ausgangsstoffe oder aufgrund geringer Ausbeuten nur im Labormaßstab durchführbar. U. a. besteht die Möglichkeit, Benzol mit Chloraceton in einer Friedel-Crafts-Alkylierung umzusetzen (a) oder Aceton selbst radikalisch mit Benzol zu verbinden (b); das hierfür benötigte Mangan(III)-acetat ist das limitierende Reagens.

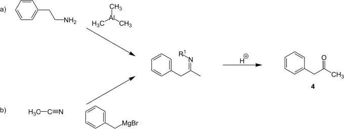
Ketone lassen sich durch die Reaktion metallorganischer Reagenzien mit Nitrilen darstellen: Für unseren Fall heißt dies, man kann entweder Trimethylaluminium (oder auch Methylmagnesiumhalogenid) auf Benzylcyanid einwirken lassen (a) oder andererseits Benzylmagnesiumbromid auf Acetonitril (b); in beiden Fällen gibt die Hydrolyse des intermediären Imins das Keton 4.

Interessant ist auch die Oxidation von α-Methylstyrol mit Thallium(III)-Salzen in Methanol (VI): Nach der Addition an die Doppelbindung spaltet sich Tl(I) ab und am intermediären Carbocation kommt es zu einer sigmatropen Umlagerung. Das resultierende Dimethylketal wird dann unter Säurekatalyse hydrolysiert.

Ein anderer Weg ist die Kondensation von Benzaldehyd und Nitroethan in der sogenannten Henry-Reaktion, die 3-Phenyl-2-nitropropen ergibt, welches über ein Oxim als Zwischenstufe zu Phenylaceton reduziert werden kann.

Verwendung
Phenylaceton wird zur Synthese von Pestiziden und Pharmaka gebraucht. Beispiele sind Diphacinon (ein Rattengift) oder Amphetamin (durch reduktive Aminierung). Aufgrund der möglichen Verwendung bei der Synthese verschiedener Amphetamine erfordert die Herstellung sowie der Verkauf eine Genehmigung.
Rechtliches
Aufgrund seiner Eignung als Ausgangsstoff in der Methamphetaminsynthese gehört Phenylaceton in der EU und der Schweiz zur Kategorie I der überwachten Chemikalien nach dem Grundstoffüberwachungsgesetz.[3] Das bedeutet, die Herstellung, der Handel sowie Ein- und Ausfuhr ohne Genehmigung sind strafbar.
Einzelnachweise
- ↑ a b c Eintrag zu 1-Phenylpropan-2-on. In: Römpp Online. Georg Thieme Verlag, abgerufen am 29. September 2014.
- ↑ a b c d e f Eintrag zu Phenylaceton in der GESTIS-Stoffdatenbank des IFA, abgerufen am 20. Januar 2022. (JavaScript erforderlich)
- ↑ Verordnung (EG) Nr. 111/2005 des Rates vom 22. Dezember 2004 zur Festlegung von Vorschriften für die Überwachung des Handels mit Drogenaustauschstoffen zwischen der Gemeinschaft und Drittländern. In: EUR-Lex. Europäische Union, 22. Dezember 2004, abgerufen am 8. November 2024.

