Paschen-Gesetz
Das Paschen-Gesetz beschreibt als Näherungsformel den experimentell bestimmten Zusammenhang zwischen Durchschlagspannung, Gasdruck und der Schlagweite, dem räumlichen Abstand der Elektroden. Es wurde 1889 von Friedrich Paschen experimentell bestimmt und später von John Sealy Townsend theoretisch beschrieben.[1][2]
Inhalt des Gesetzes
Das Paschen-Gesetz besagt, dass die Durchschlagspannung eine Funktion des Produktes aus Gasdruck und Schlagweite ist, wenn die Bedingungen für den Townsend-Mechanismus erfüllt sind, das heißt ein weitgehend homogenes Feld und vernachlässigbare Raumladung vorliegt. Die Gleichung, die John Sealy Townsend erstmals herleitete, lautet
wobei
- den Gasdruck,
- den Elektrodenabstand,
- den 3. Townsend-Koeffizienten[3] und
- und nachfolgend hergeleitete Konstanten
darstellen.
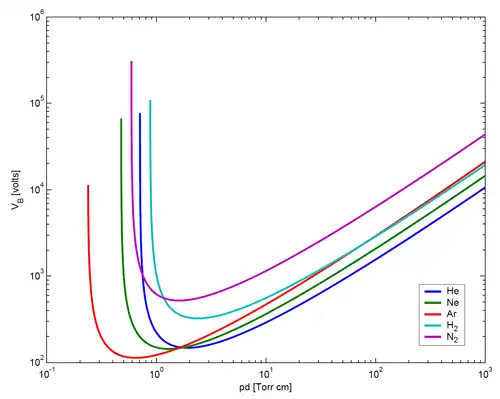
Die Paschenkurve ist die graphische Darstellung des Paschen-Gesetzes. Sie besitzt ein Minimum für kleine -Werte, das für Luft bei 340 V bei ca. 7,3 bar·µm und für SF6 bei 507 V bei ca. 3,5 bar·µm liegt. Oberhalb des Minimums spricht man vom Weitdurchschlag. Dort verhält sich die Kurve linear mit . In diesem Bereich sinkt entweder die durch die Spannung hervorgerufene Feldstärke oder die mittlere freie Weglänge der Teilchen wird durch den Druck reduziert.[4] Darunter, im sogenannten Nahdurchschlag, steigt die Durchschlagspannung wieder steil an. Dies rührt daher, dass die Distanz zu klein oder der Druck für die Stoßionisation zu gering wird. Bei ist Stoßionisation nicht mehr möglich.
Es gibt allerdings Hinweise darauf, dass die Paschenkurve unterhalb von 3 µm keine Gültigkeit besitzt und die Durchschlagspannung weiter abfällt[5].
Physikalischer Hintergrund
Zwischen zwei Elektroden befinden sich, außer im perfekten Vakuum, immer Atome und auch immer ein paar wenige freie Elektronen und Ionen. Durch das elektrische Feld zwischen den Elektroden werden die geladenen Teilchen beschleunigt. Die Ionen sind viel schwerer und größer als die Elektronen, werden also nur langsam beschleunigt und kollidieren schnell wieder mit anderen Atomen oder Ionen. Die Elektronen können jedoch auf eine Geschwindigkeit beschleunigt werden, die ihnen genug Energie verleiht, um beim Auftreffen auf ein Atom dieses zu ionisieren (Stoßionisation). Die dabei entstehenden freien Elektronen werden wiederum beschleunigt und erzeugen noch mehr freie Elektronen, sodass ein Lawineneffekt einsetzt.
Ein elektrischer Durchbruch tritt also frühestens dann auf, wenn die freien Elektronen auf eine Energie beschleunigt werden, die ausreicht, dass sie auf dem Weg zur Anode mindestens ein Atom ionisiert haben. Die angelegte Spannung muss also einen bestimmten Wert erreichen, der Durchbruchspannung genannt wird. Diese ist offensichtlich von der Ionisationsenergie der Gasatome abhängig. Die erreichbare Energie eines Elektrons hängt von seiner mittleren freien Weglänge ab, der Strecke, die es zurücklegt, bis es auf ein Atom stößt. Je länger dieser Weg ist, desto höher die Energie durch die Beschleunigung. Die freie Weglänge hängt von der Größe der Atome und deren Dichte ab, also auch von Temperatur und Druck.
Werte der Konstanten
Typische Werte für die Konstanten A und B einiger Gase:
| Gas | A |
B |
Gültigkeit |
Quelle | |
|---|---|---|---|---|---|
| Luft | 10,95 | 273,8 | 75 – 600 | [6] | |
| Stickstoff | N2 | 9,00 | 256,5 | 75 – 450 | |
| Wasserstoff | H2 | 3,83 | 104,1 | 15 – 450 | |
| Helium | He | 2,25 | 25,5 | 15 – 100 | |
| Argon | Ar | 10,20 | 176,3 | 75 – 450 | |
| Kohlenstoffdioxid | CO2 | 15,00 | 349,5 | 375 – 750 | |
Herleitung
Grundlagen
Um die Durchschlagspannung zu berechnen, geht man von einem Plattenkondensator mit dem Plattenabstand aus. Die Kathode befindet sich am Punkt . Man kann also von einem homogenen elektrischen Feld zwischen den Platten ausgehen.
Für die Stoßionisation ist es Voraussetzung, dass die Elektronenenergie größer als die Ionisationsenergie der Gasatome ist, die sich zwischen den Platten befinden. Pro Weglänge werden die Anzahl von Ionisationen auftreten. ist als erster Townsend-Koeffizient bekannt, da er von Townsend[7] eingeführt wurde. Die Änderung des Stroms der Elektronen kann also für den Plattenkondensatoraufbau so beschrieben werden:
(Die Anzahl an freien Elektronen auf der Anode ist also die Anzahl der freien Elektronen auf der Kathode, die sich durch Stoßionisation vermehrt hat. Je größer also und/oder ist, desto mehr freie Elektronen werden erzeugt.)
Die Anzahl an erzeugten freien Elektronen bei der Entladung ist
Unter Vernachlässigung, dass Atome mehrfach ionisiert werden können, ist die Anzahl an erzeugten Ionen gleich der Anzahl der erzeugten freien Elektronen:
ist der Strom der Ionen. Damit die Entladung nicht sofort wieder erlischt, müssen freie Elektronen auf der Kathodenoberfläche erzeugt werden. Dies ist möglich, da die Ionen beim Auftreffen auf die Kathode Sekundärelektronen herausschlagen. (Für sehr hohe angelegte Spannungen kann auch Feldemission auftreten.) Ohne Feldemission kann man schreiben
wobei die Anzahl der Elektronen ist, die ein auftreffendes Ion im Schnitt herausschlägt. Dies wird als dritter Townsend-Koeffizient bezeichnet. Angenommen, dass erhält man eine Beziehung zwischen den Townsend-Koeffizienten, indem man (4) in (3) einsetzt und umformt:
Stoßionisation
Die Frage ist nun, wie groß ist. Die Anzahl der Ionisationen hängt davon ab, wie wahrscheinlich es ist, dass ein Elektron ein Ion trifft. Diese Wahrscheinlichkeit ist das Verhältnis des Wirkungsquerschnitts eines Stoßes zwischen Elektron und Ion im Verhältnis zur insgesamt zur Verfügung stehenden Fläche , durch die das Elektron fliegen kann:
Wie der zweite Teil der Gleichung verdeutlicht, kann man die Wahrscheinlichkeit auch als Verhältnis der vom Elektron zurückgelegten Wegstrecke zur mittleren freie Weglänge (ehe wieder eine Ionisation auftritt) ausdrücken.

ist die Anzahl an Elektronen, denn jedes kann stoßen. Die Anzahl lässt sich mit der Zustandsgleichung des Idealen Gases
- (: Druck, : Volumen, : Boltzmann-Konstante, : Temperatur)
ausdrücken. Wie nebenstehende Skizze verdeutlicht, ist . Da der Radius eines Elektrons gegenüber dem Radius eines Ions vernachlässigt werden kann, vereinfacht es sich zu . Nutzt man diese Beziehung, setzt (7) in (6) ein und formt nach um, erhält man
wobei der Faktor nur zur besseren Übersichtlichkeit eingeführt wurde.
Die Änderung des Stroms von noch nicht kollidierten Elektronen an jedem Wegpunkt kann man als
ausdrücken. Diese Differentialgleichung wird gelöst durch:
Die Wahrscheinlichkeit, dass ist, also dass an der Stelle noch kein Stoß stattgefunden hat, ist
Gemäß seiner Definition ist die Anzahl an Ionisationen pro Weglänge und damit das Verhältnis aus der Wahrscheinlichkeit, bei der in der mittleren freien Weglänge der Ionen noch keine Kollision stattgefunden hat, zur mittleren freien Weglänge der Elektronen:
Dabei wurde bedacht, dass die Energie , die ein geladenes Teilchen zwischen zwei Stößen aufnehmen kann, von der elektrischen Feldstärke und der Ladung abhängt:
Durchschlagspannung
Für den Plattenkondensator gilt , wobei die angelegte Spannung ist. Da von einer einfachen Ionisierung ausgegangen wurde, ist die Elementarladung . Man kann nun (13) und (8) in (12) einsetzen und erhält
Setzt man dies in (5) ein und formt nach um, erhält man das Paschen-Gesetz für die Durchschlagspannung , die zuerst von Paschen in[1] untersucht wurden und dessen Gleichung zuerst von Townsend in [2], section 227 hergeleitet wurde:
mit
Die eingangs erläuterten Konstanten und lauten somit:
Plasmazündung
Plasmazündung nach der Definition von Townsend (Townsend-Entladung) bedeutet, dass das Plasma einen Punkt erreicht, an dem es von selbst brennt, unabhängig von einer externen Quelle von freien Elektronen. Dies bedeutet, dass die Elektronen der Kathode die Anode im Abstand erreichen und dabei mindestens ein Atom auf dem Weg dahin ionisiert haben müssen. Gemäß der Definition von muss also diese Beziehung erfüllt sein:
Verwendet man statt (5), erhält man für die Durchschlagspannung
Schlussfolgerung/Gültigkeit
Das Paschen-Gesetz setzt also voraus, dass
- es vor der Zündung schon freie Elektronen auf der Kathode gibt (), die beschleunigt werden können, um die Stoßionisation auszulösen.
- die Erzeugung weiterer freier Elektronen nur durch Stoßionisation geschieht. Das Paschen-Gesetz gilt also nicht, wenn externe Elektronenquellen vorhanden sind. Dies kann z. B. Licht sein, das Sekundärelektronen durch den photoelektrischen Effekt erzeugt. Dies muss bei Experimenten berücksichtigt werden.
- ein ionisiertes Atom nur zu je einem freien Elektron führt. Mehrfachionisationen treten jedoch in der Praxis immer auf.
- freie Elektronen auf der Kathodenoberfläche durch die auftreffenden Ionen erzeugt werden. Die Anzahl der dabei erzeugten Elektronen ist jedoch stark vom Kathodenmaterial, dessen Oberflächenbeschaffenheit (Rauheit, Verunreinigungen) und den Umgebungsbedingungen (Temperatur, Luftfeuchtigkeit etc.) abhängig. Die experimentelle Bestimmung des Faktors ist daher kaum reproduzierbar möglich.
- das elektrische Feld homogen ist.
Einzelnachweise
- ↑ a b F. Paschen, “Ueber die zum Funkenübergang in Luft, Wasserstoff und Kohlensäure bei verschiedenen Drucken erforderliche Potentialdifferenz,” Annalen der Physik, vol. 273, no. 5, pp. 69 – 96, 1889. doi:10.1002/andp.18892730505
- ↑ a b J. Townsend: Electricity in Gases. Clarendon Press, 1915.
- ↑ Andreas Küchler: Hochspannungstechnik. 2. Auflage. Springer-Verlag, Berlin/Heidelberg 2005, ISBN 978-3-540-78412-8, S. 159.
- ↑ Taschenbuch der elektrischen Energietechnik: mit 102 Tabellen. ISBN 3-446-40475-9, S. 289 (eingeschränkte Vorschau in der Google-Buchsuche).
- ↑ Emmanouel Hourdakis, Brian J. Simonds, and Neil M. Zimmerman: Submicron gap capacitor for measurement of breakdown voltage in air. In: Rev. Sci. Instrum. 77. Jahrgang, Nr. 3, 2006, S. 034702, doi:10.1063/1.2185149.
- ↑ Jane Lehr, Pralhad Ron: Electrical Breakdown in Gases. In: Foundations of Pulsed Power Technology. John Wiley & Sons, Inc., 2017, ISBN 978-1-118-88650-2, S. 369–438, doi:10.1002/9781118886502.ch8 (wiley.com [abgerufen am 14. September 2017]).
- ↑ J. Townsend: The Theory of Ionization of Gases by Collision. Constable, 1910.