Messungen der Neutrinogeschwindigkeit
Messungen der Neutrinogeschwindigkeit werden als Tests der speziellen Relativitätstheorie und zur Bestimmung der Masse von Neutrinos durchgeführt. So wird untersucht, ob Licht und Neutrinos, die gleichzeitig von einer entfernten astronomischen Strahlungsquelle ausgesandt wurden, auch gleichzeitig auf der Erde eintreffen. Terrestrische Methoden bestehen darin, die Neutrinogeschwindigkeit durch eine Flugzeitmessung mittels synchronisierter Uhren zu ermitteln, oder deren Geschwindigkeit mit der anderer Teilchen zu vergleichen.
Da die Neutrinos nicht masselos sind, muss ihre Geschwindigkeit von ihrer Energie abhängen und jedenfalls unter der Lichtgeschwindigkeit liegen. Bei den tatsächlich vorkommenden Energien ist der Unterschied aber geringfügig. Bisherige Messungen ergeben für eine solche Abweichung, falls sie existiert, bisher nur eine obere Grenze von (relativ) 10−9, also ungefähr einem Milliardstel der Lichtgeschwindigkeit. Das stimmt im Rahmen der Messgenauigkeit mit der Vorhersage überein.
Überblick
| Kinetische Energie | 1 eV | 10 eV | 100 eV | 1 keV | 1 MeV | 1 GeV | 1 TeV | 1 PeV |
|---|---|---|---|---|---|---|---|---|
| Masse | Geschwindigkeitsdefizit | |||||||
| 0,2 eV | 0,014 | 1,92·10−4 | 2·10−6 | 2·10−8 | 2·10−14 | 2·10−20 | 2·10−26 | 2·10−32 |
| 1 eV | 0,134 | 4,14·10−3 | 5·10−5 | 2·10−7 | 5·10−13 | 5·10−19 | 5·10−25 | 5·10−31 |
| 2 eV | 0,255 | 1,40·10−2 | 2·10−4 | 2·10−6 | 2·10−12 | 2·10−18 | 2·10−24 | 2·10−30 |
| ||||||||
| ||||||||
Lange Zeit wurde im Rahmen des Standardmodells der Teilchenphysik angenommen, dass Neutrinos masselos sind. Dann müssten sie sich gemäß der speziellen Relativitätstheorie mit Lichtgeschwindigkeit bewegen. Doch seit der Entdeckung von Neutrinooszillationen ist bekannt, dass sie Masse besitzen und daher geringfügig langsamer als Licht sind, da sich nur masselose Teilchen mit Lichtgeschwindigkeit fortbewegen. Die Gesamtenergie ist gegeben durch
- ,
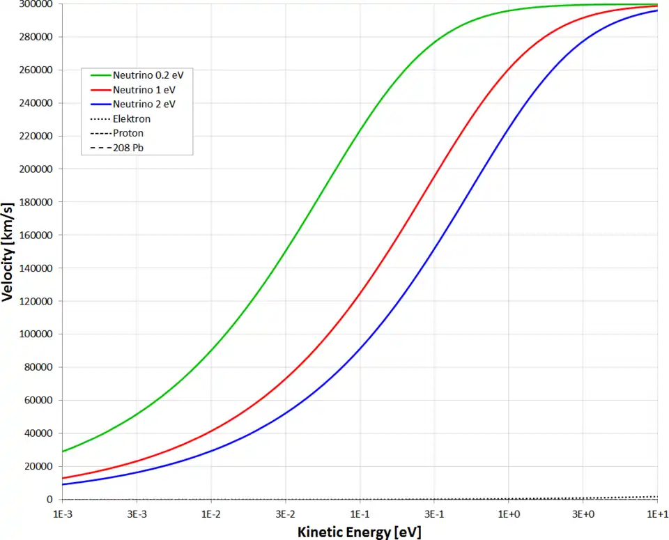
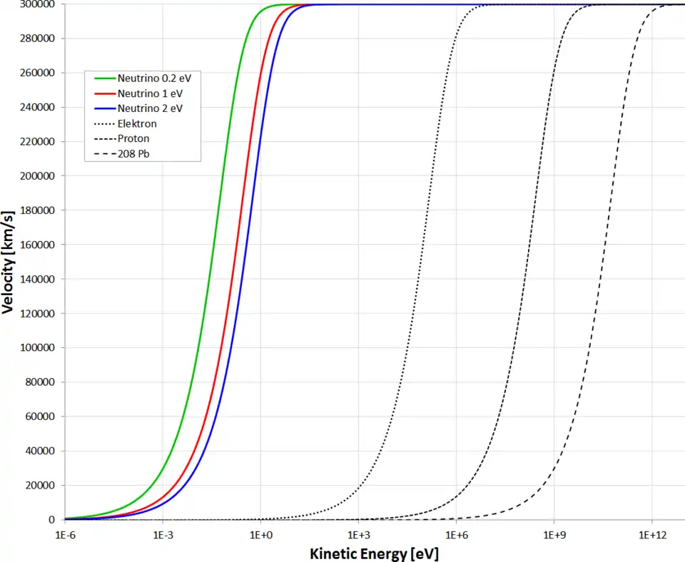
mit der Neutrinogeschwindigkeit v und der Lichtgeschwindigkeit c. Die Neutrinomasse m ist unter 0,8 eV/c²[1], und ist wahrscheinlich kleiner als 0,2 eV/c²[2]. Nur bei niedrigen Neutrinoenergien würde sich eine deutlich messbare Abweichung der Geschwindigkeit ergeben (Abbildung und Tabelle rechts, gerechnet für 0,2, 1 und 2 eV).[3]
Bisherige Experimente benutzten Neutrinoenergien von über 10 MeV. Die für diese Energiebereiche von der speziellen Relativitätstheorie vorhergesagten Geschwindigkeitsdifferenzen können deshalb mit der aktuellen Genauigkeit der Zeitmessung nicht bestimmt werden. Dass trotzdem Experimente durchgeführt werden, hängt mit der theoretischen Möglichkeit von Verletzungen der Lorentzinvarianz, einer grundlegenden Eigenschaft der speziellen Relativitätstheorie, zusammen.[4] Diese werden motiviert durch spekulative Varianten der Quantengravitation, wonach deutlich größere Abweichungen von der Lichtgeschwindigkeit möglich sein könnten (siehe Moderne Tests der Lorentzinvarianz). Neben Flugzeitmessungen ermöglicht dies auch die Indirekte Bestimmung der Neutrinogeschwindigkeit durch Analyse von möglichen lorentzverletzenden Effekten.
Fermilab (1970er)
Fermilab führte in den 1970ern terrestrische Messungen durch, bei denen die Geschwindigkeit von Myonen mit der von Neutrinos und Antineutrinos (mit Energien zwischen 30 und 200 GeV) verglichen wurde. Zur Messung wurde der Fermilab-Schmalband-Neutrinostrahl benutzt. 400-GeV-Protonen treffen auf ein Target, worauf Sekundärstrahlen aus Pionen und Kaonen entstehen. In einer 345 Meter langen, evakuierten Zerfallsröhre zerfallen diese dann in Neutrinos und Myonen. Die verbliebenen Hadronen werden durch einen Sekundärabsorber aufgehalten, so dass nur die Neutrinos und einige energiereiche Myonen den 500 Meter langen Erd- und Stahlschild durchdringen, um zum Teilchendetektor zu gelangen.
Da die Protonen in Bündeln von einer Nanosekunde Dauer und einem Abstand von 18,73 ns übertragen wurden, konnte die Geschwindigkeit der Myonen und Neutrinos bestimmt werden, denn eine Geschwindigkeitsdifferenz würde erstens zu einer Streckung der Neutrinobündel und zweitens zu einer Verschiebung des gesamten Neutrinozeitspektrums führen. Zuerst wurden die Geschwindigkeiten von Myonen und Neutrinos verglichen.[5] Später wurden auch Antineutrinos berücksichtigt.[6] Es ergab sich im Rahmen der Messgenauigkeit keine Abweichung von der Lichtgeschwindigkeit, die relative Unsicherheit betrug
- (95 % Konfidenzintervall).
Eine Energieabhängigkeit der Neutrinogeschwindigkeit konnte bei dieser Messgenauigkeit ebenfalls nicht festgestellt werden.
Supernova 1987A
Die bislang genaueste Übereinstimmung mit der Lichtgeschwindigkeit konnte 1987 durch Beobachtungen von Antineutrinos mit einer Energie von 7,5 bis 35 MeV, die bei der Supernova 1987A in einer Entfernung von etwa 160.000 Lichtjahren entstanden waren, festgestellt werden.[7][8] Die wenigen Stunden, um die die Neutrinos vor dem Licht eintrafen, entsprechen einer relativen Abweichung von
- ,
werden aber darauf zurückgeführt, dass die wechselwirkungsarmen Neutrinos den Bereich der Supernova ungehindert durchqueren konnten, während das Licht länger dafür benötigte.[9][10]
MINOS (2007)
Die erste Messung der absoluten Transitzeit von 3-GeV-Neutrinos wurde durch die MINOS-Gruppe (2007) von Fermilab auf einer Strecke von 734 km durchgeführt.[11] Zur Erzeugung der Neutrinos (NuMI-Strahl) benutzte MINOS den Fermilab Main Injector, womit 120-GeV-Protonen in fünf bis sechs Bündeln pro Extraktionsphase auf ein Graphittarget geschossen wurden. Die daraus entstehenden Mesonen zerfielen in einem 675 Meter langen Zerfallstunnel in Myonneutrinos (93 %) und Myonantineutrinos (6 %). Die Ankunftszeit wurde durch Vergleich der Ankunftszeiten beim Nah- und Ferndetektor von MINOS ermittelt. Die Uhren beider Stationen wurden durch GPS miteinander synchronisiert.
Es ergab sich eine frühzeitige Neutrinoankunft von ungefähr 126 ns. In der Unsicherheit systematischer Fehler dominieren die beiden Glasfaserverbindungen zur Übertragung der Zeitsignale zwischen den GPS-Empfängern an der Erdoberfläche und den unterirdischen Laboren. Bezogen auf die Entfernung zwischen den beiden Detektoren ergibt sich eine scheinbare Überlichtgeschwindigkeit mit einer relativen Abweichung von (68 % Konfidenzintervall), was mit 1,8σ nicht signifikant war. Für die Anerkennung als wissenschaftliche Entdeckung wären 5σ erforderlich.[12]
Hingegen auf dem Konfidenzintervall von 99 % ergibt sich nach diesem Experiment eine relative Geschwindigkeitsabweichung von
- ,
sodass das Ergebnis auch mit Unterlichtgeschwindigkeit zu vereinbaren ist.[11]
OPERA (2011, 2012)
OPERA-Neutrino-Anomalie (2011)
Die OPERA-Gruppe führte von 2009 bis 2011 Flugzeitmessungen mit 17-GeV-Myon-Neutrinos (CNGS) durch. Die Messung erfolgte auf einer Strecke von etwa 730 km zwischen einem Target am Super Proton Synchrotron des CERN, wo Pionen und Kaonen entstehen, die teilweise in Myonen und Myon-Neutrinos zerfallen, und dem OPERA-Neutrino-Detektor im LNGS. Zur Synchronisation der Uhren und Bestimmung der genauen Entfernung wurde GPS benutzt, wobei Faserkabel von ungefähr 8 km Länge zur Signalübermittlung in den OPERA-Detektor benutzt wurden. Die zeitliche Verteilung der 10,5 µs langen Protonenpulse wurde auf statistischem Wege mit ungefähr 16000 detektierten Neutrinoereignissen verglichen. Es ergab sich, dass Neutrinos um ungefähr 61 ns früher beim Detektor ankamen, als mit Lichtgeschwindigkeit zu erwarten gewesen wäre. Die Anomalie erschien mit 6 σ signifikant, die Fehleranalyse wurde jedoch als vorläufig bezeichnet.[13][14]
Um einige statistische Fehler auszuschließen, führte OPERA im Oktober und November 2011 eine Messung unter veränderten Bedingungen durch. Die Protonenpulse wurden in kurze Bündel von 3 ns mit einem Abstand von 524 ns aufgeteilt, sodass jedes Neutrinoereignis einem Bündel zugeordnet werden konnte. Die Messung von 20 Neutrinoereignissen ergab eine vorzeitige Ankunft von ungefähr 62 ns, im Einklang mit den vorhergehenden Ergebnissen. Zusätzlich aktualisierte OPERA die vorzeitige Neutrinoankunft gemäß der statistischen Hauptanalyse vom September auf ungefähr 57 ns. Die Autoren gaben an, dass die Abweichung 6,2 σ betrüge, was signifikant wäre. Sie fügten allerdings hinzu, dass sie aus den Ergebnissen keine weitergehenden Schlüsse ziehen wollten und es notwendig sei, weiter nach noch unbekannten systematischen Fehlern zu suchen.[13]
Es wurde eine Reihe von Erklärungen und Kritiken in arXiv-Vorabpublikationen (die allerdings keiner genauen Begutachtung unterliegen) zu diesem Thema veröffentlicht. Einige davon wurden inzwischen in begutachteten Fachzeitschriften veröffentlicht.[15] Ein signifikanter Einwand gegen das OPERA-Resultat wurde von Andrew G. Cohen und Sheldon Lee Glashow veröffentlicht. Die Autoren wenden den Vakuum-Tscherenkow-Effekt, der in Lorentz-verletzenden Theorien, welche Überlichtgeschwindigkeit erlauben, auftreten müsste, auf Neutrinos an. Sie prognostizieren die Produktion von Elektron-Positron-Paaren, wodurch die Neutrinos in kurzer Zeit erheblich an Energie verlieren würden.[16] Das wurde von der benachbarten ICARUS-Gruppe jedoch nicht beobachtet.[17]
Im Februar und März 2012 wurde jedoch festgestellt, dass weitere Tests zwei Fehlerquellen aufgezeigt haben: einerseits eine fehlerhafte Glasfaserkabelverbindung zwischen einem GPS-Empfänger und einer Computerkarte, und andererseits ein Oszillator, der benutzt wurde, um die Neutrinoereignisse während der GPS-Synchronisation mit einem Zeitstempel zu versehen. Die Fehler wirken in entgegengesetzter Richtung. Bei weitergehenden Untersuchungen ergab ein Vergleich der Ankunft von kosmischen Myonen am OPERA-Detektor und dem benachbarten LVD-Detektor, dass eine Zeitabweichung für den Zeitraum 2008 bis 2011, im Vergleich zu 2007 bis 2008 und 2011 bis 2012 aufgetreten ist. Sie wurde durch den Kabelfehler verursacht, sodass zur vorzeitigen Neutrinoankunft von −60 ns nun ungefähr 73 ns addiert werden müssen. Der entgegengesetzte Oszillatorfehler wurde auf ungefähr −15 ns bestimmt.[18][19] Dadurch wurden diese beiden Probleme als Ursache für die OPERA-Anomalie von ungefähr −60 ns bestätigt.[20]
Endresultat
Im Juli 2012 veröffentlichte die OPERA-Gruppe eine neue Analyse ihrer Daten von 2009 bis 2011, worin die gefundenen Fehlerquellen berücksichtigt wurden. Es ergaben sich neue Obergrenzen für Flugzeitunterschiede von
und Obergrenzen für Geschwindigkeitsunterschiede von
- .
Auch die neue Analyse der gebündelten Pulse von Oktober und November 2011 ergab
- .
Alle diese Ergebnisse stimmen mit der Lichtgeschwindigkeit überein, wobei die 10−6-Grenze eine Größenordnung genauer ist als frühere terrestrische Flugzeitmessungen.[21]
ICARUS (2012)
Noch bevor die OPERA-Gruppe ihre ursprünglichen Messungen korrigiert hatte, veröffentlichte die ICARUS-Gruppe im März 2012 eine eigene Messung der Neutrinogeschwindigkeit. Der ICARUS-Detektor befindet sich wie OPERA ebenfalls im LNGS. Dabei wurde teilweise dasselbe Equipment zur externen Zeitmessung benutzt, wohingegen die interne Zeitmessung unabhängig war. ICARUS untersuchte die Neutrinos der gleichen Protonenpulse, die auch von OPERA zwischen Oktober und November 2011 benutzt wurden, also 3-ns-Protonenpulse mit einem Abstand von 524 ns. Dabei wurden sieben Neutrinoereignisse beobachtet, die direkt mit dem jeweiligen Protonenpuls verknüpft werden konnten. Die Obergrenze für die Differenz zwischen der gemessenen Ankunftszeit und derjenigen, die bei Lichtgeschwindigkeit zu erwarten ist, beträgt[22]
- .
Im Rahmen der Messgenauigkeit liegt also Übereinstimmung mit der Lichtgeschwindigkeit vor.[23]
LNGS (2012)
Im Mai 2012 wurden von CERN neuerlich CNGS-Neutrinos nach Gran Sasso gesendet. Die LNGS-Experimente Borexino, OPERA, ICARUS, und LVD begannen mit der Datenauswertung der Neutrino-Ereignisse, wobei sich Übereinstimmung mit der Lichtgeschwindigkeit ergab.[24] Die 17-GeV-Myonneutrinos bestanden aus vier Pulsen pro Strahlextraktion die durch ≈ 300 ns getrennt waren. Die Pulse waren wiederum unterteilt in 16 Bündel mit einem Abstand von ≈ 100 ns, wobei die Bündelbreite ≈ 2 ns betrug.[25]
Borexino
Die Borexino-Gruppe analysierte die Daten aus den Messungen der gebündelten CNGS-Strahlen von Oktober bis November 2011 und von Mai 2012.[25] Aus den Daten von 2011 konnten sie 36 Neutrinoereignisse auswerten und erhielten eine Obergrenze für Flugzeitunterschiede zwischen Licht und Neutrinos
- .
Für die Auswertung der Daten von 2012 verbesserten sie ihre Messvorrichtungen durch Installierung eines neuen Triggersystems und einer Rubidiumuhr, die an einen geodätischen GPS-Empfänger gekoppelt war.[26] Zusammen mit LVD und ICARUS führten sie eine unabhängige, präzise Geodäsiemessung durch. Für die Endanalyse konnten 62 Neutrinoereignisse herangezogen werden, wobei sich als Obergrenze für Flugzeitunterschiede ergab
- ,
entsprechend der Obergrenze für Geschwindigkeitsunterschiede von
- (90 % Konfidenzintervall).
LVD
Die LVD-Gruppe analysierte zuerst die gebündelten CNGS-Strahlen von Oktober bis November 2011.[27] Sie werteten 32 Neutrinoereignisse aus und erhielten eine Obergrenze für Flugzeitunterschiede zwischen Licht und Neutrinos
- .
Im Rahmen der Messungen im Mai 2012 benutzten sie die externe Ausrüstung, die von der Borexino-Gruppe entwickelt wurde, und die von LVD, Borexino und ICARUS ermittelten Geodäsiedaten. Sie verbesserten auch ihre Szintillationszähler und den Trigger. Dabei konnten 48 Neutrinoereignisse (mit Energien größer als 50 MeV, wobei die durchschnittliche Neutrinoenergie 17 GeV betrug) für die Analyse benutzt werden, mit einer Obergrenze für Flugzeitunterschiede:[27]
und für Geschwindigkeitsunterschiede
- (99 % Konfidenzintervall).
ICARUS
Nach der Analyse der gebündelten CNGS-Strahlen von Oktober bis November 2011 (siehe #ICARUS (2012) oben) veröffentlichte die ICARUS-Gruppe auch die Analyse der Messungen vom Mai. Sie verbesserten sowohl ihre interne Zeitmessung, als auch die zwischen CERN und LNGS, benutzten die geodätischen Messungen zusammen mit Borexino und LVD, und benutzten Borexinos LNGS-Zeitsystem. Es konnten 25 Neutrinoereignisse ausgewertet werden, mit einer Obergrenze für Flugzeitunterschiede zwischen Neutrinos und Licht[28] von
- ,
entsprechend Geschwindigkeitsunterschieden von
- .
Neutrinogeschwindigkeiten, die die Lichtgeschwindigkeit um mehr als (95 % Konfidenzintervall) übersteigen, sind damit ausgeschlossen.
OPERA
Nach der Korrektur der ursprünglichen Resultate veröffentlichte OPERA auch die Messungen von Mai 2012.[29] Zur Auswertung der Neutrinoereignisse wurden vier unterschiedliche Analysemethoden und ein weiteres, unabhängiges Timingsystem benutzt. Sie ergaben eine Obergrenze für Flugzeitunterschiede zwischen Licht und Myonneutrinos (48 bis 59 Neutrinoereignisse je nach Analysemethode) von
und zwischen Licht und Antimyonneutrinos (3 Neutrinoereignisse) von
- ,
übereinstimmend mit der Lichtgeschwindigkeit im Bereich von
- (90 % Konfidenzintervall).
MINOS (2012)
Altes Zeitnahmesystem
Parallel zu den LNGS-Messungen führte auch MINOS die vorläufigen Messungen von 2007 fort. Dabei wurden Neutrinoereignisse aus über sieben Jahren ausgewertet. Zusätzlich wurde das GPS-Timing-System verbessert, die Verzögerungen in den elektronischen Komponenten besser berücksichtigt und die Zeitmessungsausrüstung verbessert. Die 10-μs-Neutrinopulse, die jeweils 5–6 Bündel enthielten, wurden auf zwei Arten analysiert: Zuerst wurden (wie in der Messung von 2007) die Daten des weiter entfernten Detektors allgemein aus denen des ersten Detektors statistisch ermittelt. Es wurde folgende Grenze für Zeitunterschiede zwischen Licht und Neutrinos ermittelt:[30][31]
- .
Bei der zweiten Methode wurden die Daten der einzelnen Neutrinobündel selbst benutzt. Es ergab sich:
- ,
Neutrinogeschwindigkeit und Lichtgeschwindigkeit stimmen also im Rahmen der Messgenauigkeit überein.
Neues Zeitnahmesystem
Um die Präzision weiter zu erhöhen, wurde ein neues Zeitnahmesystem entwickelt. Installiert wurden
- ein „Resistive Wall Current Monitor“ (RWCM) zur Messung der Zeitverteilung der Protonen,
- Cs-Atomuhren,
- Dualfrequenz-GPS-Empfänger
- und Hilfsdetektoren zur Messung der Latenzzeiten (Verzögerungen, die durch die Signalverarbeitung im Detektor entstehen).
Für die Analyse konnte jedes Neutrinoereignis einem der 10-μs-Pulse zugeordnet und eine Likelihood-Analyse erstellt werden. Danach wurden die Wahrscheinlichkeitswerte verschiedener Ereignisse kombiniert. Es ergab sich:[32][33]
- ,
und folglich
- .
Weitere Präzisionsmessungen sollen 2013/14 mit dem verbesserten Detektor „MINOS+“ durchgeführt werden.
Indirekte Bestimmungen der Neutrinogeschwindigkeit
Lorentzverletzende Modelle wie die Standardmodellerweiterung ermöglichen auch die indirekte Bestimmung von Abweichungen zwischen der Lichtgeschwindigkeit und der Neutrinogeschwindigkeit, indem deren Energie und die Zerfallsraten anderer Teilchen untersucht werden.[4] So sollten überlichtschnelle Neutrinos sogenannte Vakuum-Tscherenkow-Strahlung emittieren. Damit können sehr viel genauere Messgrenzen erreicht werden, beispielsweise durch Borriello et al. (2013):[34]
- .
Für weitere solcher Tests siehe Moderne Tests der Lorentzinvarianz#Geschwindigkeit.
Einzelnachweise
- ↑ Neutrinos sind leichter als 0,8 Elektronenvolt – KATRIN-Experiment mit neuem Weltrekord bei Präzisionsmessungen. Abgerufen am 29. Mai 2023.
- ↑ Marco Cirelli, Alessandro Strumia: Cosmology of neutrinos and extra-light particles after WMAP3. In: Journal of Cosmology and Astroparticle Physics. Band 2006, Nr. 12, 12. Dezember 2006, ISSN 1475-7516, S. 013–013, doi:10.1088/1475-7516/2006/12/013.
- ↑ J. Beringer et al. (Particle Data Group): Neutrino Properties – Review of Particle Physics. In: Physical Review D. 86. Jahrgang, Nr. 1, 2012, S. 010001, doi:10.1103/PhysRevD.86.010001, bibcode:2012PhRvD..86a0001B (lbl.gov).
- ↑ a b Díaz, Jorge S.; Kostelecký, V. Alan: Lorentz- and CPT-violating models for neutrino oscillations. In: Physical Review D. 85. Jahrgang, Nr. 1, 2012, S. 016013, doi:10.1103/PhysRevD.85.016013, arxiv:1108.1799, bibcode:2012PhRvD..85a6013D.
- ↑ P. Alspector et al.: Experimental Comparison of Neutrino and Muon Velocities. In: Physical Review Letters. 36. Jahrgang, Nr. 15, 1976, S. 837–840, doi:10.1103/PhysRevLett.36.837.
- ↑ Kalbfleisch et al.: Experimental Comparison of Neutrino, Antineutrino, and Muon Velocities. In: Physical Review Letters. 43. Jahrgang, Nr. 19, 1979, S. 1361–1364, doi:10.1103/PhysRevLett.43.1361.
- ↑ Hirata et al.: Observation of a neutrino burst from the supernova SN1987A. In: Physical Review Letters. 58. Jahrgang, 1987, S. 1490–1493, doi:10.1103/PhysRevLett.58.1490.
- ↑ Bionta et al.: Observation of a neutrino burst in coincidence with supernova 1987A in the Large Magellanic Cloud. In: Physical Review Letters. 58. Jahrgang, 1987, S. 1494–1496, doi:10.1103/PhysRevLett.58.1494.
- ↑ Longo, Michael J.: Tests of relativity from SN1987A. In: Physical Review D. 236. Jahrgang, Nr. 10, 1987, S. 3276–3277, doi:10.1103/PhysRevD.36.3276.
- ↑ Stodolsky, Leo: The speed of light and the speed of neutrinos. In: Physics Letters B. 201. Jahrgang, Nr. 3, 1988, S. 353–354, doi:10.1016/0370-2693(88)91154-9.
- ↑ a b MINOS Collaboration: Measurement of neutrino velocity with the MINOS detectors and NuMI neutrino beam. In: Physical Review D. 76. Jahrgang, Nr. 7, 2007, doi:10.1103/PhysRevD.76.072005, arxiv:0706.0437, bibcode:2007PhRvD..76g2005A.
- ↑ Seife, C.: CERN's gamble shows perils, rewards of playing the odds. In: Science. 289. Jahrgang, Nr. 5488, 2000, S. 2260–2262, doi:10.1126/science.289.5488.2260.
- ↑ a b OPERA collaboration: Measurement of the neutrino velocity with the OPERA detector in the CNGS beam. 2011, arxiv:1109.4897.
- ↑ Giulia Brunetti: Neutrino velocity measurement with the OPERA experiment in the CNGS beam. (PDF; 33 MB) Università di Bologna und Université Claude Bernard Lyon 1, 2011, abgerufen am 1. Februar 2018 (Doktorarbeit).
- ↑ Liste relevanter arXiv-Vorabdrucke und Veröffentlichungen ( vom 2. September 2012 im Internet Archive) und Suchresultate bei ArXiv
- ↑ Cohen, Andrew G.; Glashow, Sheldon L.: Pair Creation Constrains Superluminal Neutrino Propagation. In: Physical Review Letters. 107. Jahrgang, Nr. 18, 2011, S. 181803, doi:10.1103/PhysRevLett.107.181803, arxiv:1109.6562.
- ↑ ICARUS Collaboration: A search for the analogue to Cherenkov radiation by high energy neutrinos at superluminal speeds in ICARUS. In: Physics Letters B. 711. Jahrgang, Nr. 3–4, 2012, S. 270–275, doi:10.1016/j.physletb.2012.04.014, arxiv:1110.3763.
- ↑ LVD and OPERA collaboration: Determination of a time-shift in the OPERA set-up using high energy horizontal muons in the LVD and OPERA detectors. In: The European Physical Journal Plus. 127. Jahrgang, Nr. 6, 2012, S. 71, doi:10.1140/epjp/i2012-12071-5, arxiv:1206.2488.
- ↑ LNGS seminar (28. März 2012): LNGS results on the neutrino velocity topic
- ↑ Robert Gast: Ein Kabel für die Ewigkeit. Der Standard, 23. Dezember 2012, abgerufen am 2. Februar 2013.
- ↑ OPERA collaboration: Measurement of the neutrino velocity with the OPERA detector in the CNGS beam. In: Journal of High Energy Physics. Nr. 10, 2012, S. 93, doi:10.1007/JHEP10(2012)093, arxiv:1109.4897v4.
- ↑ ICARUS Collaboration: Measurement of the neutrino velocity with the ICARUS detector at the CNGS beam. In: Physics Letters B. 713. Jahrgang, Nr. 1, 2012, S. 17–22, doi:10.1016/j.physletb.2012.05.033, arxiv:1203.3433.
- ↑ Geoff Brumfiel: Neutrinos not faster than light. NatureNews, 16. März 2012, abgerufen am 16. März 2012 (10.1038/nature.2012.10249).
- ↑ Neutrinos sent from CERN to Gran Sasso respect the cosmic speed limit. CERN press release, 8. Juni 2012, archiviert vom am 5. September 2012; abgerufen am 8. Juni 2012.
- ↑ a b Borexino collaboration: Measurement of CNGS muon neutrino speed with Borexino. In: Physics Letters B. 716. Jahrgang, Nr. 3–5, 2012, S. 401–405, doi:10.1016/j.physletb.2012.08.052, arxiv:1207.6860, bibcode:2012arXiv1207.6860B.
- ↑ Caccianiga et al.: GPS-based CERN-LNGS time link for Borexino. In: Journal of Instrumentation. 7. Jahrgang, 2012, S. P08028, doi:10.1088/1748-0221/7/08/P08028, arxiv:1207.0591, bibcode:2012arXiv1207.0591C.
- ↑ a b LVD collaboration: Measurement of the velocity of neutrinos from the CNGS beam with the Large Volume Detector. In: Physical Review Letters. 109. Jahrgang, Nr. 7, 2012, S. 070801, doi:10.1103/PhysRevLett.109.070801, arxiv:1208.1392.
- ↑ ICARUS collaboration: Precision measurement of the neutrino velocity with the ICARUS detector in the CNGS beam. In: Journal of High Energy Physics. Nr. 11, 2012, S. 49, doi:10.1007/JHEP11(2012)049, arxiv:1208.2629, bibcode:2012arXiv1208.2629A.
- ↑ OPERA collaboration: Measurement of the neutrino velocity with the OPERA detector in the CNGS beam using the 2012 dedicated data. In: Journal of High Energy Physics. Nr. 1, 2013, S. 153, doi:10.1007/JHEP01(2013)153, arxiv:1212.1276.
- ↑ P. Adamson: Neutrino Velocity: Results and prospects of experiments at beamlines other than CNGS. In: Nuclear Physics B Proceedings Supplements. 235. Jahrgang, 2013, S. 296–300, doi:10.1016/j.nuclphysbps.2013.04.025, bibcode:2013NuPhS.235..296A (inspirehep.net).
- ↑ MINOS reports new measurement of neutrino velocity. Fermilab today, 8. Juni 2012, abgerufen am 8. Juni 2012.
- ↑ P. Adamson et al.: Measurement of the Velocity of the Neutrino with MINOS. In: Proceedings of the 44th Annual Precise Time and Time Interval Systems and Applications Meeting. 2012, S. 119–132 (inspirehep.net).
- ↑ Exceeding the speed limit? Measuring neutrinos to the nanosecond. Fermilab today, 13. April 2013, abgerufen am 13. April 2013.
- ↑ Borriello et al.: Stringent constraint on neutrino Lorentz invariance violation from the two IceCube PeV neutrinos. In: Physical Review D. 87. Jahrgang, Nr. 11, 2013, S. 116009, doi:10.1103/PhysRevD.87.116009, arxiv:1303.5843.

