Mometasonfuroat
| Strukturformel | ||||||||||||||||||||||
|---|---|---|---|---|---|---|---|---|---|---|---|---|---|---|---|---|---|---|---|---|---|---|
| ||||||||||||||||||||||
| Allgemeines | ||||||||||||||||||||||
| Freiname | Mometasonfuroat | |||||||||||||||||||||
| Andere Namen | ||||||||||||||||||||||
| Summenformel | C27H30Cl2O6 | |||||||||||||||||||||
| Kurzbeschreibung |
weißes Pulver mit schwachem Geruch[1] | |||||||||||||||||||||
| Externe Identifikatoren/Datenbanken | ||||||||||||||||||||||
| ||||||||||||||||||||||
| Arzneistoffangaben | ||||||||||||||||||||||
| ATC-Code |
R01AD09 | |||||||||||||||||||||
| Wirkstoffklasse |
Glucocorticoid | |||||||||||||||||||||
| Eigenschaften | ||||||||||||||||||||||
| Molare Masse | 521,4 g·mol−1 | |||||||||||||||||||||
| Aggregatzustand |
fest[1] | |||||||||||||||||||||
| Schmelzpunkt | ||||||||||||||||||||||
| Löslichkeit | ||||||||||||||||||||||
| Sicherheitshinweise | ||||||||||||||||||||||
| ||||||||||||||||||||||
| Toxikologische Daten | ||||||||||||||||||||||
| Wenn nicht anders vermerkt, gelten die angegebenen Daten bei Standardbedingungen (0 °C, 1000 hPa). | ||||||||||||||||||||||
Mometasonfuroat ist ein Arzneistoff aus der Gruppe der Glucocorticoide, der zur Behandlung verschiedener Hautkrankheiten, der allergischen Rhinitis und Nasenpolypen sowie des Asthma bronchiale eingesetzt wird. Es handelt sich um ein stark wirksames synthetisches Glucocorticoid.[3][4]
Entdeckung
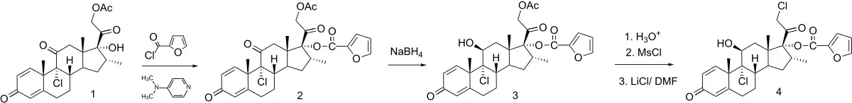
Die Verbindung wurde von Elliot L. Shapiro und Mitarbeitern der US-amerikanischen Firma Merck Sharp & Dohme (heute Merck & Co.) synthetisiert, im Jahr 1982 zum Patent angemeldet und 1984 patentiert.[5] Die Ergebnisse der US-Forscher wurden 1986 zur Publikation im Journal of Medicinal Chemistry eingereicht und 1987 veröffentlicht.[6] Im ersten Schritt einer mehrstufigen Synthese wurde die OH-Gruppe des Prednison-Derivats (1) mit dem Chlorid der Furan-2-carbonsäure acyliert. Da die tertiäre OH-Gruppe sterisch behindert ist, wurde die Methode der Steglich-Veresterung herangezogen.
Pharmakologische Eigenschaften
Mometason basiert auf dem Grundgerüst von Prednisolon. Durch die strukturelle chemische Modifizierung und Veresterung wird Mometason lipophiler, weshalb dieses besser in die Haut eindringt. Die Furoatgruppe (Ester der Furan-2-carbonsäure) bewirkt gleichzeitig eine längere Verweildauer in der Haut, was zu einer langen Wirkungsdauer führt.[7]
Die Wirkung des Mometasonfuroats ist dreifach:
- antiinflammatorisch durch einen Eingriff in den Arachidonsäurestoffwechsel und dadurch bedingte Abnahme der Produktion von Entzündungsmediatoren wie Prostaglandinen und Leukotrienen,
- antiallergisch durch die Verringerung der Anzahl und Aktivität von B- und T-Lymphozyten und
- antiproliferativ durch eine Verminderung der Stoffwechsel- und DNA-Syntheserate, was zu einer Hemmung von Zellwachstum und Zellteilung führt.
Auch beim Inhalieren von Mometasonfuroat-Präparaten (s. u.) kommt die hemmende Wirkung auf Entzündungsmediatoren zum Tragen. Zusätzlich konnte gezeigt werden, dass Mometasonfuroat die Reagibilität der Atemwege von Allergikern auf Adenosinmonophosphat und Methacholin senkt.[8] Die Wirksamkeit bei Nasenpolypen resultiert aus der antiproliferativen Wirkung.
Klinische Angaben
Anwendungsgebiete
In Salben, Cremes und Fettcremes findet Mometasonfuroat Anwendung bei der Behandlung entzündlicher Hautkrankheiten wie z. B. atopischer Dermatitis und Psoriasis.[9] Zur Therapie der allergischen Rhinitis und von Nasenpolypen wird Mometasonfuroat wegen seiner schlechten Wasserlöslichkeit als Suspension im Dosierspray für die Nase (Nasenspray) angewendet.[10] Für die inhalative Anwendung bei Asthma bronchiale aller Schweregrade wird Mometasonfuroat als mikronisiertes einzeldosiertes Pulver eingesetzt (Twisthaler, Breezhaler). Kann das Asthma bronchiale mit inhalativen Kortikosteroiden und inhalativen, kurzwirksamen β2-Agonisten nicht ausreichend kontrolliert werden, so kommt Mometasonfuroat auch in fixer Kombination mit dem langwirkenden β2-Agonisten Indacaterol oder mit Indacaterol und dem Anticholinergikum Glycopyrroniumbromid zur Anwendung.
Art und Dauer der Anwendung
Die Anwendung auf der Haut sollte auf drei Wochen und maximal 20 % der Körperoberfläche, bei Anwendung im Gesicht auf fünf Tage beschränkt bleiben.[3][9] Bei inhalativer Anwendung bestehen keine zeitlichen Beschränkungen.[8]
Gegenanzeigen
Mometasonfuroat ist generell kontraindiziert bei Überempfindlichkeit gegenüber der Substanz. In diesem Zusammenhang müssen auch die restlichen Bestandteile der Zubereitung beachtet werden. Zusätzliche Gegenanzeigen bei topischer Anwendung sind Rosacea, Acne vulgaris, periorale Dermatitis und Anwendung unter einem Okklusivverband, um nur einige wichtige zu nennen.[9][8] Als Nasenspray darf es nicht angewendet werden bei (aktiver oder inaktiver) Lungentuberkulose, unbehandelten Pilzinfektionen, systemischen bakteriellen oder viralen Infektionen, Augenherpes, Infektionen der Nasenschleimhaut und nach Nasenverletzungen oder -operationen.[10]
Wechselwirkungen mit anderen Medikamenten
Es sind keine Wechselwirkungen bekannt. Bei inhalativer Anwendung und gleichzeitiger Einnahme von Medikamenten, die zu einer Hemmung des Cytochroms P450 3A4 führen (z. B. Ketoconazol), besteht jedoch möglicherweise ein leichtes Risiko für systemische Nebenwirkungen.[9][8][10]
Anwendung während Schwangerschaft und Stillzeit
Es existieren keine geeigneten Studien zur Anwendung von Mometasonfuroat in Schwangerschaft und Stillzeit. In tierexperimentellen Untersuchungen zeigten sich jedoch Missbildungen beim Fötus einschließlich Gaumenspalten und ein Übertritt geringer Wirkstoffmengen in die Muttermilch, so dass eine Gabe der Substanz nur nach äußerst sorgfältiger Nutzen-Risiko-Abwägung erfolgen sollte. Das Neugeborene muss in diesem Fall hinsichtlich einer Nebennierenrindeninsuffizienz überwacht werden, insbesondere wenn eine inhalative oder großflächige Anwendung erfolgte.[9][8][10]
Besondere Patientengruppen
Für die Sicherheit und Wirksamkeit bei der Behandlung des Asthma bronchiale bei Kindern unter 12 Jahren liegen keine Daten vor.[8]
Unerwünschte Wirkungen
Mometasonfuroat kann vielfältige unerwünschte Wirkungen haben, siehe hierzu Glucocorticoide: Nebenwirkungen. Charakteristisch für Mometasonfuroat ist jedoch, dass es häufig zu einem Kribbeln der Haut an der Auftragsstelle kommen kann.[9]
Handelsnamen
- Dermal: Ecural (D), Elocon (D, A), Elocom (CH), Momecutan (D, A), MomeGalen (D), Momekort (D), Mometason Glenmark (D), Monovo (D, CH), Ovixan (CH
- Nasal: Allergo-Momelind (D), MomeAllerg (D), MomeGalen (D), MometaHexal Heuschnupfenspray (D), Mometason Bei Heuschnupfen 1 A Pharma (D), Mometason Cipla (D, A), Mometason Hexal (A), Mometason-ratiopharm (A), Mometasonfuroat Abz (D), Mometasonfuroat AL (D), Mometasonfuroat ratiopharm (D), Mometasonfuroat Sandoz (CH), Nasonex (D, CH), Nasonex Aquosum (A), Vividrin Mometason (D),
- als Kombinationspräparat mit Olopatadin: Ryaltris (D, A)
- Inhalativ: Asmanex (D, A)
- als Kombinationspräparat mit Indacaterol: Atectura (EU, CH), Bemrist (EU)
- als Kombinationspräparat mit Indacaterol und Glycopyrroniumbromid: Enerzair (EU, CH), Zimbus (EU)
- Tiermedizin: als Kombinationspräparat
- mit Florfenicol und Terbinafin: Neptra Ohrentropfen für Hunde (D, A),
- mit Orbifloxacin und Posaconazol: Posatex Ohrentropfen für Hunde (D, A)
Literatur
- Wolfgang Blaschek et al. (Hrsg.): Hagers Enzyklopädie der Arzneistoffe und Drogen. Band 10. 6. Auflage. Wiss. Verlagsges., Stuttgart 2007, ISBN 978-3-8047-2384-9, S. 974–977.
- Axel Kleemann et al.: Pharmaceutical substances: syntheses, patents and applications of the most relevant APIs. 5. Auflage. Thieme, Stuttgart 2009, S. 915–916.
Einzelnachweise
- ↑ a b c d e f g Sicherheitsdatenblatt Mometasonfuroat bei Fagron ( vom 21. Juli 2019 im Internet Archive; PDF; 60 kB)
- ↑ nlm.nih.gov: NASONEX® (mometasone furoate monohydrate) Nasal Spray, 50 mcg calculated on the anhydrous basis FOR INTRANASAL USE ONLY.
- ↑ a b Aktories, Förstermann, Hofmann, Starke: Allgemeine und spezielle Pharmakologie und Toxikologie. Urban & Schwarzenberg, München 2009, ISBN 978-3-437-42522-6.
- ↑ Andrea Hämmerlein, Martin Schulz: Ciclesonid und Mometason – zwei neue inhalative Glucocorticoide. In: Pharmazeutische Zeitung, Ausgabe 1/2006, abgerufen am 21. Januar 2014.
- ↑ US-Patent 4472393, 3,20-Dioxo-1,4-pregnadiene-17α-ol-17-aromatic heterocycle carboxylates, Chemical Abstracts 1985, Bd. 102, 95905h.
- ↑ E. L. Shapiro, M. J. Gentles et al., 17-Heteroaroyl Esters of Corticosteroids. 2. 11-β-Hydroxy Series. Journal of Medicinal Chemistry 1987, Bd. 30, S. 1581–1588.
- ↑ Schürer, Ruzicka: Ekzeme. Springer Verlag, Berlin/Heidelberg/New York 1999, ISBN 3-540-63952-7.
- ↑ a b c d e f Fachinformation Asmanex. (PDF) MSD SHARP & DOHME, Juli 2012, abgerufen am 24. Januar 2014.
- ↑ a b c d e f Fachinformation Ecural. (PDF) MSD SHARP & DOHME, März 2012, abgerufen am 24. Januar 2014.
- ↑ a b c d Fachinformation Nasonex. (PDF) MSD SHARP & DOHME, Juli 2012, abgerufen am 24. Januar 2014.
