Mefenaminsäure
| Strukturformel | ||||||||||||||||||||||
|---|---|---|---|---|---|---|---|---|---|---|---|---|---|---|---|---|---|---|---|---|---|---|
| ||||||||||||||||||||||
| Allgemeines | ||||||||||||||||||||||
| Freiname | Mefenaminsäure | |||||||||||||||||||||
| Andere Namen | ||||||||||||||||||||||
| Summenformel | C15H15NO2 | |||||||||||||||||||||
| Kurzbeschreibung |
weißes bis fast weißes, mikrokristallines, polymorphes Pulver[1] | |||||||||||||||||||||
| Externe Identifikatoren/Datenbanken | ||||||||||||||||||||||
| ||||||||||||||||||||||
| Arzneistoffangaben | ||||||||||||||||||||||
| ATC-Code |
M01AG01 | |||||||||||||||||||||
| Wirkstoffklasse | ||||||||||||||||||||||
| Wirkmechanismus |
Prostaglandin-Synthesehemmer | |||||||||||||||||||||
| Eigenschaften | ||||||||||||||||||||||
| Molare Masse | 241,29 g·mol−1 | |||||||||||||||||||||
| Aggregatzustand |
fest | |||||||||||||||||||||
| Schmelzpunkt | ||||||||||||||||||||||
| pKS-Wert |
4,2[2] | |||||||||||||||||||||
| Löslichkeit |
praktisch unlöslich in Wasser (20 mg·l−1 bei 30 °C),[2] schwer löslich in Dichlormethan und Ethanol, löslich in verdünnten Alkalihydroxid-Lösungen[1] | |||||||||||||||||||||
| Sicherheitshinweise | ||||||||||||||||||||||
| ||||||||||||||||||||||
| Toxikologische Daten | ||||||||||||||||||||||
| Wenn nicht anders vermerkt, gelten die angegebenen Daten bei Standardbedingungen (0 °C, 1000 hPa). | ||||||||||||||||||||||
Mefenaminsäure ist ein nichtsteroidales Antirheumatikum. Es hemmt die Bildung von Prostaglandinen (Botenstoffen) und wirkt dadurch schmerzstillend, entzündungshemmend und fiebersenkend. Mefenaminsäure wird in der Leber abgebaut und die Ausscheidung erfolgt über Harn und Stuhl. Mefenaminsäure wurde 1961 von Parke-Davis patentiert. Im Gegensatz zu Österreich und der Schweiz, wo Mefenaminsäure häufig als schmerzstillendes Mittel eingesetzt wird, ist der Wirkstoff in Deutschland nicht mehr zugelassen.[5][6]
Darstellung und Gewinnung
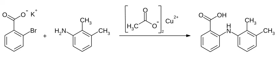
Die Synthese von Mefenaminsäure erfolgt durch die Kupplung von 2,3-Dimethylanilin mit dem Kaliumsalz der 2-Brombenzoesäure in Gegenwart von Kupferacetat.[4]
Eigenschaften
Mefenaminsäure gehört zur Gruppe der Anthranilsäurederivate, zu der auch die Flufenaminsäure, Tolfenaminsäure und Meclofenaminsäure gezählt werden. Anthranilsäurederivate werden auch als Fenamate bezeichnet. Die chemische Bezeichnung lautet 2-[(2,3-Dimethylphenyl)amino]-benzoesäure. Mefenaminsäure ist wie alle antipyretischen Antiphlogistika eine schwache Säure. Von der Verbindung sind zwei polymorphe Formen mit den Schmelzpunkten 227–230 °C (Form I) und 215–220 °C (Form II) bekannt.[7] Beide Formen bilden ein enantiotropes System mit einem Umwandlungspunkt bei 130±10 °C.[7] Unterhalb dieser Temperatur und somit bei Raumtemperatur ist Form II die thermodynamisch stabile Form und Form I metastabil. Oberhalb des Umwandlungspunktes kehrt sich das Verhältnis um, d. h., Form I wird zur stabilen und Form II zur metastabilen Form.
Anwendungsgebiete
Anwendungsgebiete sind akute und chronische Schmerzen bei rheumatischen Erkrankungen, Muskelschmerzen, Schmerzen im Bereich der Wirbelsäule (Bandscheibenbeschwerden), Schmerzen, Schwellung und Entzündung nach Verletzungen oder Operationen, Schmerzen bei primärer Dysmenorrhoe (Menstruationsschmerzen), zur Abschwächung von Menstruationsblutungen (Hypermenorrhoe). Während Schwangerschaft und Stillzeit sollte Mefenaminsäure laut Angaben von Pfizer nicht angewendet werden.[8]
Nebenwirkungen
Häufig: Durchfall (meist dosisabhängig, in diesem Fall sollte die Dosis reduziert werden), Übelkeit, Erbrechen, Bauchschmerzen.
Selten: Schläfrigkeit, Müdigkeit, Schwindel, Überempfindlichkeitsreaktionen der Haut und Atemwege, Nierenfunktionsstörungen, Sehstörungen, Ohrensausen.
Krämpfe können schon bei relativ geringer Dosis auftreten, sie verlaufen aber zumeist gutartig. Als Therapeutikum können in diesem Fall Benzodiazepine eingesetzt werden, etwa Diazepam (Valium).
Wechselwirkungen
Wechselwirkungen sind mit folgenden Substanzen bekannt: Antikoagulantien, Corticoide, Methotrexat, Lithium, Antidiabetika, Diuretika, Omeprazol.
Literatur
- Ernst Mutschler et al.: Mutschler – Arzneimittelwirkungen Lehrbuch der Pharmakologie und Toxikologie. 9. Auflage. Wissenschaftl. Verlagsgesellschaft, Stuttgart 2008, ISBN 978-3-8047-1952-1.
Handelsnamen
Ponstan (CH), Mephadolor (CH), Spiralgin (CH), Parkemed (A), Sportusal tabs (CH), zahlreiche Generika (A, CH) wie z. B. Mefenacid/Méfénacide (CH), Mefenam (A)
Weblinks
- Eintrag zu Mefenaminsäure bei Vetpharm, abgerufen am 3. Dezember 2011.
Einzelnachweise
- ↑ a b Europäische Arzneibuch-Kommission (Hrsg.): EUROPÄISCHE PHARMAKOPÖE 5. AUSGABE. Band 5.0–5.8, 2006.
- ↑ a b c d e Eintrag zu Mefenamic acid in der ChemIDplus-Datenbank der United States National Library of Medicine (NLM) (Seite nicht mehr abrufbar)
- ↑ a b Datenblatt Mefenamic acid bei Sigma-Aldrich, abgerufen am 9. April 2011 (PDF).
- ↑ a b c d A. Kleemann, J. Engel, B. Kutscher, D. Reichert: Pharmaceutical Substances – Synthesis, Patents, Applications, 4. Auflage (2001) Thieme-Verlag Stuttgart, ISBN 978-1-58890-031-9.
- ↑ Infomed: 100 wichtige Medikamente PWA, abgerufen am 28. Juli 2024
- ↑ Pfizer: Fachinformation - Parkemed, abgerufen am 28. Juli 2024
- ↑ a b Burger, A.; Ramberger, R.: Thermodynamische Beziehungen zwischen polymorphen Modifikationen: Flufenaminsäure und Mefenaminsäure in Mikrochim. Acta 73 (1980) 17–28, doi:10.1007/BF01197228.
- ↑ Fachinformation über Ponstan® im Arzneimittelkompendium®der Schweiz.
