Lugiato-Lefever-Gleichung

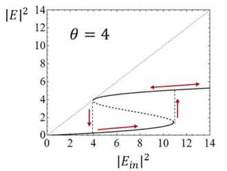
Abbildung 1. Stationärer Verlauf der normierten Ausgangsleistung in Abhängigkeit von der normierten Eingangsleistung für . Die stationären Zustände im negativen Steigungsabschnitt sind instabil. Die Pfeile zeigen den Hysteresezyklus, der durchlaufen wird, wenn vergrößert und anschließend verkleinert wird.

Die Lugiato-Lefever-Gleichung ist eine nichtlineare partielle Differentialgleichung, die in der nichtlinearen Optik verwendet wird, insbesondere zur Beschreibung der Lichtdynamik in optischen Resonatoren mit nichtlinearer Wechselwirkung und Dispersion. Sie wurde 1987 von Luigi Lugiato und Renzo Lefever eingeführt, die einen mit einem Medium mit nichtlinearem Brechungsindex gefüllten Hohlraum betrachteten, der aus vier Spiegeln besteht: Zwei orthogonal zur Längskoordinate im Abstand mit einem Transmissionskoeffizienten und zwei orthogonal zur Querkoordinate im Abstand mit einem Reflexionsgrad von 100 %. Ein kohärentes, stationäres, ebenes Wellenfeld wird in Längsrichtung in den Hohlraum eingespeist. Das elektrische Feld ist in Richtung linear polarisiert und hat die Struktur , wobei die Frequenz des Pumpfeldes und mit der positiven ganzen Zahl ist.

Mit den Größen:

Normierte zeitliche Variable;
Normierte räumliche Variable;
Hohlraumabklingrate oder Hohlraumlinienbreite;
Verstimmungsparameter des Hohlraums;
Die Frequenz am nächsten liegende Hohlraumfrequenz;
Die Nichtlinearität ist selbstfokussierend für oder selbstdefokussierend für .

erfüllt das vom System erzeugte Feld die nichtlineare partielle Differentialgleichung[1]:

 
 
 (1)
 

Auf der rechten Seite von Gleichung (1) ist die normierte Amplitude des in den Hohlraum injizierten Eingangsfeldes, der erste ist der Abklingterm, der dritte der kubisch nichtlineare Term, der das Kerr-Medium berücksichtigt, der vierte ist der Verstimmungsterm und der letzte Term beschreibt die Beugung in paraxialer Näherung mit als Parameter des transversalen Resonators.

Die Lugiato-Lefever-Gleichung behandelt die Dynamik der Lichtintensität in einem optischen Resonator mit Verlusten, Dispersion, nichtlinearen Wechselwirkungen wie dem Kerr-Effekt und einem externen Pumplaser. Sie kann unter Berücksichtigung der Langzeitdynamik in einem Resonator aus den Maxwell-Gleichungen abgeleitet werden.

Die Lugiato-Lefever-Gleichung (1) beschreibt nichtlineare optische Effekte in Mikroresonatoren und ist eng verwandt mit der nichtlinearen Schrödingergleichung. Sie beschreibt die spontane Musterbildung in nichtlinearen optischen Systemen.[2][3][4] Die Muster entstehen durch die Wechselwirkung eines kohärenten Feldes, das in einen resonanten optischen Resonator eingespeist wird, mit einem Kerr-Medium, das den Resonator ausfüllt.

Für den Fall der stationären Lösung der elektrischen Feldstärke aus (1), die unabhängig von der Ortsvariablen ist, erhält man die stationäre Gleichung:

 
 
 (2)
 

Für ist die stationäre Gleichung für als Funktion von einwertig, während für die Kurve mehrwertig wird, was zu bistabilem Verhalten führt, wie in Abbildung 1 dargestellt.[5]

Herleitung der Lugiato-Lefever-Gleichung

Die numerische Modellierung von Lasern und den meisten nichtlinearen optischen Systemen basiert auf den Maxwell-Bloch-Gleichungen (MBE). Dieser vollständige Satz von partiellen Differentialgleichungen enthält die Maxwell-Gleichungen für das elektromagnetische Feld und die semiklassischen Gleichungen für Zwei- (oder Mehr-) Niveau-Atome. Zur Beschreibung wurden seit Beginn des Laserzeitalters vereinfachte theoretische Ansätze zur numerischen Simulation der Entstehung und Ausbreitung von Laserstrahlen entwickelt.[6]

Um die Ausbreitung elektromagnetischer Wellen in einem nichtlinearen Medium zu verstehen, betrachtet man zunächst die allgemeine Form der Wellengleichung mit nichtlinearer Polarisation als Quelle:[7]

Von den Maxwell-Gleichungen zur Wellenausbreitung in nichtlinearen Medien


Dieser Abschnitt zeigt, wie eine gegebene atomare Polarisation ein Strahlungsfeld erzeugt. Dabei wird von den Maxwell-Gleichungen ausgegangen und die Slowly Varying Envelope Approximation angewendet. Welche Art von elektromagnetischen Wellen kann es in einem dielektrischen Material geben, in dem es keine zusätzlichen Ladungen außer den in den Atomen gebundenen gibt? Dazu wählt man und . Die Maxwell-Gleichungen und sind dann:[8]

Wirkt die Rotation auf die Maxwell-Gleichung (c)

unter Berücksichtigung der Vektoridentität und der Maxwell-Gleichung (b) , so gilt

Mit der Maxwell-Gleichung a) ergibt sich[8]

Für den Grenzfall ebener Wellen kann man vernachlässigen[9] und die Polarisation in ihre linearen und nichtlinearen Anteile zerlegen: mit . Es folgt damit die Gleichung der Ausbreitung einer Wellen in einem dielektrischen Medium

Für eine Komponente von und ergibt sich die gesuchte Gleichung für die Wellenausbreitung in einem nichtlinearen Medium.

 
 
 (3)
 

wobei das elektrische Feld ist. Die Slowly Varying Envelope Approximation (Approximation langsam veränderlicher Hüllkurven) dieser Gleichung führt zur parabolischen Wellengleichung.

Mit nahezu ebenen Wellen langsam veränderlicher Amplitude zur Wellengleichung

Für eine ebene Welle in Richtung mit der Amplitude in Richtung gilt

Mit der realistischen Annahme, dass sich die Amplituden nur langsam im Vergleich zur Wellenlänge ändern, kann die Slowly Varying Envelope Approximation angewendet werden:[10]

Auch die zeitlichen Veränderungen sind langsam im Vergleich zur Kreisfrequenz

und es kann gesetzt werden. Die Wellengleichung im dielektrischen Medium (3) lautet dann:

Mit vereinfacht sich die obige Gleichung auf

und man erhält die Wellengleichung für die komplexe Hüllenkurve[11] des elektrischen Feldes und der Polarisation :

.
,

unter den Bedingungen:

, und .
Optische Bloch-Gleichungen beschreiben die Wechselwirkung von Zweiniveau-Atomen

Die optischen Bloch-Gleichungen beschreiben, wie ein gegebenes elektrisches Feld ein System von Atomen mit zwei Niveaus antreibt. Dazu betrachtet man die zeitliche Entwicklung des Dichteoperators eines Zweiniveau-Atoms an der Position . Der Dichteoperator liefert alle Informationen über den Zustand des Atoms und ermöglicht die Berechnung des Mittelwerts einer beliebigen Beobachtungsgröße :

Sp ist die Spur-Operation, z. B. in . Der statistische Operator ist hermitesch , mit für jeden Vektor positiv definit und er hat die Einheitsspur . Wenn das System in einem reinen Zustand ist, so dass ist, gilt auch . Die Dichtematrix hat im zweidimensionalen Hilbert-Raums die Form:

Bezüglich der nichtdiagonalen Elemente der Matrix ist zu beachten, dass die Wechselwirkung eines elektrischen Dipolmoments mit einem elektrischen Feld durch[12]

beschrieben wird, und damit gilt:[13]

Diese Elemente sind mit dem elektrischen Dipolmoment verbunden, d. h. mit der mikroskopischen Polarisation des Materials. Bei Atomen pro Volumeneinheit, die alle in die gleiche Richtung orientiert sind, ist die makroskopische atomare Polarisation pro Volumeneinheit gegeben durch

Der Zeitverlauf des Dichteoperators wird mit der Von-Neumann-Gleichung beschrieben

oder in Indexschreibweise

Da und genügt es, sich auf die dynamische Entwicklung der Matrixelemente und zu konzentrieren:

In der Dipolapproximation lautet der Hamilton-Operator , der die Wechselwirkung des Elektrons mit einem äußeren elektrischen Feld in einem Zweiniveau-Atom beschreibt:[12]

Der Zeitverlauf des Dichteoperators beträgt damit

Die Ortsabhängigkeit der Matrixelemente und kommt von . Unter der Annahme, dass das elektrische Feld eine monochromatische ebene Welle in Richtung mit Polarisationsrichtung senkrecht zu ist, mit einer Frequenz gleich oder nahe der Frequenz des Atomübergangs , gilt:

wobei c.c. für komplex konjugiert steht und der Wellenvektor ist. ist eine Hüllkurve, die sich in Raum und Zeit viel langsamer verändert als die Trägerwelle . Unter der Einwirkung des elektrischen Feldes kann die Rabi-Frequenz wie folgt geschrieben werden

Da die Polarisation durch das elektrische Feld erzeugt wird, kann angenommen werden, dass die elementaren Dipole parallel zum Feld ausgerichtet sind: und damit wird . Die Ortsabhängigkeit von bestimmt über die Wechselwirkung im Hamilton-Operator

und damit das Nichtdiagonalelement . Die makroskopische Polarisation wird durch Einsetzen von erhalten. Mit der Polarisation von oben gilt:

Wenn man die Besetzungsinversion pro Volumen

setzt und mit in die Gleichung für einsetzt, erhält man die Entwicklung für

Ebenso ergibt sich die Zeitentwicklung von indem man und in die Gleichung für oben einsetzt

Mit der rotating wave approximation kann man die schnell veränderlichen Terme vernachlässigen und erhält die optischen Bloch-Gleichungen:[13]

mit der atomaren Verstimmung .

Man muss den irreversiblen Zerfall der atomaren Polarisation berücksichtigen, indem man bei der Gleichung für und bei hinzufügt.[14] Das ergibt die Bloch-Gleichungen bei irreversiblen Prozessen:[15]

Mit neuen Parametern

schreibt man mit die Gleichung oben für :

Die Gleichung oben für wird dann zu:

mit .

 
 
 (4)
 
 
 
 (5)
 

Diese Zeitabhängigkeiten findet man als Gleichungen (3.2) und (3.3) bei Lugiato.[5]

Die Wellengleichung beschreibt das elektrische Feld in einem Resonator

Im Einmodenmodell eines Fabry-Pérot-Resonators (oder auch Ringresonator), der ein homogen verbreitertes System von Zweiniveau-Atomen enthält, sollen die Spiegel hoch reflektierend sein, um die Näherung niedriger Transparenz () anwenden zu können. Im Interferometer der Länge bildet sich eine stehende Welle aus, da ein ganzzahliges Vielfaches der halben Wellenlänge in den Resonator passt. Der freie Spektralbereich[16]

ist die Wellenlängendifferenz , bei der sich die Interferenzstreifen -ter Ordnung bei der Wellenlänge und -ter Ordnung bei der Wellenlänge überlagern. Sie soll viel größer sein als die atomare Linienbreite . Damit gibt es nur einen Resonanzmodus und ist unabhängig von , d. h. und . Bei optischer Bistabilität ist kein Pumpvorgang notwendig. Stattdessen wird ein kohärentes Feld in den Resonator injiziert. Sowohl das Eingangsfeld als auch das innere Hohlraumfeld lassen sich durch ebene Wellen darstellen, so dass sich die Hüllkurven sowohl von als auch von und nur langsam ändern. Damit lautet die Wellengleichung im Fabry-Pérot-Resonator mit kohärentem Feld im Hohlraum (dies ist die Gleichung (3.1) bei Lugiato[5])

Die optische Wellengleichung (3) lautet zusammen mit den optischen Bloch-Gleichungen (4) und (5) (siehe (3.1), (3.2) und (3.3) bei Lugiato[5]):

Dieses Gleichungssystem ist nichtlinear!

 
 
 (6)
 

Dies ist die Gleichung (3.1) bei Lugiato[5]

Lugiato-Lefever-Gleichung für rein passive Bistabilität

und sind die komplexen Hüllkurven des elektrischen Feldes und der Polarisation. und erfüllen die komplex konjugierte Version von den Gleichungen (5) und (6). Der Parameter ist nach Lugiato[5] definiert als

mit dem Transmissionskoeffizienten , dem Absorptionskoeffizienten eines Resonators der Länge und als Besetzungsinversion pro Atom. Bei optischer Bistabilität ist der Bistabilitätsparameter. Die Dämpfungskonstante des Resonators bzw. die Linienbreite des Resonators ist definiert als (Lichtgeschwindigkeit )

Die atomaren Relaxationsraten sind und . Der Resonator und der atomare Verstimmungsparameter sind definiert als

wobei die Resonatorfrequenz und die atomare Übergangsfrequenz ist. Für einen guten Resonator mit vernachlässigbarer Dämpfungskonstante

verschwinden die Zeitableitungen in (4) und (5). Für die Polarisation gilt

und für die reelle Besetzungsinversion ():

Mit obiger Polarisation ergibt sich

Bei rein dispersiver Bistabilität befinden sich fast alle Atome im untersten Niveau, so dass in guter Näherung gesetzt werden kann. Die Größe ist proportional zum intensitätsabhängigen Anteil der Brechzahl des Mediums.

Mit

Ohne den Absorptionsterm geht man in die Gleichung (6) des elektrischen Feldes rein und erhält

und somit

Mit und bekommt man

Im stationären Zustand für gilt der Zusammenhang zwischen den elektrischen Feldern

und der Eingangsintensität und der Ausgangsintensität :

Um die Anzahl der Parameter in der Berechnung zu minimieren, ist es üblich, die Variablen zu skalieren:

mit dem Vorzeichen des atomaren Verstimmungsparameters

Mit den neuen Variablen lautet die obige Gleichung des elektrischen Feldes:

Die stationäre Zustandsgleichung der Intensität nimmt die Form an:

Dieses Modell beschreibt die reine passive Bistabilität der Gleichung (2).

Transversale Lugiato-Lefever-Gleichung

Abbildung 2. Ein Lichtstrahl breitet sich entlang der -Richtung aus. und sind die Transversalrichtungen
Abbildung 3 Draufsicht auf den Ringwellenleiter

Die gleiche Lugiato-Lefever-Gleichung gilt für zwei Arten von Mustern: stationäre Muster, die sich in Ebenen senkrecht zur Ausbreitungsrichtung des Lichts ausbilden (transversale Muster), und Muster, die sich in Längsrichtung ausbilden (longitudinale Muster), sich mit Lichtgeschwindigkeit im Medium entlang des Resonators bewegen und am Ausgang des Resonators eine Folge von Impulsen erzeugen.

Der Fall der longitudinalen Muster steht in engem Zusammenhang mit dem Phänomen des Kerr-Frequenzkamms in Mikroresonatoren, das 2007 von Tobias Kippenberg und Mitarbeitern entdeckt wurde,[17] und das vor allem wegen der damit eröffneten Anwendungsmöglichkeiten auf großes Interesse gestoßen ist. Abbildung 2 zeigt einen Lichtstrahl, der sich in Richtung ausbreitet, wobei und die Querrichtungen sind. Geht man davon aus, dass das elektrische Feld , wobei die Zeit bezeichnet, linear polarisiert ist und daher als Skalar behandelt werden kann, so lässt es sich durch die langsam veränderliche normierte komplexe Hülle wie folgt ausdrücken

wobei die Frequenz des in den Hohlraum eingekoppelten Lichtstrahls und die Lichtgeschwindigkeit in dem den Hohlraum ausfüllenden Kerr-Medium ist. Zur Veranschaulichung betrachtet man einen ringförmigen Hohlraum (Abbildung 3) mit einem sehr hohen Q-Wert.

In der ursprünglichen Lugiato-Lefever-Gleichung[1] wird angenommen, dass die Hüllkurve unabhängig von der Längsvariablen (d. h. gleichmäßig entlang des Hohlraums) ist, so dass ist, und Gleichung (1) lautet:

mit den Größen , , , , und von oben.

Longitudinale Lugiato-Lefever-Gleichung

Neben der transversalen Lugiato-Lefever-Gleichung (1) wurde einige Jahre später[1] die longitudinale Lugiato-Lefever-Gleichung formuliert, bei der die Beugung durch die Dispersion ersetzt wird[18][19]. In diesem Fall wird angenommen, dass die Einhüllende unabhängig von den transversalen Variablen und ist, so dass gilt. Die longitudinale Lugiato-Lefever-Gleichung lautet

 
 
 (7)
 

mit , wobei insbesondere vom Dispersionsparameter zweiter Ordnung abhängt. Es werden anomale Dispersionsbedingungen angenommen. Ein wichtiger Punkt ist, dass, sobald man durch Lösen von Gleichung (7) erhalten hat, muss man zu den ursprünglichen Variablen zurückkehren und durch ersetzen, so dass aus einer -abhängigen stationären Lösung (stationäres Muster) ein wanderndes Muster (mit der Geschwindigkeit ) wird.

Die transversale Lugiato-Lefever-Gleichung (1) ist aus räumlicher Sicht zweidimensional. In einer Wellenleiterkonfiguration hängt nur von einer räumlichen Variablen ab, z. B. , und der transversale Laplace-Operator wird durch ersetzt, und man erhält die eindimensionale transversale Lugiato-Lefever-Gleichung. Die longitudinale Lugiato-Lefever-Gleichung (7) ist äquivalent zur transversalen Lugiato-Lefever-Gleichung in einer Dimension.

Einheitliche stationäre Lösungen. Zusammenhang mit optischer Bistabilität. Vier-Wellen-Mischung und Musterbildung.

Für den Fall der konstanten Einhüllenden , d. h. für stationäre Lösungen, die von allen Raumvariablen unabhängig sind, lässt man alle Ableitungen in den Gleichungen (1) und (7) weg und bildet das Betragsquadrat, so erhält man die stationäre Gleichung

Zeichnet man die stationäre Kurve von in Abhängigkeit von , so erhält man für eine Kurve wie in Abbildung 1 dargestellt.

Die Kurve ist -förmig und es gibt ein Werteintervall von , in dem man drei stationäre Zustände hat. Die Zustände, die in dem Segment mit negativer Steigung liegen, sind jedoch instabil, so dass in dem Intervall zwei stabile stationäre Zustände koexistieren: Dieses Phänomen wird optische Bistabilität genannt.[20] Wird die Eingangsintensität erhöht und wieder verringert, so durchläuft man einen Hysteresezyklus.

Bezogen auf die Moden des leeren Resonators ist das elektrische Feld im Fall der stationären Gleichgewichtslösungen nach Gleichung (2) einmodenförmig, entsprechend der Mode der Frequenz , die mit der Eingangsfrequenz quasi-resonant ist.

In der transversalen Konfiguration von Gleichung (1) entspricht bei diesen stationären Lösungen einer ebenen Einmodenwelle mit , wobei und die Transversalkomponenten des Wellenvektors sind, ebenso wie das Eingangsfeld .

Die kubische Kerr-Nichtlinearität der Gleichungen (1) und (7) führt zu einer Vier-Wellen-Mischung, die andere Moden erzeugen kann, so dass die Einhüllende ein räumliches Muster aufweist: im Fall von Gleichung (1) in der transversalen Ebene, im Fall von Gleichung (7) entlang des Hohlraums.

Transversale Muster und Wellenleiter-Solitonen

Im transversalen Fall von Gleichung (1) ergibt sich das Muster aus dem Zusammenspiel von Vier-Wellen-Mischung und Beugung. Die Vier-Wellen-Mischung kann beispielsweise zu Prozessen führen, bei denen Photonenpaare mit absorbiert werden und das System gleichzeitig Photonenpaare mit emittiert, und , emittiert, so dass die Gesamtenergie der Photonen und ihr Gesamtimpuls erhalten bleiben (Abbildung 4).

Abbildung 4. Ein Vier-Wellen-Mischprozess, bei dem zwei Photonen mit absorbiert und zwei Photonen mit und emittiert werden. , und sind die Komponenten der Wellenvektoren.

Tatsächlich kommen weitere Vier-Wellen-Mischprozesse ins Spiel, so dass die Konfiguration eines hexagonalen Musters[21] (siehe Abbildung 5) annimmt.

Abbildung 5. Eine typische Musterkonfiguration, die in den Querebenen der Ausgabe entsteht, ist ein sechseckiges Muster.

Ein Muster zeigt eine geordnete Anordnung von Intensitätsspitzen. Es ist auch möglich, isolierte Intensitätsspitzen zu erzeugen,[22] die als Wellenleiter-Solitonen bezeichnet werden (siehe Abbildung 6). Da Wellenleiter-Solitonen in der Transversalebene wie auf einer Tafel einzeln geschrieben und gelöscht werden können, sind sie für Anwendungen in der optischen Informationsverarbeitung und Telekommunikation von großem Interesse.

Abbildung 6. Ein typisches Kerr-Wellenleiter-Soliton in der Transversalebene, das einen hellen Peak im dunklen Hintergrund mit Beugungsringen zeigt.

Längsmuster und Wellenleiter-Solitonen

Im longitudinalen Fall von Gleichung (7) entstehen die Muster durch das Zusammenwirken von Vier-Wellen-Mischung und Dispersion. Die Vier-Wellen-Mischung kann beispielsweise zu Vorgängen führen, bei denen Photonenpaare der longitudinalen Mode, die mit quasiresonant ist, absorbiert werden und das System gleichzeitig Photonenpaare emittiert, die den Wellenleitermoden entsprechen, die symmetrisch neben der quasiresonanten Mode liegen, so dass die gesamte Photonenenergie und der gesamte longitudinale Photonenimpuls erhalten bleiben.

Abbildung 7. Beispiel für ein longitudinales Muster, das sich mit der Lichtgeschwindigkeit im Medium entlang des Wellenleiters ausbreitet und am Ausgang eine periodische Folge von Impulsen hervorruft.

Abbildung 7 zeigt ein Beispiel für die erzeugten Muster, die sich entlang des Wellenleiters und aus dem Wellenleiter heraus bewegen. Wie im transversalen Fall können auch in der longitudinalen Konfiguration einzelne oder mehrere Kerr-Wellenleiter-Solitonen erzeugt werden; Abbildung 8 zeigt den Fall eines einzelnen Wellenleiter-Solitons, das im Wellenleiter zirkuliert und am Ausgang eine Folge von schmalen Pulsen erzeugt. Solche Solitonen wurden erstmals in einer optischen Standard-Silikatfaser beobachtet.[23]

Abbildung 8. Kerr-Wellenleiter-Solitonen in Längsrichtung.

Es ist wichtig zu beachten, dass die Instabilität, die durch longitudinale Muster und Wellenleiter-Solitonen in der Lugiato-Lefever-Gleichung verursacht wird, ein Spezialfall der Multimode-Instabilität der optischen Bistabilität ist, die von Bonifacio und Lugiato[24] vorhergesagt und von Segard[25] erstmals experimentell beobachtet wurde.

Mikroresonator-Kerr-Frequenzkämme und Wellenleiter-Solitonen

Optische Frequenzkämme bilden eine äquidistante Reihe von Laserfrequenzen, die zur Zählung von Lichtzyklen verwendet werden können. Diese Technik, die von Theodor Hänsch[26] und John Hall[27] mit Hilfe von modengekoppelten Lasern eingeführt wurde, hat zu einer Vielzahl von Anwendungen geführt. In der Arbeit von Del'Haye[17] wurde die Realisierung breitbandiger optischer Frequenzkämme unter Ausnutzung von Flüstergaleriemoden demonstriert, die durch ein CW-Laserfeld aktiviert werden, das in einen mit einem Kerr-Medium gefüllten Mikroresonator mit hohem Q-Wert injiziert wird, was zu einer Vier-Wellen-Mischung führt. Seitdem wurden Kerr-Frequenzkämme mit Bandbreiten von mehr als einer Oktave und Repetitionsraten im Mikrowellen- bis THz-Bereich in einer Vielzahl von Mikroresonatoren erzeugt; für Übersichtsarbeiten zu diesem Thema siehe z. B.[28][29] Sie bieten ein erhebliches Potenzial für die Miniaturisierung und photonische Integration auf Chip-Ebene sowie für die Leistungsreduktion. Heute ist die Kerr-Frequenzkamm-Erzeugung ein ausgereiftes Gebiet, und die Technologie wird in verschiedenen Bereichen eingesetzt, darunter kohärente Telekommunikation, Spektroskopie, Atomuhren sowie Laser-Entfernungsmessung und Kalibrierung astrophysikalischer Spektrometer, Mikroresonator-Kerr-Frequenzkämme und Wellenleiter-Solitonen.

Ein wichtiger Impuls für diese Entwicklungen war die Realisierung von Kerr-Hohlraumsolitonen in Mikroresonatoren[30], die die Möglichkeit eröffnet, Kerr-Hohlraumsolitonen in photonisch integrierten Mikroresonatoren zu nutzen.

Die longitudinale Lugiato-Lefever-Gleichung (7) liefert ein raum-zeitliches Bild der beteiligten Phänomene, aber aus spektraler Sicht entsprechen ihre Lösungen den Kerr-Frequenzkämmen. Die Verbindung zwischen den optischen Kerr-Frequenzkämmen und der Lugiato-Lefever-Gleichung wurde theoretisch entwickelt in.[30][31][32][33][34] Die Autoren zeigten, dass die Lugiato-Lefever-Gleichung (oder Verallgemeinerungen, die Dispersionsterme höherer Ordnung enthalten) das Modell ist, das die Erzeugung von Kerr-Frequenzkämmen beschreibt und in der Lage ist, deren Eigenschaften vorherzusagen, wenn die Systemparameter variiert werden. Die spontane Bildung von räumlichen Mustern und Solitonen, die sich entlang des durch die Lugiato-Lefever-Gleichung beschriebenen Hohlraums bewegen, ist das raum-zeitliche Äquivalent der Frequenzkämme und bestimmt deren Eigenschaften. Die eher idealisierten Bedingungen, die bei der Formulierung der Lugiato-Lefever-Gleichung angenommen wurden, insbesondere die Bedingung der hohen Güte, sind durch die spektakulären technologischen Fortschritte, die in der Zwischenzeit auf dem Gebiet der Photonik stattgefunden haben und die insbesondere zur Entdeckung der Kerr-Frequenzkämme geführt haben, perfekt umgesetzt worden.

Quantenaspekte

Die beiden Photonen, die, wie in Abbildung 4 gezeigt, beim Vier-Wellen-Mischprozess in symmetrisch gekippten Richtungen emittiert werden, befinden sich in einem Zustand der Quantenverschränkung: Sie sind exakt korreliert, z. B. in Energie und Impuls. Diese Tatsache ist von grundlegender Bedeutung für die Quantenaspekte optischer Muster. Beispielsweise ist die Differenz der Intensitäten zweier symmetrischer Strahlen gequetscht, d. h. sie zeigt Fluktuationen unterhalb des Schrotrauschens;[35] das longitudinale Analogon dieses Phänomens wurde experimentell in Kerr-Frequenzkämmen beobachtet.[36] Solche Quantenaspekte sind wiederum grundlegend für das Gebiet der Quantenbildgebung als neues Gebiet der Quantenoptik.[37][38]

Literatur

  • L.A. Lugiato, F. Prati, M. Brambilla: Nonlinear Optical Systems. Cambridge University Press, 2015, ISBN 978-1-107-47725-4, Chapter 28: The Lugiato Lefever Model, doi:10.1017/CBO9781107477254.032 (englisch).
  • F. Castelli, M. Brambilla, M. Gatti, F. Prati, L.A. Lugiato: The LLE, pattern formation and a novel coherent source. In: The European Physical Journal D. 71. Jahrgang, Nr. 4, 2017, S. 84, doi:10.1140/epjd/e2017-70754-1, bibcode:2017EPJD...71...84C (englisch, unimi.it [PDF]).
  • L.A. Lugiato, F. Prati, M.L. Gorodetsky, T.J. Kippenberg: From the LLE to microresonator based soliton Kerr frequency combs. In: Philosophical Transactions of the Royal Society of London A. (englisch).

Siehe auch

Einzelnachweise

  1. a b c L.A. Lugiato, R. Lefever: Spatial Dissipative Structures in Passive Optical Systems. In: Physical Review Letters. 58. Jahrgang, Nr. 21, 1987, S. 2209–2211, doi:10.1103/PhysRevLett.58.2209, PMID 10034681, bibcode:1987PhRvL..58.2209L (englisch).
  2. A.M.. Turing: The chemical basis of morphogenesis. In: Philosophical Transactions of the Royal Society of London B: Biological Sciences. 237. Jahrgang, Nr. 641, 1952, S. 37–72, doi:10.1098/rstb.1952.0012, bibcode:1952RSPTB.237...37T (englisch).
  3. G. Nicolis, I. Prigogine: Self-organization in nonequilibrium systems. From dissipative structures to order through fluctuations. Wiley, New York, 1977, ISBN 978-0-471-02401-9 (englisch).
  4. H. Haken: Self-organization in nonequilibrium systems. From dissipative structures to order through fluctuations. Springer Verlag, Berlin 1983, ISBN 978-3-642-88338-5 (englisch).
  5. a b c d e f Robert Graham, Arne Wunderlin: Lasers and synergetics - a Colloquium on Coherence and Self Organization in Nature. Springer, Berlin; Heidelberg; New York; London; Paris; Tokyo, 1987, ISBN 3-540-17940-2, S. 53–71 (englisch).
  6. Anthony E. Siegman: Lasers. 1. Auflage. University Science Books, Mill Valley 1986, ISBN 0-935702-11-3, S. 2.
  7. P G Kryukov, V S Letokhov: Propagation of a Light pulse in a Resonantly amplifying (absorbing) medium. In: Sov. Phys. Usp. 12. Jahrgang, Nr. 5, 1970, S. 641–672, doi:10.1070/PU1970v012n05ABEH003957 (englisch, ufn.ru).
  8. a b The Feynman Lectures on Physics, Volume II - Waves in a dielectric
  9. Dieter Meschede: Optik, Licht und Laser. 3. Auflage. Vieweg + Teubner, Wiesbaden 2008, ISBN 978-3-8351-0143-2, S. 501.
  10. Dieter Meschede: Optik, Licht und Laser. 3. Auflage. Vieweg + Teubner, Wiesbaden 2008, ISBN 978-3-8351-0143-2, S. 502.
  11. Nonlinear Optical Systems, vgl. Kapitel 3: The Maxwell-Bloch equations, Gleichung (3.30).
  12. a b Luigi Lugiato, Franco Prati, Massimo Brambilla: Nonlinear Optical Systems. Cambridge University Press, 2015, ISBN 978-1-107-06267-2, 2.2 The two-level atom and its analogy with spin 1/2.
  13. a b Luigi Lugiato, Franco Prati, Massimo Brambilla: Nonlinear Optical Systems. Cambridge University Press, 2015, ISBN 978-1-107-06267-2, 2.3 The rotating-wave approximation. Optical Bloch equations.
  14. Luigi Lugiato, Franco Prati, Massimo Brambilla: Nonlinear Optical Systems. Cambridge University Press, 2015, ISBN 978-1-107-06267-2, 4. Inclusion of the irreversible processes in the atomic equations.
  15. Luigi Lugiato, Franco Prati, Massimo Brambilla: Nonlinear Optical Systems. Cambridge University Press, 2015, ISBN 978-1-107-06267-2, 4.3 Damped Rabi oscillations and the approach to a stationary state.
  16. Dieter Meschede: Optik, Licht und Laser. 3. Auflage. Vieweg + Teubner, Wiesbaden 2008, ISBN 978-3-8351-0143-2, S. 201.
  17. a b P. Del’Haye, A. Schliesser, O. Arcizet, T. Wilken, R. Holzwarth, T.J. Kippenberg: Optical frequency comb generation from a monolithic microresonator. In: Nature. 450. Jahrgang, Nr. 7173, 2007, S. 1214–1217, doi:10.1038/nature06401, PMID 18097405, arxiv:0708.0611, bibcode:2007Natur.450.1214D (englisch).
  18. M. Haelterman, S. Trillo, S. Wabnitz: Dissipative modulation instability in a nonlinear dispersive ring cavity. In: Optics Communications. 91. Jahrgang, Nr. 5–6, 1992, S. 401–407, doi:10.1016/0030-4018(92)90367-Z, bibcode:1992OptCo..91..401H (englisch).
  19. M. Brambilla, F. Castelli, A. Gatti, L.A. Lugiato, F. Prati: Instabilities and quantum-noise reduction in nonlinear-optical mixing. In: SUSSP Proceedings. 41. Jahrgang, 1993, S. 115–136 (englisch).
  20. H.M. Gibbs: Optical bistability: controlling light by light. Academic Press, Inc., Orlando, Florida, 1985, ISBN 978-0-12-281940-7 (englisch).
  21. D. Gomila, A. Jacobo, M.A. Matias, P. Colet: Phase-space structure of two-dimensional excitable localized structures. In: Physical Review E. 75. Jahrgang, Nr. 2, 2007, S. 026217, doi:10.1103/PhysRevE.75.026217, PMID 17358415, arxiv:nlin/0703011, bibcode:2007PhRvE..75b6217G (englisch, csic.es [PDF]).
  22. A.J. Scroggie, W.J. Firth, G.S. McDonald s, M. Tlidi, L.A. Lugiato, R. Lefever: Pattern formation in a passive Kerr cavity. In: Chaos, Solitons and Fractals. 4. Jahrgang, Nr. 8–9, 1994, S. 1323–1354, doi:10.1016/0960-0779(94)90084-1, bibcode:1994CSF.....4.1323S (englisch).
  23. F. Leo, S. Coen, P. Kockaert, S.P. Gorza, P. Emplit, M. Haelterman: Temporal cavity solitons in one-dimensional Kerr media as bits in an all-optical buffer. In: Nature Photonics. 4. Jahrgang, Nr. 7, 2010, S. 471–476, doi:10.1038/nphoton.2010.120, bibcode:2010NaPho...4..471L (englisch).
  24. R. Bonifacio, L.A. Lugiato: Instabilities for a coherently driven absorber in a ring cavity. In: Lettere al Nuovo Cimento. 21. Jahrgang, Nr. 15, 1978, S. 510–516, doi:10.1007/bf02763162 (englisch).
  25. B. Segard, B. Macke: Self-pulsing in intrinsic optical bistability with two-level molecules. In: Physical Review Letters. 60. Jahrgang, Nr. 5, 1988, S. 412–415, doi:10.1103/PhysRevLett.60.412, PMID 10038540, bibcode:1988PhRvL..60..412S (englisch).
  26. T. Udem, R. Holzwarth, T.W. Hänsch t: Optical frequency metrology. In: Nature. 416. Jahrgang, Nr. 6877, 2002, S. 233–237, doi:10.1038/416233a, PMID 11894107, bibcode:2002Natur.416..233U (englisch).
  27. D.J. Jones, S.A. Diddams, J.K. Ranka, A. Stentz, R.S. Windeler, J.L. Hall, S.T. Curdiff: Carrier-envelope phase control of femtosecond mode-locked lasers and direct optical frequency synthesis. In: Science. 288. Jahrgang, Nr. 5466, 2000, S. 635–639, doi:10.1126/science.288.5466.635, PMID 10784441, bibcode:2000Sci...288..635J (englisch, colorado.edu).
  28. T. Herr, M.L. Gorodetsky, T.J. Kippenberg: Nonlinear Optical Cavity Dynamics: From Microresonators to Fiber Lasers. Hrsg.: Philippe Grelu. Wiley-VCH Verlag GmbH, 2015, ISBN 978-3-527-41332-4, Chap. 6: Dissipative Kerr Solitons in Optical Microresonators, S. 129–162, doi:10.1002/9783527686476.ch6, arxiv:1508.04989 (englisch).
  29. Y.K. Chembo: Kerr optical frequency combs: theory, applications and perspectives. In: Nanophotonics. 5. Jahrgang, Nr. 2, 2016, S. 214–230, doi:10.1515/nanoph-2016-0013, bibcode:2016Nanop...5...13C (englisch).
  30. a b T. Herr, V. Brasch, J.D. Jost, C.Y. Wang, N.M. Kondratiev, M.L. Gorodetsky, T.J. Kippenberg: Temporal solitons in optical microresonators. In: Nature Photonics. 8. Jahrgang, Nr. 2, 2014, S. 145–152, doi:10.1038/nphoton.2013.343, arxiv:1211.0733, bibcode:2014NaPho...8..145H (englisch).
  31. A.B. Matsko, A.A. Savchenkov, W. Liang, V.S. Ilchenko, D. Seidel, L. Maleki: Mode-locked Kerr frequency combs. In: Optics Letters. 36. Jahrgang, Nr. 15, 2011, S. 2845–7, doi:10.1364/OL.36.002845, PMID 21808332, bibcode:2011OptL...36.2845M (englisch).
  32. T. Herr, V. Brasch, M.L. Gorodetsky, T.J. Kippenberg: Soliton mode-locking in optical microresonators. In: 2013 Conference on Lasers and Electro-Optics - International Quantum Electronics Conferenc. 2013, S. ID_P_4 (englisch, optica.org).
  33. Y.K. Chembo, C.R. Menyuk: Spatiotemporal Lugiato-Lefever formalism for Kerr-comb generation in whispering-gallery-mode resonators. In: Physical Review A. 87. Jahrgang, Nr. 5, 2013, S. 053852, doi:10.1103/PhysRevA.87.053852, arxiv:1210.8210, bibcode:2013PhRvA..87e3852C (englisch).
  34. S. Coen, H.G. Randle, T. Sylvestre, M. Erkintalo: Modeling of octave spanning Kerr frequency combs using a generalized mean-field Lugiato Lefever model. In: Optics Letters. 38. Jahrgang, Nr. 1, 2013, S. 37–39, doi:10.1364/OL.38.000037, PMID 23282830, arxiv:1211.1697, bibcode:2013OptL...38...37C (englisch).
  35. L.A. Lugiato, F. Castelli: Quantum noise-reduction in a spatial dissipative structure. In: Physical Review Letters. 68. Jahrgang, Nr. 22, 1992, S. 3284–3286, doi:10.1103/PhysRevLett.68.3284, PMID 10045663, bibcode:1992PhRvL..68.3284L (englisch).
  36. A. Dutt, K. Luke, S. Manipatruni, A.L. Gaeta, P. Nussenzveig, M. Lipson: On-chip optical squeezing. In: Physical Review Applied. 3. Jahrgang, Nr. 4, 2015, S. 044005, doi:10.1103/PhysRevApplied.3.044005, arxiv:1309.6371, bibcode:2015PhRvP...3d4005D (englisch).
  37. A. Gatti, E. Brambilla, L.A. Lugiato: Quantum Imaging. Hrsg.: E. Wolf (= Progress in Optics. Band LI). 2008, ISBN 978-0-444-53211-4, S. 251–348, doi:10.1016/S0079-6638(07)51005-X (englisch).
  38. M.I. Kolobov: The spatial behavior of nonclassical light. In: Reviews of Modern Physics. 71. Jahrgang, Nr. 5, 1999, S. 1539–1589, doi:10.1103/RevModPhys.71.1539, bibcode:1999RvMP...71.1539K (englisch).