Lactole
| Lactole |
|
| Allgemeine Struktur von Lactolen: links die Form von Halbacetalen, rechts von Halbketalen. Die cyclische Halbacetalstruktur ist blau markiert. |
Lactole sind nach IUPAC cyclische Halbacetale, wobei nach IUPAC unter Halbacetalen auch Halbketale verstanden werden.[1] Lactole sind daher intramolekulare Additionsprodukte einer Hydroxygruppe an eine Aldehyd- oder Ketogruppe.
Sie sind vor allem bei den Kohlenhydraten (Sacchariden) von Bedeutung. Dies sind etwa Monosaccharide wie Aldosen und Ketosen. Dabei bilden sich entsprechend der Ringgröße Furanosen (Fünfringe) bzw. Pyranosen (Sechsringe).[2]
Gleichgewicht zwischen offenkettiger und Ringform
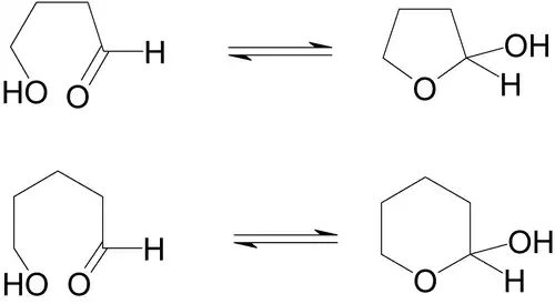
In wässriger Lösung liegen Monosaccharide im Gleichgewicht zwischen offenkettiger und Halbacetalform vor, wobei die cyclische Form nahezu immer stabiler ist. Beim Fructose-Analogon 4-Hydroxybutanal etwa liegen 11,4 % in der offenkettigen und 88,6 % in der Furanoseform vor. Bei der Glucose liegt das Gleichgewicht zu 99,9974 % auf der Seite der Pyranose, während das Analogon 5-Hydroxypentanal zu 6,1 % in der offenkettigen und zu 93,9 % in der Halbacetalform vorkommt.[2]
Bildung eines Lactols aus 4-Hydroxybutanal (analog zur Fructose, oben) und eines Lactols aus 5-Hydroxypentanal (analog zur Glucose, unten).
Siehe auch
Einzelnachweise
- ↑ Eintrag zu lactols. In: IUPAC (Hrsg.): Compendium of Chemical Terminology. The “Gold Book”. doi:10.1351/goldbook.L03438 – Version: 2.3.1.
- ↑ a b H.D. Belitz, W. Grosch, P. Schieberle: Lehrbuch der Lebensmittelchemie, 2001, Springer-Verlag, ISBN 3540410961.
