Kupfer(II)-tartrat
| Strukturformel | |||||||||||||||||||
|---|---|---|---|---|---|---|---|---|---|---|---|---|---|---|---|---|---|---|---|
![]()
| |||||||||||||||||||
| wasserfreies Kupfer(II)-tartrat der L-Weinsäure | |||||||||||||||||||
| Allgemeines | |||||||||||||||||||
| Name | Kupfer(II)-tartrat | ||||||||||||||||||
| Andere Namen |
| ||||||||||||||||||
| Summenformel | C4H4CuO6 | ||||||||||||||||||
| Kurzbeschreibung | |||||||||||||||||||
| Externe Identifikatoren/Datenbanken | |||||||||||||||||||
| |||||||||||||||||||
| Eigenschaften | |||||||||||||||||||
| Molare Masse | 211,62 g·mol−1 (wasserfrei) | ||||||||||||||||||
| Aggregatzustand |
fest | ||||||||||||||||||
| Schmelzpunkt |
275 °C[2] | ||||||||||||||||||
| Löslichkeit |
wenig in Wasser löslich[1] | ||||||||||||||||||
| Sicherheitshinweise | |||||||||||||||||||
| |||||||||||||||||||
| Wenn nicht anders vermerkt, gelten die angegebenen Daten bei Standardbedingungen (0 °C, 1000 hPa). | |||||||||||||||||||
Als Kupfer(II)-tartrat bezeichnet man das Kupfer(II)-Salz der Weinsäure. Resultierend aus der Stereochemie der Weinsäure existieren drei Stereoisomere. Das sind das Enantiomerenpaar Kupfer(II)-L-tartrat und Kupfer(II)-D-tartrat, sowie das Kupfer(II)-meso-tartrat. Es handelt sich um bläuliche Kristalle oder Pulver, die als Komplexverbindungen vorliegen.[3] Die Salze besitzen eine 1:1-Stöchiometrie hinsichtlich der Kupfer- und Tartrationen mit CuC4H4O6.[3][4][5][6] In wässriger Lösung existieren noch Kupfer-Tartrat-Komplexe mit einer Stöchiometrie von 1:2 bis 1:6.[7] Das Nachweisreagenz der Fehling-Probe enthält ebenfalls einen Kupfer-Tartrat-Komplex.[8]
Geschichte
Johann Rudolph Glauber entdeckte Kupfer(II)-tartrat und beschrieb es erstmals.
Darstellung
Die Herstellung der Kupfer(II)-tartrate erfolgt durch die Umsetzung von Kupfer(II)-Salzen mit der entsprechenden Weinsäure. Kupfer(II)-L-tartrat kann durch eine Fällung aus wässriger Kupfer(II)-acetat-Lösung mit L-Weinsäure erhalten werden.[5] Die Herstellung gelingt auch aus Kupfer(II)-chlorid-Lösungen.[6] Kupfer(II)-D-tartrat und Kupfer(II)-meso-tartrat wurden durch langsame Verdampfungskristallisation aus Lösungen aus basischen Kupfer(II)-carbonat und D- bzw. meso-Weinsäure gewonnen.[4] Alle Salze fallen dabei als Trihydrate an. Ein hydratwasserfreies Salz kann aus Dinatriumtartrat- und Kupfer(II)-chloridlösungen erhalten werden. Der durch Erhitzen am Wasserbad gewonnene Niederschlag wird im Exsikkator über trockenem Calciumchlorid aufbewahrt.[9]Industriell wird es in geringen Mengen aus Weinstein (Kaliumhydrogentartrat) mit Natronlauge und Kupfersulfat gewonnen.
Eigenschaften
Physikalische Eigenschaften
Alle Kupfer(II)-Tartrate liegen bei Raumtemperatur als Trihydrate vor. Einkristalluntersuchungen ergaben für das Kupfer(II)-meso-tartrat-Trihydrat ein orthorhombisches, für das Kupfer(II)-D-tartrat-Trihydrat ein monoklines Kristallgitter.[4] Für das Kupfer(II)-L-tartrat-Trihydrat wurde ein orthorhombisches Kristallgitter gefunden.[6] Da das L- und D-Tartrat ein Enantiomerenpaar darstellt, sollten für beide Stereoisomere eine orthorhombische und eine monokline, polymorphe Kristallstruktur möglich sein. Mittels Röntgenbeugungs-Einkristalluntersuchungen konnte eine polymere Komplexstruktur [Cu2(C4H4O6)2(H2O)2]·4H2O}∞ festgestellt werden, in der jedes Kupfer(II)-ion oktaedrisch mit sechs Sauerstoffatomen jeweils von einem Wassermolekül und drei Tartrationen koordiniert ist. Die beiden Tartrationen in der [Cu2(C4H4O6)2(H2O)2]-Komplexstruktur haben eine unterschiedliche Koordination zu den Kupferionen, eines ist mit fünf Tartratsauerstoffatomen, das andere mit sechs Tartratsauerstoffatomen gebunden.[3]
Die Kupfer(II)-tartrate sind gut in Wasser löslich und ergeben deutlich blau gefärbte wässrige Lösungen.
In wässrigen Lösungen können Kupfer(II)-tartrat-Komplexe mit verschiedener Stöchiometrie vorliegen. Das Kupfer-Ion wird dabei von einem bis sechs Tartrat-Ionen umgeben, die sich jeweils mit der Carboxygruppe zum Kupfer orientieren.[7]
Chemische Eigenschaften
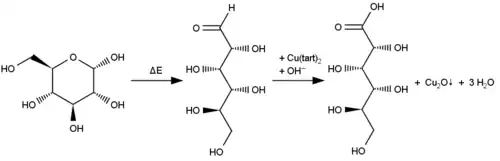
Kupfer(II)-tartrat reagiert mit einigen organischen Reagenzien als Oxidationsmittel. Dabei wird das Kupfer(II)-Ion zum Kupfer(I)-Ion reduziert. Im Beisein von Hydroxid-Ionen können zum Beispiel Aldehyde selektiv oxidiert werden. Durch die Komplexbildung mit Tartrat wird hierbei die Ausfällung von Kupfer(II)-hydroxid verhindert, das die Reaktion stören würde. Aus dem Kupfer(I)-Ion entsteht rotes Kupfer(I)-oxid:
- Reaktion mit Aldehyden
Beim Erhitzen in der Thermowaage wird ab 200 °C ein Massenabbau beobachtet. Der Rückstand besteht aus Kupfer(I)-oxid.[9]
Verwendung
Verwendet wird Kupfer(II)-tartrat in Verbindung mit Natronlauge in der organischen Chemie, um Aldehyde oder reduzierende Zucker nachzuweisen (Fehling-Probe über Bildung alkalischer Kupfertartratlösung) oder um Formaldehyd in Gaswaschflaschen zu absorbieren. Dieses wird zu Ameisensäure oxidiert und ist damit nicht mehr giftig:
- Oxidation von Formaldehyd

- Nachweis von D-Glucose über Oxidation
Kupfer(II)-tartrat ist ein ähnlich mildes Oxidationsmittel wie Silber(I)-diammin. Eine Thermolyse von Mischkristallen aus Kupfer(II)-tartrat und Zink(II)-tartrat ergibt für die Methanolsynthese aus Synthesegas relevante Kupfer/Zinkoxid-Katalysatoren.[5]
Literatur
- Heinz G. O. Becker u. a.: Organikum. 22. Auflage. Wiley-VCH, Weinheim 2004, ISBN 3-527-31148-3.
Einzelnachweise
- ↑ a b Datenblatt Copper (II) tartrate hydrate (PDF) bei Strem, abgerufen am 25. Dezember 2012.
- ↑ a b c d Datenblatt Copper(II) tartrate hydrate bei Sigma-Aldrich, abgerufen am 2. Januar 2025 (PDF).
- ↑ a b c Fangfang Jian, Pusu Zhao, Qingxiang Wang: Synthesis and crystal structure of a novel tartrate copper(II) two-dimensional coordination polymer: {[Cu2(C4H4O6)2(H2O)2]·4H2O}∞. In: J. Coord. Chem. 58, 2005, S. 1133–1138, doi:10.1080/00958970500148446.
- ↑ a b c C. K. Prout, J. R. Carruthers, F. J. C. Rossotti: Structure and stability of carboxylate complexes. Part VII. Crystal and molecular structures of copper(II)meso-tartrate trihydrate and copper(II)d-tartrate trihydrate. In: J. Chem. Soc. A, Inorg. Phys. Theo., 1971, S. 3336–3342, doi:10.1039/J19710003336.
- ↑ a b c R. Weiss, S. Vukojevi, C. Baltes, R. Naumann d'Alnoncourt, M. Muhler, M. Epple: Copper/Zinc L-Tartrates: Mixed Crystals and Thermolysis to a Mixture of Copper Oxide and Zinc Oxide That Is Catalytically Active in Methanol Synthesis. In: Eur. J. Inorg. Chem. 2006, S. 4782–4786, doi:10.1002/ejic.200600561.
- ↑ a b c I. Quasim, A. Firdous, B. Want, S. K. Khosa, P. . Kotru: Single crystal growth and characterization of pure and sodium-modified copper tartrate. In: J. Cryst. Growth. 310, 2008, S. 5357–5363, doi:10.1016/j.jcrysgro.2008.09.021.
- ↑ a b N. D. Jespersen: Novel Copper-Tartrate Coordination Compounds. In: Anal. Let. 5, 1972, S. 497–508.
- ↑ T. G. Hörner, P. Klüfers: The Species of Fehling's Solution. In: Eur. J. Inorg. Chem. 2016, S. 1798–1807, doi:10.1002/ejic.201600168.
- ↑ a b E. C. Rodrigues, C. T. Carvalho, A. B. de Siqueira, G. Bannach, M. Ionashiro: Synthesis, characterization and thermal behaviour on solid tartrates of some bivalent metal ions. In: Thermochim. Acta. 496, 2009, S. 156–160, doi:10.1016/j.tca.2009.07.015.

