Indophenin-Reaktion
Die Indophenin-Reaktion ist eine der ältesten Farbreaktionen der organischen Chemie. Sie dient(e) zum Nachweis von Thiophen und einigen substituierten Thiophenen (Indophenin-Probe, Indophenin-Test).
Geschichte
Bei seinen Pionier-Untersuchungen über den Naturfarbstoff Indigo fand Adolf von Baeyer die auch nach ihm benannte Namensreaktion. Er berichtete im Jahre 1879, dass eine Lösung von Isatin (u. a. durch oxidative Spaltung von Indigo erhalten) in konzentrierter Schwefelsäure sich beim Schütteln mit Benzol tiefblau färbte.[1] Das verwendete Benzol erwies sich jedoch später als mit Thiophen verunreinigt (Victor Meyer).
Reaktion
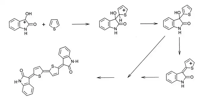
Die Reaktion von Isatin mit reinem Thiophen lieferte schließlich ein blaues, schwerlösliches und schwerflüchtiges Farbstoffpulver, das Baeyer Indophenin nannte. Die Schwerlöslichkeit machte die Aufklärung der Struktur schwierig. Am Ende wurde erkannt, dass sich bei der Reaktion zwei Moleküle Isatin mit zwei Molekülen Thiophen unter Abspaltung von zwei Wassermolekülen vereinigt hatten. Daher wurde die Reaktion als „Kondensation“ klassifiziert. Als Konstitutionsformel des Produktes mit der Summenformel C26H14N2O2S2 wurde 1a vorgeschlagen.[2]

Bildung von Indophenin (1a) aus Isatin und Thiophen in Schwefelsäure über mehrere Reaktionsschritte
Stereoisomere
Neben Struktur 1a kommen jedoch noch fünf weitere E/Z-Stereoisomere (1b-f) in Betracht. Welches davon im Festzustand vorliegt, ist unbekannt; eine Kristallstrukturanalyse fehlt bisher. In Lösung (Hexadeuteriodimethylsulfoxid, DMSO-d6) wurden durch NMR-Spektroskopie mehrere E/Z-Isomere nachgewiesen, aber keine Strukturformeln zugewiesen.[3]

E/Z-Stereoisomere (1a-1f) von Indophenin
Reaktionsmechanismus
Was den Reaktionsmechanismus betrifft, besteht wenig Zweifel daran, dass die Indophenin-Reaktion durch einen elektrophilen Angriff von protoniertem Isatin auf ein Thiophen-Molekül eingeleitet wird:[4]

Hypothetischer Reaktionsmechanismus der Bildung von Indophenin (Stereoisomer 1f) aus protoniertem Isatin und Thiophen
Wie die meisten der „klassischen“ Farbreaktionen der organischen Chemie, hat auch der Indophenin-Test an Bedeutung in der Analyse verloren, seit die Methoden der instrumentellen Analytik etabliert sind.
Einzelnachweise
- ↑ A. Baeyer, Berichte der Deutschen Chemischen Gesellschaft, 12, 1311 (1879).
- ↑ W. Steinkopf und W. Hanske: Studien in der Thiophenreihe. IL. Die Konstitution der Indophenine, Justus Liebigs Annalen der Chemie, 341, S. 238–260 (1939); doi:10.1002/jlac.19395410112.
- ↑ Ulf Pindur: Neue Untersuchungen zur Konstitution von Isatin-Thiophen-Indophenin und Isatin-Pyrrol-Indophenin, Archiv der Pharmazie (Weinheim), 314, S. 337–342 (1981); doi:10.1002/ardp.19813140409.
- ↑ J. A. Joule und G. F. Smith: Heterocyclic Chemistry, 2. Auflage, Van Nostrand Reinhold Company, London 1978, ISBN 0-442-30212-6, S. 224.