Hub and Spoke

Hub and Spoke

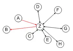
Hub and Spoke (deutsch Nabe und Speiche oder Speichenarchitektur) ist im Transportwesen und in der Informationstechnik der Anglizismus für die sternförmige Verbindung zwischen zwei Endknoten A und B, die nicht direkt, sondern über einen Zentralknoten Z, die Nabe (englisch hub), geführt wird. Die Verbindungen der Endknoten A und B zum Knoten Z bezeichnet man hierbei als Speichen (englisch spokes). Bei einem System mit mehreren Hubs führt der Weg von einem Knoten A im Bereich des Hubs Z1 zu einem Knoten B im Bereich des Hubs Z2 von A über Z1 und Z2 nach B, auch wenn die direkte Verbindung A nach B kürzer und technisch machbar wäre. Dabei die Transportkosten zu minimieren, ist Gegenstand des Umladeproblems, ein Optimierungsproblem aus dem Bereich der Logistik.

Hub and Spoke im Transportwesen

Überblick

Hub and Spoke bezeichnet im Transportwesen eine sternförmige Anordnung von Transportwegen, wobei diese alle auf einen beziehungsweise von einem zentralen Knotenpunkt in alle Himmelsrichtungen verlaufen, um die Fläche bedienen zu können (Sterntopologie).

Unterschieden werden Hub-and-Spoke-Systeme mit Einfachzuordnung (englisch Single Allocation) und Mehrfachzuordnung (englisch Multiple Allocation). Bei Einfachzuordnung besitzt jede Quelle (Ausgangspunkt der Ladung) und jede Senke (Empfangspunkt der Ladung) genau eine Verbindung zu genau einem Hub. Bei Mehrfachzuordnung können Quellen und Senken zu mehreren Hubs Verbindungen aufbauen. Die Einfachzuordnung ist folglich ein Sonderfall der Mehrfachzuordnung. Darüber hinaus gibt es Hub&Spoke-Systeme ohne Direktverbindungen (reine Hub&Spoke-Systeme) und Systeme mit Direktverbindungen (hybride Hub&Spoke-Systeme) zwischen den Nichthubknoten.

Anwendung fand dieses System Ende der 1970er-Jahre im kommerziellen Luftfrachtverkehr innerhalb der USA. Grund dafür war und ist die Bündelung von Verkehrsströmen und der entsprechenden Nachfrage, so dass es zur Optimierung von Auslastung der eingesetzten Transportfahrzeuge kommt, indem Leerfahrten oder Leerflüge vermieden werden. Durch das System wird das Gesetz der Fixkostendegression genutzt; Kosteneinsparung verglichen mit Point-to-Point-Verkehren (Direktverbindungen) sind möglich. Ein Nachteil dieses Systems ist, dass der Transportweg länger ist als der im Direktverkehr von Punkt A nach Punkt B (siehe auch Transportnetzstruktur).

Von Bedeutung ist dieses System bei fast allen Verkehrsmitteln:

  • Seeverkehr, wobei es dort indirekt angewendet wird bei Feederverkehren
  • Luftfrachtverkehr, z. B. bei den großen Kurier-Express-Paket-Diensten (KEP-Diensten) wie UPS (Hub: Flughafen Köln/Bonn) oder der Deutschen Post/DHL (Hub: Flughafen Leipzig).
  • Eisenbahnpersonenverkehr: hauptsächlich im Fernverkehr Konzentration auf die Verbindungen zwischen den Flughafenstandorten und damit verbundener Stilllegung kürzerer direkter Fernverbindungen (Beispiel: HagenFrankfurt am Main über Köln statt bisher SiegenGießen) und daher Abkoppelung auch solcher größeren Städte vom Eisenbahnfernverkehr bei auf den direkten Strecken verbleibendem Nahverkehr mit kürzeren Laufwegen und zusätzlichen Halten der einzelnen Züge mit daher zusätzlich notwendigem Umsteigen sowie Fahrpreisberechnung ausschließlich über den Hub auch bei Benützung der kürzeren direkten Strecke; außerdem Stilllegung von kürzeren, in der Nähe von Hubs, aber quer zu diesen liegenden Strecken;
  • Schienengüterverkehr: sowohl im Einzelwagenladungsverkehr mit Konzentration auf sehr wenige Rangierbahnhöfe als Hubs als auch bei Containerverkehren im Kombinierten Verkehr.
  • Straßengüterverkehr, bei allen Sammelgutspeditionsunternehmen, um in Deutschland einen 24-h- und europaweit einen 48-h-Transport (Sammelgutverkehr) anbieten zu können.
  • Ein weiteres Anwendungsgebiet stellen Paketdienstleister dar. Hierbei werden die im Nebenlauf in den Depots eingesammelten Pakete im sogenannten Hauptlauf konsolidiert und über einen Hub umgeschlagen. Die Speichen (Spoke) stellen somit die Verbindungen des Hubs zu den Depots dar. Meist gibt es aber eine Mischform der beiden Netzwerkalternativen, Depots mit einer hohen wechselseitigen Beziehung durch ein hohes Paketaufkommen zwischen den beiden werden meist durch Point-to-Point Verbindungen, auch Direktverkehre genannt, miteinander verbunden; über den Hub laufen vor allem jene Pakete, deren Absender- oder Empfängerdepots keine kompletten LKW-Ladungen ausmachen.
  • Overnight-Service der Stadtkurierdienste: Seit Wegfall des Termindienst Angebots der Deutschen Bundesbahn 1990 organisieren sich seitdem regionale Stadtkurierdienste in verschiedenen Kooperationen (Arbeitsgemeinschaft Deutscher Kurierdienste, Ilonex, KEP AG, OPS, GO!) und betreiben zentral in Deutschland in der Nähe von Bad Hersfeld jeweils ihren Zentralumschlag (HUB). Sie profitieren dabei von den schnellen „Sprinter“-Kleintransportern und dem deutschen Autobahnnetz (Spoke/Speichen).

Auch Systeme mit mehreren Hubs, die untereinander wieder mittels Direktverkehren verbunden sind, sind möglich. Ein Beispiel hierfür ist das Netzwerk von GLS Germany; das Unternehmen bezeichnet die Hubs als „zentrale Umschlagspunkte“ (ZUP).

Im motorisierten Individualverkehr ist das Hub-and-Spoke-Verfahren nahezu bedeutungslos, da der Autofahrer üblicherweise die kürzeste Strecke (allenfalls mit kleineren Umwegen über Autobahnen statt Landstraßen) fährt. Anders jedoch beim akquirierten Mitfahren („Autostoppen“), wo je nach Methode und Verkehrslage Städte, Autobahnstationen und Grenzübergange Hub-Eigenschaften bekommen.

Hub and Spoke in der kommerziellen Passagierluftfahrt

Einst setzten nahezu alle großen Verkehrsfluggesellschaften das Hub-and-Spoke-Verfahren für ihre Flüge ein und etablierten so die großen Luftfahrt-Drehkreuze. Durch das Hub-and-Spoke-Verfahren ist es im Unterschied zum Point-to-Point-Verfahren möglich, eine weitaus größere Anzahl an Verbindungen, allerdings mit entsprechend häufigerer Umsteigenotwendigkeit, anzubieten. Eine wesentliche Ausnahme vom Hub and Spoke Prinzip waren schon damals die Charterflüge, welche oftmals direkt von den Quell- zu den Zielmärkten geführt wurden und werden. Teilweise erfolgt hier die Zubringerfunktion über Rail&Fly oder vergleichbare Angebote – am Zielort werden nötigenfalls Busse oder Taxis bereitgestellt.

Mit der Deregulierung des Luftverkehrs (USA ab 1970er Jahre, Europa zunehmend im 21. Jahrhundert) kamen so genannte Billigfluggesellschaften auf, die oft mehr oder weniger radikal ausschließlich auf Point-to-Point-Verbindungen setzen. Da aus wirtschaftlichen Gründen oftmals eine möglichst einheitliche Flotte eingesetzt wird, reagieren die Fluggesellschaften auf unterschiedliche Nachfrage nicht durch Einsatz unterschiedlich großer Flugzeuge, sondern durch entsprechende Anpassung der Frequenz (von einmal wöchentlich bis zu mehrmals täglich) – ein Umsteigeverkehr wäre bei lediglich einmal wöchentlicher Bedienung entsprechender Strecken selbst wenn gewünscht kaum durchführbar.

An Regionalflughäfen hat sich daher das Bild extrem gewandelt – war früher die Anbindung an Hubs mittels Regionalflugzeugen wie Metroliner, Dornier 328, Fokker 100, ATR 42 & 72, Dash 8, CRJ und Embraer E-Jet das „Brot und Butter“-Geschäft, so findet man heute viel eher – teilweise ausschließlich – Direktflüge mit Boeing 737 oder Airbus A320 zu Destinationen ohne Hub-Funktion. Zunehmend wird die Existenz und Sinnhaftigkeit von – teilweise ohne Zuschüssen der öffentlichen Hand wirtschaftlich nicht existenzfähigen – Regionalflughäfen gänzlich in Frage gestellt und einige haben daher den Verkehrsflugbetrieb wieder aufgegeben.

Hub and Spoke in der Informationstechnik

Enterprise Application Integration

Als Hub-and-Spoke-Architektur oder Nabe-und-Speichen-Architektur in der Informationstechnik bezeichnet man eine Form der Integration von Geschäftsfunktionen auf der Basis von Meldungsaustausch oder Service-Anfragen, bei der aller Datenverkehr über eine zentrale Integrationsplattform geleitet wird. Sie ist eine der möglichen Topologien für die Enterprise Application Integration. Man spricht hierbei auch vom Business Bus, wobei die Begriffe nicht vollständig synonym sind.

Netzwerktechnik

In der Netzwerktechnik spielt die Sterntopologie eine wesentliche Rolle in der Vernetzung mit Hilfe von Twisted-Pair-Verkabelungen. Dabei werden die einzelnen Netzknoten jeweils mit zentralen Hubs oder Switches verbunden, die ihrerseits wieder untereinander verbunden sind. Dabei wird der Begriff Hub in der Netzwerktechnik in erster Linie für einen bestimmten Gerätetyp für die zentralen Netzknoten verwendet. Dieser Gerätetyp spielt allerdings in größeren Netzen oder beim Neuaufbau von Netzen nur noch eine untergeordnete Rolle und wird weitestgehend durch Switches ersetzt. Die Netztopologie ändert sich dadurch jedoch nicht, sodass Switches topologisch gesehen ebenfalls Hubs sind.

Telefonie

Telefonnetze sind ebenfalls weitestgehend in Form einer Hub-and-Spoke-Topologie aufgebaut. Dabei bilden die Vermittlungsstellen und Telefonanlagen die Hubs und die Endgeräte die Spokes. Im Bereich der digitalen Telefonie auf Basis von ISDN gibt es aber auch Bus-Architekturen.

Benutzeroberflächen

Ein Beispiel für Benutzeroberflächen in einer Hub-and-Spoke-Architektur ist der HomeScreen bei Smartphones, von dem aus einzelne Anwendungen gestartet werden können. Kennzeichnend ist, dass es eine zentrale Benutzeroberfläche gibt, von der andere Anwendungsteile aufgerufen werden. Die einzelnen Teile haben dann keine oder nur wenige Querverbindungen. Sie zeigen kein Navigationsmenü, wie es beispielsweise die Wikipedia hat.