Hansley-Prelog-Acyloin-Kondensation

Die Hansley-Prelog-Acyloin-Kondensation, Prelog-Stoll-Cyclisierung oder Bouveault-Hansley-Prelog-Stoll-Acyloinsynthese ist eine Namensreaktion der organischen Chemie. Sie dient der Synthese von cyclischen Acyloinen (α-Hydroxyketone) aus Estern höherer Dicarbonsäuren.[1] Die Reaktion zählt zu den Radikalreaktionen und ist die intramolekulare Variante der Acyloin-Kondensation.

Sie wurde zunächst 1935 von V. L. Hansley vorgestellt[2] und um 1940–1950 von dem Schweizer Chemiker Vladimir Prelog (1906–1998) erweitert.[3]

Übersichtsreaktion

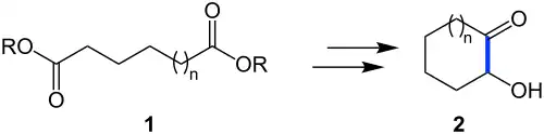
Aus dem Dicarbonsäurediester 1 wird unter Ringschluss das Acyloin 2 gebildet. Die Kettenlänge des Dicarbonsäurediesters ist dabei variabel. Auch die Reaktion von ungesättigten Dicarbonsäurediestern ist möglich.[1]

Übersichtsreaktion der Hansley-Prelog-Acyloin-Kondensation
Übersichtsreaktion der Hansley-Prelog-Acyloin-Kondensation

Die Reste R sind Organyl-Reste, z. B. Alkylreste. Die blau markierte Bindung im Acyloin ist die neu geknüpfte Kohlenstoff-Kohlenstoff-Bindung, die zum Ringschluss führt.

Reaktionsmechanismus

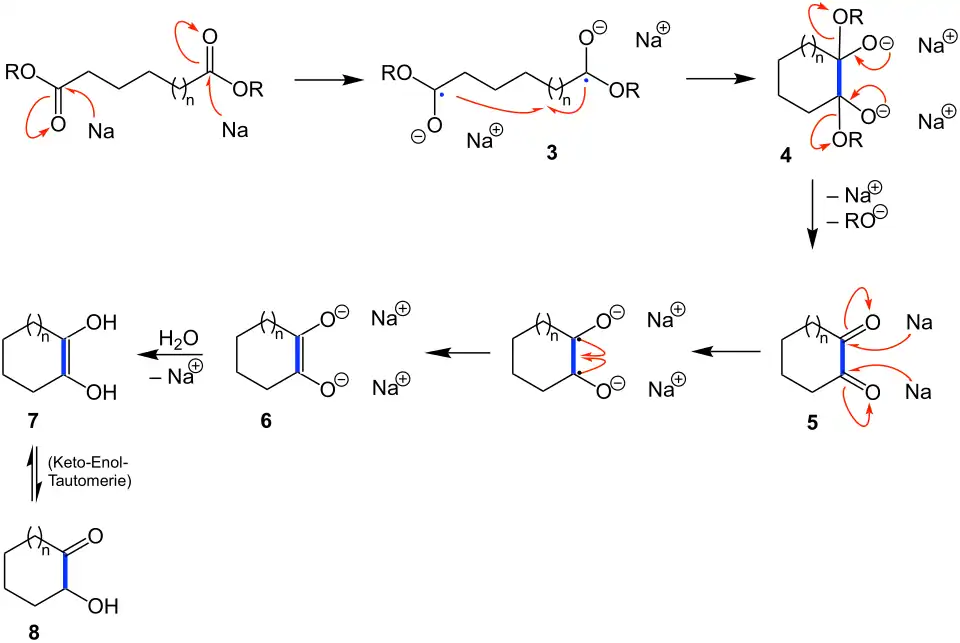
Der nachfolgende Mechanismus wird in der Literatur[1] beschrieben.

Reaktionsmechanismus der Hansley-Prelog-Acyloin-Kondensation
Reaktionsmechanismus der Hansley-Prelog-Acyloin-Kondensation

Zuerst reagiert der Dicarbonsäurediester mit Natrium zum Radikalanion 3. Im nächsten Schritt führt die intramolekulare Dimerisierung zum Ringschluss und das Dianion 4 wird gebildet. Durch Elektronenumlagerungen kommt es zur Abspaltung von zwei Alkoholat-Resten und es bildet sich das Diketon 5. Durch eine weitere Radikalbildung und darauffolgende Dimerisierung in den nächsten beiden Schritten, kommt es zu Bildung des Anions 6. Durch Protonierung wird das Endiol 7 erhalten. 7 steht mit dem Acyloin 8 über die Keto-Enol-Tautomerie im Gleichgewicht.

Einzelnachweise

  1. a b c Zerong Wang: Comprehensive Organic Name Reactions and Reagents, Wiley, 2010, ISBN 978-0-47063885-9, S. 1317–1320, doi:10.1002/9780470638859.
  2. V. L. Hansley: The Preparation of High Molecular Weight Acyloins In: Journal of the American Chemical Society 57, 1935, S. 2303–2305, doi:10.1021/ja01314a076.
  3. V. Prelog, K. Schenker und H. H. Günthard: Zur Kenntnis des Kohlenstoffringes. 60. Mitteilung. Zur Kenntnis des Zehnringes In: Helvetica Chimica Acta 35, 1952, S. 1598–1615, doi:10.1002/hlca.19520350526.