Gabapentin
| Strukturformel | ||||||||||||||||||||||
|---|---|---|---|---|---|---|---|---|---|---|---|---|---|---|---|---|---|---|---|---|---|---|
| ||||||||||||||||||||||
| Allgemeines | ||||||||||||||||||||||
| Freiname | Gabapentin | |||||||||||||||||||||
| Andere Namen | ||||||||||||||||||||||
| Summenformel |
| |||||||||||||||||||||
| Externe Identifikatoren/Datenbanken | ||||||||||||||||||||||
| ||||||||||||||||||||||
| Arzneistoffangaben | ||||||||||||||||||||||
| ATC-Code |
N03AX12 | |||||||||||||||||||||
| Wirkstoffklasse | ||||||||||||||||||||||
| Eigenschaften | ||||||||||||||||||||||
| Molare Masse |
| |||||||||||||||||||||
| Aggregatzustand |
fest | |||||||||||||||||||||
| Schmelzpunkt | ||||||||||||||||||||||
| pKS-Wert |
3,68; 10,70[3] | |||||||||||||||||||||
| Löslichkeit |
wenig löslich in Wasser[3] | |||||||||||||||||||||
| Sicherheitshinweise | ||||||||||||||||||||||
| ||||||||||||||||||||||
| Wenn nicht anders vermerkt, gelten die angegebenen Daten bei Standardbedingungen (0 °C, 1000 hPa). | ||||||||||||||||||||||
Gabapentin ist ein Arzneistoff aus der Gruppe der Gabapentinoide[5] und gehört als Wirkstoff zu den Antikonvulsiva, der zur Behandlung der Epilepsie und neuropathischer Schmerzen eingesetzt wird. Der Arzneistoff wurde 1976 von Gödecke und Warner-Lambert patentiert. Weitere (in Deutschland verfügbare) Gabapentinoide,[6] das heißt Substanzen, die an die alpha2-delta-Untereinheiten von präsynaptischen spannungsabhängigen Calcium-Kanälen binden und deren Funktion hemmen,[7] sind Pregabalin (Antikonvulsivum) und Phenibut (als Nahrungsergänzungsmittel vermarktetes Gabapentinoid, welches in Deutschland dem NpSG unterliegt).[8]
Pharmakologie
Anwendungsgebiete
Gabapentin ist zur Monotherapie von einfachen und komplexen partiellen Anfällen mit und ohne sekundäre Generalisierung und zur Zusatztherapie von partiellen Anfällen mit und ohne sekundäre Generalisierung zugelassen (in den USA seit 1994[9]). Eine weitere Indikation ist die Behandlung neuropathischer Schmerzen. Diese entstehen z. B. bei einem Teil der Patienten mit einer Gürtelrose nach Abklingen der Hautveränderungen, der Post-Zoster-Neuralgie. Ein anderes häufiges Anwendungsgebiet ist die diabetische Polyneuropathie sowie die Behandlung von Phantomschmerzen. Auch postoperative Schmerzen können durch Gabapentin gemildert werden.[10] Die Substanz kann auch bei refraktärem Husten wirken, wenn die Ursache keine anderen Maßnahmen erfordert.[11]
Im Rahmen von off-label use (also außerhalb des in der Zulassung genehmigten Gebrauchs) kann es auch bei Spastik bei Multipler Sklerose eingesetzt werden, wenn mit den dafür zugelassenen Substanzen bei angemessener Dosierung und Anwendungsdauer keine ausreichende Linderung erzielt werden konnte oder Unverträglichkeit vorliegt. Ein Beschluss des Gemeinsamen Bundesausschuss (G-BA) zur Verordnungsfähigkeit in nicht zugelassenem Anwendungsgebiet trat im März 2014 in Kraft.[12]
In der Veterinärmedizin wird Gabapentin als Analgetikum sowie als Anxiolytikum insbesondere bei Katzen verwendet. Als Antikonvulsivum kann es als Reservemedikament eingesetzt werden.[13]
Wirkmechanismus
Der Wirkmechanismus von Gabapentin ist noch nicht vollständig geklärt. Seine antikonvulsive Wirkung wird nicht mit einer direkten Aktivierung von GABA-Rezeptoren in Verbindung gebracht, obwohl es mit GABA strukturell verwandt ist. Als Wirkmechanismus wird eine Hemmung der glutamatergen Erregungsübertragung sowie (als Calciumkanalblocker) die Blockade zentraler Calcium-Kanäle (Calciumkanal-alpha-2-delta-Ligand) (N, P/Q) diskutiert.
Nebenwirkungen
Die häufigsten Nebenwirkungen während der Anwendung von Gabapentin sind ausgeprägte Mundtrockenheit, Müdigkeit bzw. Schläfrigkeit, Schwindel, Kopfschmerzen, Übelkeit, Erbrechen, Gewichtszunahme, Nervosität, Schlaflosigkeit, Ataxie, Augenzittern, Parästhesien, gesteigerter Appetit, aber auch Appetitlosigkeit. Zudem können Ödeme, Mittelohrentzündung, Virus- und Atemwegsinfektionen, akute Pankreatitis, Leuko- und Thrombozytopenie, aber auch sexuelle Funktionsstörungen wie Erektions- und Ejakulationsversagen bis hin zur Impotenz sowie psychische Auffälligkeiten wie Angst, Depressionen, Halluzinationen, Denkstörungen, Feindseligkeit, Amnesie und Verwirrtheit auftreten.[14][15]
Wechselwirkungen
Die Resorption von Gabapentin kann durch gleichzeitige Einnahme von aluminium- oder magnesiumhaltigen Antacida wie Magaldrat beeinflusst werden. Opioide und Alkohol können die Wirkungen und Nebenwirkungen von Gabapentin verstärken. Insbesondere die sich gegenseitig verstärkende Herabsetzung der Atemfrequenz kann die gleichzeitige Anwendung von Opioiden und Gabapentin begrenzen oder gänzlich ausschließen.
Gabapentin kann das Ergebnis einiger Urintests auf Proteine falsch-positiv beeinflussen.
Gegenanzeigen
Bei Reizleitungsstörungen des Herzens ist Gabapentin kontraindiziert.[16]
Pharmakokinetik
Der Wirkstoff wird im Gegensatz zum verwandten Pregabalin oral nur mäßig gut resorbiert, die Resorptionsquote ist dabei invers proportional zur verabreichten Dosierung und beträgt entsprechend dosisabhängig etwa 30–70 %. Gabapentin besitzt dabei eine Halbwertszeit von 5 bis 7 Stunden im Blut, ausgeschieden wird es über den Harn.[17]
Während Gabapentin beim Menschen unverändert ausgeschieden wird, erfolgt beim Hund eine Verstoffwechslung zu N-Methyl-Gabapentin, weshalb bei Hunden eine schnellere Elimination und damit kürzere Wirksamkeit zu verzeichnen ist.[18]
Physikalische und chemische Eigenschaften
Gabapentin tritt in drei polymorphen Kristallformen (Formen II, III und IV) und eine Hemihydratform (Form I) auf.[19][20][21] Bei Raumtemperatur ist die Form II die thermodynamisch stabile Form.[21]
Gabapentin ist ein Analogon der γ-Aminobuttersäure (GABA). Es liegt überwiegend als „inneres Salz“ bzw. Zwitterion vor, dessen Bildung dadurch zu erklären ist, dass das Proton der Carboxygruppe an das einsame Elektronenpaar des Stickstoffatoms der Aminogruppe wandert:
Im elektrischen Feld wandert das Zwitterion nicht, da es als Ganzes ungeladen ist. Genaugenommen ist dies am isoelektrischen Punkt (bei einem bestimmten pH-Wert) der Fall, bei dem das Gabapentin auch seine geringste Löslichkeit in Wasser hat. Der isoelektrische Punkt liegt bei 7,14.
Die Verbindung neigt zu einer intramolekularen Lactambildung.[22][23] Als Verunreinigung infolge der Herstellung oder Lagerung sollte das Lactam im pharmazeutischen Produkt vermieden werden, da dieses toxischer als Gabapentin ist;[24] es erzeugt Krämpfe.[3]
Synthese
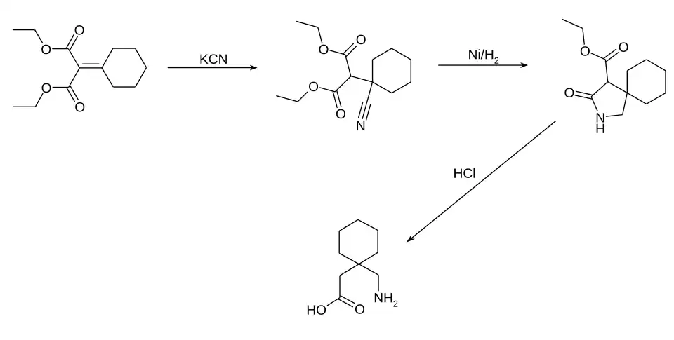
Gabapentin kann in drei Reaktionsschritten aus 2-Cyclohexylidenmalonsäurediethylester hergestellt werden.[25] Dabei wird zunächst durch Umsetzung mit Cyanid der 2-Cyclohexyl-2-cyanomalonsäurediethylester erhalten. Durch eine anschließende reduktive Cyclisierung ergibt sich eine Lactamzwischenverbindung, die unter sauren Bedingungen zum Gabapentin hydrolysiert und decarboxyliert wird.
Analytik
Zur sicheren qualitativen und quantitativen Bestimmung von Gabapentin können nach angemessener Probenvorbereitung sowohl die Gaschromatographie als auch die HPLC insbesondere in Kopplung mit der Massenspektrometrie eingesetzt werden.[26][27] Das analytische Vorgehen eignet sich auch für den Nachweis der Kontamination von Wasser[28] als auch zum Nachweis in der forensischen Forschung.[29][30] Für pharmakokinetische Untersuchungen werden auch Harnproben zur Bestimmung von Gabapentin eingesetzt.[31]
Handelsnamen
Monopräparate
Gababurg (A), Gabagamma (D), GabaLich (D), Gabalster (A), Gabatal (A), Gabantin (CH), Gabapentin (D), Gabax (D), Neurontin (D, A, CH), zahlreiche Generika (D, A, CH)
Siehe auch
Einzelnachweise
- ↑ Monographie „Gabapentin“, European Pharmacopoeia 11th Edition (Ph. Eur. 11.0), EDQM Council of Europe, 2022.
- ↑ The Merck Index. An Encyclopaedia of Chemicals, Drugs and Biologicals. 14. Auflage. 2006, ISBN 0-911910-00-X, S. 742.
- ↑ a b c d Eintrag zu Gabapentin. In: Römpp Online. Georg Thieme Verlag, abgerufen am 2. Juli 2019.
- ↑ a b Datenblatt Gabapentin bei Sigma-Aldrich, abgerufen am 16. Oktober 2016 (PDF).
- ↑ Arznei-News.de: Liste der Gabapentinoide. In: arznei-news.de. Arznei-News.de, 19. Juni 2019, abgerufen am 11. März 2021.
- ↑ K. E. Evoy, A. M. Peckham und andere: Gabapentinoid pharmacology in the context of emerging misuse liability. In: Journal of Clinical Pharmacology. Band 61, 2021, Supplement 2, S. S89–S99.
- ↑ Udo Bonnet, Norbert Scherbaum, Andreas Schaper, Michael Soyka: Phenibut – ein illegales Nahrungsergänzungsmittel mit psychotropen Effekten und Gesundheitsrisiken. In: Deutsches Ärzteblatt. Jahrgang 121, Heft 7, 5. April 2024, S. 222–227, hier: S. 224 und 226.
- ↑ Deutscher Ärzteverlag GmbH, Redaktion Deutsches Ärzteblatt: Phenibut – ein illegales Nahrungsergänzungsmittel mit psychotropen Effekten und Gesundheitsrisiken. 5. April 2024, abgerufen am 16. Oktober 2024.
- ↑ Udo Bonnet, Norbert Scherbaum, Andreas Schaper, Michael Soyka: Phenibut – ein illegales Nahrungsergänzungsmittel mit psychotropen Effekten und Gesundheitsrisiken. In: Deutsches Ärzteblatt. Jahrgang 121, Heft 7, 5. April 2024, S. 222–227, hier: S. 222–224.
- ↑ O. Mathiesen, S. Møiniche, J. B. Dahl: Gabapentin and postoperative pain: a qualitative and quantitative systematic review, with focus on procedure. In: BMC Anesthesiol., Band 7, 2007, S. 6. PMID 17617920, doi:10.1186/1471-2253-7-6.
- ↑ N. M. Ryan: Gabapentin for refractory chronic cough. In: The Lancet, Band 380, Nr. 9853, 3. Nov 2012, S. 1583–1589. doi:10.1016/S0140-6736(12)60776-4.
- ↑ Arzneimittel-Richtlinie/Anlage VI: Gabapentin zur Behandlung der Spastik im Rahmen der Multiplen Sklerose, Beschluss des G-BA vom 28. März 2014; abgerufen am 29. März 2014.
- ↑ Gabapentin - Indikationen Aus: CliniPharm/CliniTox-Datenbank der Universität Zürich; abgerufen am 19. Februar 2022.
- ↑ Fachinformation Gabapentin ( vom 30. November 2016 im Internet Archive).
- ↑ Richard Daikeler, Götz Use, Sylke Waibel: Diabetes. Evidenzbasierte Diagnosik und Therapie. 10. Auflage. Kitteltaschenbuch, Sinsheim 2015, ISBN 978-3-00-050903-2, S. 172 f.
- ↑ Richard Daikeler, Götz Use, Sylke Waibel: Diabetes. Evidenzbasierte Diagnosik und Therapie. 10. Auflage. Kitteltaschenbuch, Sinsheim 2015, ISBN 978-3-00-050903-2, S. 172 f.
- ↑ Fachinformation Gabapentin, Rote Liste Arzneimittelindex
- ↑ L. L. Radulovic, D. Türck, A. von Hodenberg u. a.: Disposition of gabapentin (neurontin) in mice, rats, dogs, and monkeys. In: Drug Metab Dispos. Band 23, Nr. 4, 1995, S. 441–448.
- ↑ D. Braga, F. Grepioni, L. Maini, K. Rubini, M. Polito, R. Brescello, L. Cotarca, M. T. Duarte, V. Andre, M. F. M. Piedade: Polymorphic gabapentin: thermal behaviour, reactivity and interconversion of forms in solution and solid-state. In: New J. Chem. Band 32, 2008, S. 1788–1795, doi:10.1039/B809662G.
- ↑ J. A. Ibers: Gabapentin and gabapentin monohydrat. In: Acta Cryst. C,Cryst. Struct. Comm. Band 57, 2001, S. 641–643, doi:10.1107/S0108270101003341.
- ↑ a b H. A. Reece, D. C. Levendis: Polymorphs of gabapentin. In: Acta Cryst. C,Cryst. Struct. Comm. Band 64, 2008, S. o105–o108, doi:10.1107/S0108270107066279.
- ↑ B. Ciavarella, A. Cupta, V. A. Sayeed, M. A. Khan, P. J. Faustino: Development and application of a validated HPLC method for the determination of gabapentin and its major degradation impurity in drug product. In: J. Pharm. Biomed. Anal., Band 43, 2007, S. 1647–1653. doi:10.1016/j.jpba.2006.12.020.
- ↑ Cheng-Hung Hsua, Shan-Yang Li: Rapid examination of the kinetic process of intramolecular lactamization of gabapentin using DSC–FTIR. In: Thermochim. Acta., Band 486, 2009, S. 5–10. doi:10.1016/j.tca.2008.12.008.
- ↑ H. Potschka, T. J. Feuerstein, W. Löscher: Gabapentin-lactam, a close analogue of the anticonvulsant gabapentin, exerts convulsant activity in amygdala kindled rats. In: Arch. Pharmacol., Band 361, 2000, S. 200–265. doi:10.1007/s002109900174
- ↑ G. Griffiths, H. Mettler, L. S. Mills, F. Previdoli: Novel Syntheses of Gabapentin via Addition of Hydrocyanic Acid to Cyclohexylidenemalonate or Cyano(cyclohexylidene)acetate. In: Helv. Chim. Acta., Band 74, 1991, S. 309–314. doi:10.1002/hlca.19910740208.
- ↑ C. Gambelunghe, G. Mariucci, M. Tantucci, M. V. Ambrosini: Gas chromatography-tandem mass spectrometry analysis of gabapentin in serum. In: Biomed Chromatogr., Band 19, Nr. 1, Jan 2005, S. 63–67. PMID 15470697
- ↑ A. Chahbouni, A. Sinjewel, J. C. den Burger, R. M. Vos, A. J. Wilhelm, A. I. Veldkamp, E. L. Swart: Rapid quantification of gabapentin, pregabalin, and vigabatrin in human serum by ultraperformance liquid chromatography with mass-spectrometric detection. In: Ther Drug Monit., Band 35, Nr. 1, Feb 2013, S. 48–53. PMID 23188183
- ↑ V. Brieudes, S. Lardy-Fontan, S. Vaslin-Reimann, H. Budzinski, B. Lalere: Development of a multi-residue method for scrutinizing psychotropic compounds in natural waters. In: J Chromatogr B Analyt Technol Biomed Life Sci., Band 1047, 15. Mar 2017, S. 160–172. PMID 27436277
- ↑ A. M. Tharp, K. Hobron, T. Wright: Gabapentin-related Deaths: Patterns of Abuse and Postmortem Levels. In: J Forensic Sci., Band 64, Nr. 4, Jul 2019, S. 1105–1111. PMID 30731020
- ↑ J. Sim, E. Kim, W. Yang, S. Woo, S. In: An LC-MS/MS method for the simultaneous determination of 15 antipsychotics and two metabolites in hair and its application to rat hair. In: Forensic Sci Int., Band 274, Mai 2017, S. 91–98. PMID 28111036
- ↑ S. Merrigan, K. L. Johnson-Davis: Liquid Chromatography-Tandem Mass Spectrometry (LC-MS/MS) Method to Quantify Gabapentin and Pregabalin in Urine. In: Methods Mol Biol., Band 2019, Nr. 1872, S. 119–127. PMID 30350285



