Fresnelsche Formeln

Die fresnelschen Formeln (nach Augustin Jean Fresnel) beschreiben quantitativ die Reflexion und Transmission einer ebenen, elektromagnetischen Welle an einer ebenen Grenzfläche. Der zunächst berechnete Reflexions- und Transmissionsfaktor ist das Verhältnis der reflektierten bzw. transmittierten Amplitude zu jener der einfallenden Welle. Durch Quadrieren erhält man den Reflexions- bzw. den Transmissionsgrad, welche als Energiegrößen Intensitätsverhältnisse darstellen.

Vorbetrachtungen

Die fresnelschen Formeln können aus den maxwellschen Gleichungen hergeleitet werden, dabei nutzt man Sonderfälle der Randbedingungen elektromagnetischer Wellen an einer ladungs- und stromfreien Grenzschicht:

Hierbei ist die Normale auf die Grenzfläche und die anderen Größen beschreiben Magnetfeld und elektrisches Feld in den beiden Medien. Die Tangentialkomponente der elektrischen Feldstärke E und der magnetischen Feldstärke H sind an der Grenzfläche stetig, ebenso wie die Normalkomponente der elektrischen Flussdichte D und der magnetischen Flussdichte B (tangential und normal bezieht sich auf die Grenzfläche).

Abhängig von der Polarisation der einfallenden Welle ergeben sich unterschiedliche Randbedingungen für das Auftreffen einer elektromagnetischen Welle auf eine optische Grenzfläche. Jede beliebig polarisierte elektromagnetische Welle lässt sich als Superposition zweier linear polarisierter Wellen, die senkrecht zueinander schwingen, darstellen. Als Bezugsebene dient die Einfallsebene, die vom Wellenvektor der einfallenden Welle und der Flächennormalen aufgespannt wird. Eine einfallende, beliebig polarisierte Welle lässt sich also als Superposition einer parallel (p) und senkrecht (s) zur Einfallsebene polarisierten Welle schreiben:

Dabei ist der Feldvektor des elektrischen Feldes, sind die Einheitsvektoren für s- und p-Polarisation, und die Parameter entsprechen beliebigen Phasenverschiebungen.

Wegen des Superpositionsprinzips reicht es aus, die Amplitudenverhältnisse für parallel und senkrecht zur Einfallsebene linear polarisierte Wellen zu berechnen.

Die Polarisationsrichtung (senkrecht bzw. parallel zur Einfallsebene) bleibt nach der Reflexion unverändert.

Allgemeiner Fall

Im allgemeinen Fall haben beide Medien eine unterschiedliche Permittivität und Permeabilität sowie einen komplexen Brechungsindex

.

Vorbetrachtung für Gleichungen mit eliminiertem Brechungswinkel

Im Allgemeinen sind für die Berechnung der Reflexions- bzw. Transmissionsgrade mit den fresnelschen Formeln sowohl der Brechungsindex der beteiligten Medien als auch der Einfalls- und Brechungswinkel notwendig.

Um neben diesen allgemeinen Gleichungen auch eine vom Brechungswinkel unabhängige Form anzugeben, muss der Brechungswinkel aus der allgemeinen Form eliminiert werden. Da beide Winkel ( und ) über das snelliussche Brechungsgesetz verknüpft sind, kann dies wie folgt (mit Hilfe einer Falleingrenzung) erreicht werden:

(Brechungsgesetz)

Quadrieren liefert (unter Nutzung einer trigonometrischen Umrechnung) folgenden Zusammenhang:

Umgestellt ergibt sich daraus:

Als Lösung wird der Fall mit dem positiven Vorzeichen genutzt, damit später der Reflexionsfaktor r ≤ 1 ist.

Senkrechte Polarisation

Bei der senkrechten Polarisation bildet die elektrische Komponente mit der Einfallsebene einen rechten Winkel.

Als erstes betrachtet man die Komponente, die linear senkrecht (Index: s) zur Einfallsebene polarisiert ist. Sie wird in der Literatur auch als transversalelektrische (TE) Komponente bezeichnet.

Mit dem Transmissionsfaktor , Reflexionsfaktor und den relativen magnetischen Permeabilitäten bzw. . Hierbei beziehen sich die Koeffizienten auf das elektrische Feld.

Parallele Polarisation

Bei paralleler Polarisation schwingt die elektrische Komponente in der Einfallsebene.
Koordinatensystem für die Messung der E-Vektoren

Im anderen Fall wird die Amplitude einer in der Einfallsebene linear parallel (Index: p) polarisierten Welle betrachtet. Sie wird in der Literatur auch als transversalmagnetische (TM) Komponente bezeichnet. Hierbei beziehen sich die Koeffizienten auf das magnetische Feld.

Die Richtungen der elektrischen Feldvektoren bzw. entsprechen den Richtungen der Vektoren bzw. , wobei der Normalenvektor der Einfallsebene ist.

Spezialfall: gleiche magnetische Permeabilität

Für den in der Praxis häufigen Spezialfall, dass die beteiligten Materialien näherungsweise die gleiche magnetische Permeabilität besitzen (), z. B. für nicht-magnetische Materialien, vereinfachen sich die fresnelschen Formeln wie folgt:

Senkrechte Polarisation (TE)
Parallele Polarisation (TM)

Spezialfall: dielektrische Materialien

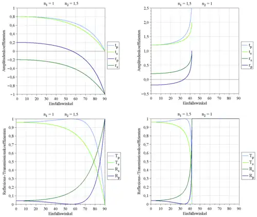
Amplitudenverhältnisse , (oben) und Reflexions-/ Transmissionsvermögen , (unten) für die Grenzfläche Luft und Glas ( und ). Auf die Grenzfläche einfallendes Licht von der Luftseite (links) und von der Glasseite (rechts).

Ein weiterer Spezialfall ergibt sich für ideale Dielektrika, bei denen der Absorptionskoeffizient des komplexen Brechungsindex gleich null ist. Das heißt, das Material auf beiden Seiten der Grenzfläche absorbiert die entsprechende elektromagnetische Strahlung nicht (). Es gilt:

Durch den Wegfall des Imaginärteils vereinfachen sich die fresnelschen Formeln wie folgt:[1]

Senkrechte Polarisation (TE)
Parallele Polarisation (TM)

Hinweis: Das jeweils dritte Gleichheitszeichen ergibt sich durch Anwenden des Brechungsgesetzes und Additionstheoremen.[2] Die dabei getroffenen Annahmen sind für Einfallswinkel von 0° und 90° nicht gültig und die Formeln können daher nicht genutzt werden. Hierfür muss die ursprüngliche Form aus reinen Kosinustermen verwendet werden

Senkrechter Einfall

Eine weitere Vereinfachung ergibt sich für den Fall, dass der Einfallswinkel α gleich 0 ist (senkrechter Einfall):[1]

Fällt beispielsweise sichtbares Licht senkrecht auf die Grenzfläche Luft/Quarzglas, dann wird der Anteil

der einfallenden Intensität unabhängig von der Polarisation reflektiert (vgl. Abschnitt Zusammenhang mit Reflexions- und Transmissionsgrad).

Diskussion der Amplitudenverhältnisse

Partielle Reflexion und Transmission einer eindimensionalen Welle an einer Potentialstufe. Der Anteil der reflektierten und transmittierten Intensität einer elektromagnetischen Welle lässt sich mit den Fresnelschen Formeln berechnen.

Dort, wo die Amplitudenkoeffizienten reell und negativ sind, tritt ein Phasensprung von auf (bei reell und positiv keine Phasenänderung):

Das Amplitudenverhältnis besitzt einen Nulldurchgang am Brewster-Winkel :

  genau bei  
  also  

Beispiele: Brewster-Winkel für Luft-Glas ist und für Glas-Luft ist .

Für werden ab einem bestimmten Winkel die Amplitudenverhältnisse komplex. Ab diesem kritischen Winkel oder Grenzwinkel tritt Totalreflexion auf. Der Grenzwinkel entspricht dem Brechungswinkel also , d. h., die Welle läuft an der Grenzfläche entlang.

  also  

Beispiel: Grenzwinkel für Glas-Luft ist .

Diskussion der Amplitudenverhältnisse bei Röntgenstrahlung unter streifendem Einfall

Für Röntgenstrahlung mit einer Energie weit weg von den Absoptionskanten des Mediums ist die Absorption vernachlässigbar und der Brechungsindex ist reell (nicht komplex). Wenn die Strahlung in einem solchen Medium mit Brechungsindex auf die Grenzfläche zu Vakuum oder Luft (mit Brechungsindex und ) trifft, lautet das snelliussche Brechungsgesetz unter streifendem Einfall (Einfallswinkel:) und streifendem Ausfall (Ausfallwinkel:) und der Definition .

Damit entwickelt man die Fresnelschen Formeln unter streifenden Einfall für Winkel und um die 90°:

Senkrechte Polarisation (TE)

Bemerkung:

Parallele Polarisation (TM)

Bemerkung: .

Die Fresnelschen Formeln stimmen sowohl für senkrechte als auch parallele Polarisation überein. Man braucht die Polarisationsrichtung für Röntgenstrahlung unter streifendem Einfall nicht berücksichtigen!

Für genügend hohe Einfallswinkel gilt:

Beim kritischen Winkel ist mit die Amplitude der elektrischen Feldstärke im Medium doppelt so hoch, wie die einfallende Amplitude. Die Intensität vervierfacht sich. Dies lässt sich durch die Entstehung einer stehenden Welle an der Grenzfläche verstehen. Gemäß der Wikipedia-Seite zum Snelliusschen Brechungsgesetz überlagern sich an der Grenzfläche die einfallende Welle und die reflektierte Welle

zu

Ohne Einschränkung gilt für senkrechte Polarisation und

Für Einfallswinkel beim kritischen Winkel der Totalreflexion überlagern sich das einfallende und reflektierte Feld konstruktiv zu:

und es bildet sich bei ein Wellenbauch mit doppelter Amplitude und vierfacher Intensität . Der nächste Wellenbauch vor der Grenzfläche entsteht falls und damit bei mit der Kreisfrequenz .

Im Grenzfall kleiner Einfallswinkel geht und das einfallende und reflektierte Feld löschen sich aus:

Es bildet sich bei ein Wellenknoten. Das stehende Wellenfeld ändert also seine Phasenlage um zwischen und .

Totalreflexion für senkrechte Polarisation (TE) und parallele Polarisation (TM)

Für Winkel geringer als der Grenzwinkel tritt für Röntgenstrahlung gemäß der Wikipedia-Seite Totalreflexion auf! Die Quadratwurzel wird komplex.

Der Betrag der transmittierten Amplitude nimmt linear mit dem Einfallswinkel zu.

Unterhalb des Grenzwinkels ist das Reflexionsvermögen . Der totalreflektierende Spiegel ohne Absorption ist also ein idealer Spiegel! Aber auch oberhalb reflektiert der Spiegel mit noch und zwar umso mehr je größer ist. Die Absorption der Strahlung im Spiegelmaterial reduziert das Reflexionsvermögen.

Auf der Totalreflexion der Röntgenstrahlung an Materie beruhen eine Reihe von Anwendungen:

  • Röntgenstrahlen lassen sich mithilfe gekrümmter Spiegel fokussieren. Das ist eine umso interessantere Möglichkeit, als es keine Linsen für Röntgenstrahlung gibt. Das Wolter-Teleskop ist solch ein Röntgenteleskop[3].
  • Die Totalreflexion kann dazu benutzt werden um den Brechungsindex von Materie im Röntgenbereich zu bestimmen.
  • Röntgenbeugung und Röntgenabsorption werden bei Totalreflexion inhärent oberflächenempfindlich.

Zusammenhang mit Reflexions- und Transmissionsgrad

Einfluss des komplexen Brechungsindex eines Materials () auf das Reflexionsverhalten eines Lichtstrahls beim Auftreffen auf die Grenzfläche Luft/Material

Man betrachte ein Strahlenbündel, das auf die Grenzfläche eines isotropen, nicht-magnetischen Materials der Fläche einfällt. Die Strahlquerschnitte des einfallenden, reflektierten bzw. transmittierten Strahls sind , bzw. . Die Energie, die während einer Zeitspanne durch eine Fläche fließt, deren Normale parallel zur Energieflussrichtung (bei isotropen Medien gleich Ausbreitungsrichtung ) steht, ist gegeben durch den komplexen Poynting-Vektor :[4]

Die mittlere Energieflussdichte erhält man durch zeitliche Mittelwertbildung[4] und einige Umformungen:

Die mittlere Energie, die pro Zeitspanne vom Strahlenbündel transportiert wird (mittlere Leistung, die auf Fläche trifft), entspricht der mittleren Energieflussdichte mal der Querschnittsfläche, also

, bzw. .

Allgemein (unpolarisiertes Licht) wird der Reflexionsgrad (oft auch mit ρ bezeichnet) folgendermaßen definiert:

und als Transmissionsgrad (oft auch mit τ bezeichnet):

Die beiden Werte lassen sich nun mit Hilfe der fresnelschen Formeln berechnen, sie sind das Produkt des entsprechenden Reflexions- bzw. Transmissionsfaktors mit dessen konjugiert komplexem Wert.

Für ideale Dielektrika, die keine Absorption und daher nur reellwertige Brechungsindizes aufweisen, vereinfachen sich die Gleichungen zu:

mit für die s- bzw. p-polarisierte Komponente.

Darüber hinaus sind der Reflexions- und Transmissionsgrad über folgende allgemeine Energiestrombilanz an einer Grenzfläche (keine Absorption, d. h. Absorptionsgrad ist null) miteinander verknüpft:

.

Literatur

  • Wolfgang Nolting: Grundkurs Theoretische Physik 3: Elektrodynamik. 7. Auflage. Springer, Berlin 2002, ISBN 3-540-20509-8.
  • Wolfgang Demtröder: Experimentalphysik 2. Springer, Berlin 2004, ISBN 3-540-20210-2.
  • John David Jackson: Klassische Elektrodynamik. de Gruyter, Berlin 2006, ISBN 3-11-018970-4.
  • Karl J. Ebeling: Integrierte Optoelektronik: Wellenleiteroptik, Photonik, Halbleiter. 2. Auflage, Springer. Berlin 1998, ISBN 3-540-54655-3.
Commons: Fresnelsche Formeln – Sammlung von Bildern, Videos und Audiodateien

Einzelnachweise

  1. a b vgl. M. Bass (Hrsg.): Handbook of Optics. Volume I - Geometrical and Physical Optics, Polarized Light, Components and Instruments. 3. Auflage. McGraw-Hill Professional Publishing, 2009, ISBN 978-0-07-162925-6, S. 12.6–12.9.
  2. Eugene Hecht: Schaum’s outline of theory and problems of optics. McGraw-Hill Professional, 1975, ISBN 0-07-027730-3, S. 40–50.
  3. Matthias Bartelmann, Björn Feuerbacher, Timm Krüger, Dieter Lüst, Anton Rebhan, Andreas Wipf: Theoretische Physik 2. Elektrodynamik. 10. Auflage. Springer-Verlag, Berlin / Heidelberg / New York 2018, ISBN 978-3-662-56117-1, S. 213.
  4. a b Jay N. Damask: Polarization optics in telecommunications. Springer, New York 2005, ISBN 0-387-22493-9, S. 10–17.