Cystobactamide
Bei den Cystobactamiden (CYS) handelt es sich um eine Stoffklasse nicht ribosomal synthetisierter Peptide. Sie wirken als Gyrase- und Topoisomerase-IV-Hemmer (Topoisomerasen vom Typ-II) und stellen durch ihre damit zusammenhängende starke bakteriostatische Wirkung gegen gram-positive und gram-negative Bakterien vielversprechende Kandidaten für zukünftige Breitbandantibiotika dar.
Struktur

Generell lassen sich Cystobactamide in drei Fragmente unterteilen, deren Konstitution höchst ungewöhnlich ist. Sie bestehen aus einem Ost- und einem West-Fragment, welche von dem dritten Fragment, dem Linker, miteinander verknüpft werden. Durch Besonderheiten in der Biosynthese können allerdings auch Cystobactamide entstehen, die lediglich aus einem Ostfragment bestehen.[1][2]
Ost- und Westfragment
Die Ost- und West-Fragmente setzten sich aus den in Sekundärmetaboliten äußerst selten auftretenden p-ABA-Derivaten zusammen. Das Ost-Fragment besteht immer aus einem p-ABA (p-ABA-2) und einem p-NBA (p-Nitrobenzoesäure; p-NBA-1). Diese sind über eine Peptidbindung der Amino-Gruppe des p-ABA-2 und der Säuregruppe des p-NBA-1 miteinander verknüpft. Das Ostfragment bindet an den Linker mit einer Peptidbindung über die Säuregruppe des p-ABA-2. Das Westfragment setzt sich aus drei p-ABA-Derivaten zusammen, welche, wie das Ostfragment, untereinander und auch mit dem Linker über Peptidbindungen verknüpft sind. Die p-ABA-3 Einheit weist neben einem variablen Rest in meta-Position auch ein Hydroxygruppe in Orthoposition auf. Die p-ABA-5 Einheit kann weiterhin sowohl an der ortho-, als auch meta-Position variable Reste tragen.[1][2]
Linker
Als Linker treten verschiedene Moleküle in Erscheinung, von denen einige als Bausteine in Biomolekülen einzigartig sind, wie zum Beispiel α-Methoxy-L-isoasparagin. Insgesamt wurden in natürlichen Cystobactamiden neben α-Methoxy-L-isoasparagin auch β-Methoxy-L-asparagin, β-Cyano-L-alanin, β-Methoxy-L-aspartat und α-Methoxy-L-isoaspartat beobachtet. All diese natürlich auftretenden Linker-Einheiten werden ausgehend von L-Asparagin gebildet.[2]
Biologische Wirkung
Ein häufiges Problem bei der Behandlung von verschiedenen Bakterien mit Antibiotika sind potentielle Nebenwirkungen und die beschränkte Anwendbarkeit auf verschiedene Arten. Besonders gram-negative Bakterien, zu denen die multiresistenten Erreger der sogenannten ESKAPE-Gruppe gehören, stellen die Medizin und Pharmazie vor große Probleme. Grund hierfür ist, dass gram-negative Bakterien durch ihren Aufbau zusätzliche Hürden in der Behandlung aufweisen. Anders als gram-positive Bakterien, deren Zelle durch eine Membran und eine dicke Mureinschicht begrenzt wird, haben gram-negative Bakterien zusätzlich zur Zellmembran und einer sehr viel dünneren Mureinschicht eine Zellwand, die als äußerste Begrenzung dient. In diese sind Lipopolysaccharide gebettet, welche Endotoxine beinhalten und bei Freisetzung eine toxische Wirkung auf den menschlichen Körper haben können. Außerdem erschwert die äußere Zellwand den Transport eines Antibiotikums in das Bakterium.[3][4][5]
Im Wesentlichen gibt es zwei mögliche Wirkungsansätze für Antibiotika. Sie können die Bakterienzelle entweder zerstören (bakterizid) oder den Reproduktionsprozess oder das Wachstum des Erregers behindern (bakteriostatisch). Bei einem bakteriziden Antibiotikum werden durch die Zerstörung der Zellmembranen die Lipopolysaccharide freigesetzt und lösen Entzündungsreaktionen aus. Neben leichteren Immunantworten auf die Endotoxine wie Fieber und Blutdruckabfall können die bei der Behandlung stärkerer Infektionen freiwerdenden Mengen zu einer Überreaktion des Immunsystems führen und zum Beispiel eine Sepsis nach sich ziehen.[6]
Wirkmechanismus
Cystobactamide wirken bakteriostatisch, was bedeutet, dass sie in den Reproduktionsprozess der Bakterien eingreifen. Sie hemmen die Gyrase und Topoisomerase-IV, welche beide zu den Topoisomerasen vom Typ-II gehören und deren Funktionsmechanismus entsprechend ähnlich ist. Topoisomerasen des Typs-II sind in der Lage, Doppelstrangbrüche in der DNA zu erzeugen und diese im Anschluss wieder zu reparieren. Die Topoisomerase-IV macht sich dies bei der Dekatenierung der miteinander verlinkten zirkulären DNA-Tochterstränge am Ende der DNA-Replikation eines Bakteriums zu Nutze. Dabei schneidet sie zunächst einen der Stränge, um eine Trennung zu ermöglichen und repariert diesen Schnitt im Anschluss wieder. Die Funktion der Gyrase ist das negative supercoiling von DNA. Eine ihrer Aufgaben ist dabei das Verdrehen des DNA-Strangs in negative Richtung vor der Replikationsgabel, um die rechtsgewundene DNA zu entwinden und sie so zugänglich für die Enzyme zu machen, die für die Replikation verantwortlich sind. Beide Topoisomerasen verbrauchen bei ihren jeweiligen Prozessen ATP.[1][7]
Theoretisch gibt es also zwei Möglichkeiten, die Aktivität der Gyrase und Topoisomerase-IV einzuschränken. Entweder kann die ATP-Bindungsstelle blockiert oder der DNA-Gyrase-Komplex stabilisiert werden. Durch Untersuchungen konnte nachgewiesen werden, dass Cystobactamide durch die Stabilisierung des Gyr-A-tyrosyl-DNA-Komplexes wirken und unabhängig von der Menge an vorhandenem ATP gleich wirkungsvoll sind. Konkret funktionieren Cystobactamide durch minor-groove Bindung an die DNA. Interessant ist auch, dass die Bindung keine Interkalation zeigt und außerdem sehr spezifisch ist. Interessant ist dies, weil die Cystobactamide so zu einer der wenigen Stoffklassen gehören, die spezifisch nur an die minor groove binden.[1][3]
Vergleich mit Ciprofloxacin
Ein Antibiotikum, welches sehr häufig für den Vergleich bei der Untersuchung der Wirksamkeit der Cystobactamide herangezogen wird, ist Ciprofloxacin. Auch bei Ciprofloxacin handelt es sich um einen Gyrase-Hemmer, deren Zielstruktur auf der DNA sich jedoch unterscheidet. Die beiden potentesten bekannten Derivate sind Cys 861-2 und Cys 919-2. In Studien wurden die Mindest-Hemm-Konzentrationen (MHK), die Werte für den IC50 und die Nebeneffekte der beiden Cystobactamid-Derivate mit denen von Ciprofloxacin verglichen. Gegen einige gram-positive Erreger wurde eine höhere Wirksamkeit im Vergleich zu Ciprofloxacin festgestellt. Die Wirksamkeit gegenüber gram-negativen Erregern hingegen ist vergleichbar mit der von Ciprofloxacin, jedoch geringer als die Wirksamkeit des verwandten Naturstoffs Albicidin, dessen Werte für den IC50 niedriger sind.[8] Gegen vereinzelte Stämme gram-negativer Bakterien konnte sogar eine höhere Wirksamkeit des Cys 861-2 festgestellt werden. Auch eine Hemmung der Gyrase-Aktivität bei Ciprofloxacin-resistenten Stämmen konnte verzeichnet werden.[9][10][11]
| Cys 919-2 | Cys 861-2 | Ciprofloxacin | Albicidin | |
|---|---|---|---|---|
| MHK [µg·mL−1] | >64 | 1 | 3,2 | |
| IC50 [µM] | 0,34 | 0,18 | 0,48 | 0,04 |
Besonders auffällig ist, dass die MHK-Werte der beiden Cystobactamid-Derivate in-vitro vergleichbar sind, während Cys 919-2 in-vivo einen gravierenden Aktivitätsverlust erleidet. Die Gründe hierfür sind noch nicht abschließend geklärt, jedoch ist davon auszugehen, dass der Aktivitätsverlust während des Transports in die Zellen stattfindet. Im Gegensatz zu Cys 861-2, das erst ab einer Konzentration von 100 µM zytotoxische Effekte aufweist, treten diese bei Ciprofloxacin bereits im einstelligen µM-Bereich auf.[11]
Weiterhin konnte festgestellt werden, dass Cys 861-2 eine geringe Stabilität im periplasmatischen Raum und geringe Löslichkeit in Phosphatpuffern aufweist. Dies müsste durch Derivatisierung umgangen werden, um einen Aktivitätsverlust zu vermeiden. Die geringe Stabilität ist durch die basenlabile Amidbindung zu erklären. Ein vielversprechendes Derivat des Cys 861-2 weist an dessen A-Ring eine Nitrilgruppe auf. Es zeigt eine höhere Stabilität gegenüber Basen und liefert vergleichbare Aktivität, die zum Teil auch gegen einen Cys-861-2-resistenten Stamm verzeichnet werden konnte. Allerdings handelt es sich dabei bislang nur um erste Erkenntnisse der Forschung.[11]
Biosynthese
Die Synthese von Cystobactamiden geschieht über sogenannte nicht ribosomale Peptid Syntheasen (NRPS). Das sind große Enzymkomplexe, die eine multimodale Struktur aufweisen. Jedes dieser Module ist weiter unterteilt in voneinander unabhängig agierende Domänen, wobei jede Domäne in der Regel eine spezifische Reaktion katalysiert. NRPS Biosynthesen sind nicht auf die Verwendung von proteinogenen Aminosäuren angewiesen, was eine große Variabilität für die Synthese von chemischen Grundgerüsten ermöglicht.[2]
Die potentesten Vertreter der Cystobactamide sind Hexapeptide. Für deren Synthese werden entsprechend sechs Module benötigt, die über ihre jeweiligen Domänen den Einbau des Linkers oder p-ABA-Einheiten katalysieren. Für die Zusammensetzung der Peptidkette werden hauptsächlich drei verschiedene Arten von Domänen verwendet, die mit „A“, „T“ und „C“ bezeichnet werden. „A“ steht dabei für Adenylierungsdomäne. Sie aktivieren die Aminosäuren unter Verwendung von ATP. „T“ sind Thiolierungsdomänen. Sie sind verantwortlich für das Binden der aktivierten Aminosäuren sowie der wachsenden Peptidkette. „C“ bezeichnet Kondensierungsdomänen, die die Ausbildung von Peptidbindungen katalysieren.[2][3]
Die verschiedenen natürlich vorkommenden Cystobactamide unterscheiden sich in ihrem Linker und den p-ABA-Derivaten, die über die letzten beiden Module in die Peptidkette eingefügt werden. Im Gegensatz zu der ersten p-ABA-Einheit, die während oder nach Ende des Kettenwachstums von p-ABA zu p-NBA umgewandelt wird, müssen die über das fünfte und sechste Modul eingefügten p-ABA-Derivate bereits vor ihrem Einbau in die Kette synthetisiert werden. Dasselbe gilt für die Linker. Alle bisher bekannten natürlich vorkommenden Linker können ausgehend von CysH aktiviertem L-Asparagin über enzymatische Umsetzungen hergestellt werden. Die fertigen Linker werden über CysB zum dritten Modul am CysK transportiert, das deren Einbau in die Peptidkette katalysiert.[2][3][12]
Die Biosynthese von Cystobactamiden ist besonders, da sie gegen die beiden wichtigen Regeln für NRPS-Biosynthesen verstößt. Diese sind die Prozessivitäts- und die Kollinearitätsregel.[2]
Die Prozessivitätsregel besagt, dass die Synthese von Peptidketten an dem ersten Modul startet und der Modulsequenz folgend am letzten Modul endet. Es wurde jedoch festgestellt, dass neben den voll ausgebildeten Hexapeptiden auch Tripeptide vorliegen, die aus den p-ABA-Einheiten bestehen, die über die letzten drei Module der für die Herstellung der Hexapeptide gedachten Modulsequenz bestehen. Diese Erkenntnis deutet darauf hin, dass der Transport des Linkers über das CysB, der an dritter Stelle der Peptidkette steht, ein stark limitierender Faktor in der Biosynthese ist. Steht der Linker nicht in ausreichender Menge zur Verfügung, werden statt der Hexapeptide, angefangen bei Modul 4, Tripeptide wie zum Beispiel das Cystobactamid 507 gebildet.[2][3]
Die Kolliniaritätsregel besagt, dass jedes Modul für die Implementierung eines spezifischen Moduls in die Peptidkette verantwortlich ist. Der Verstoß gegen diese Regel findet sich in der Biosynthese der Linker über das Enzym CysH. Dieses besitzt eine sehr ungewöhnliche sogenannte AM/DH-Domäne. „AM“ steht für Amino-Mutation und katalysiert den entscheidenden Schritt in der Isomerisierung von Linkern, wie zum Beispiel β-Methoxy-L-Asparagin und α-Methoxy-L-Isoasparagin. Dabei wird formal die Amino- und Hydroxy-Gruppe an zwei benachbarten Kohlenstoffatomen vertauscht. „DH“ steht für Dehydroxylierung und wandelt über Abspaltung der beiden Wasserstoffatome am Stickstoff mit dem entsprechenden Sauerstoffatom eine primäre Amid-Gruppe in eine Cyano-Gruppe um. Damit ist das entsprechende Modul im CysH, das diese Domäne beinhaltet, in der Lage, unterschiedliche Reaktionen und die Bildung verschiedener Baueinheiten zu katalysieren. Diese werden alle gleichermaßen über das CysB an das Modul 3 transportiert und in die Peptidkette eingebaut. Das fertige Cystobactamid wird schließlich über eine Thioesterasedomäne am Ende des sechsten Moduls vom Enzymkomplex abgespalten.[2]
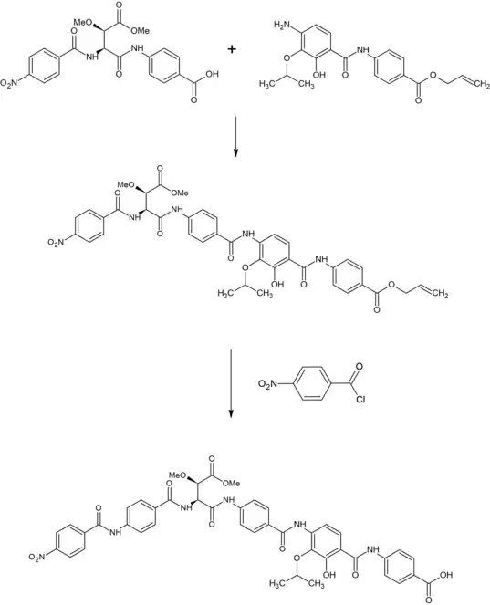
Totalsynthese von CYS 861-2

Für die Totalsynthesen der Cystobactamide werden zu Beginn die Strukturen der Moleküle retrosynthetisch in Fragmente unterteilt. Bei Derivat 861-2 gibt es drei Fragmente, welche über Peptidbindungen miteinander verknüpft sind. Das Westfragment besteht aus dem kommerziell erhältlichen p-Nitrobenzoylchlorid. Das Mittelfragment besteht aus dem Linker, geknüpft mit dem B- und C-Ring. Das Ostfragment deckt die restlichen zwei Ringe ab.[11][13]
Linkersynthese

Als erstes erfolgt die Synthese des Linkers. Als Ausgangsstoff dient Zimtsäureethylester, welcher über eine asymmetrische Sharpless-Dihydroxylierung in ein Diol überführt wird. Diese erfolgt mit dem Zweiphasengemisch tert-Butanol und Wasser in einem Verhältnis von 1:1 und Methansulfonamid als Phasentransferkatalysator, mit einer Ausbeute von 89 % und einem Enantiomerenüberschuss von 99 %. Anschließend reagiert das Diol mit TEA bei einer Temperatur von 0 °C unter langsamer Zugabe von Thionylchlorid-Lösung zu einem cyclischen Sulfit. Dabei ist ein ausgewogenes Verhältnis von Säurechlorid und Base wichtig. Die dabei entstehenden Diastereomere (Verhältnis 1:1) werden nicht getrennt, da der Ring in den nachfolgenden Schritten wieder gespalten wird. Als nächster Schritt erfolgt eine nucleophile Ringöffnung. Durch Zugabe von DMF und Natriumazid bei 80 °C wird der Ring regiospezifisch an der beta-Position gespalten. Das Azid dient dabei als Schutzgruppe. Das Produkt wird über Kieselgel filtriert, in einem Gemisch aus Diethylether und 2 N Schwefelsäure gerührt und extrahiert. Anschließend wird der Sauerstoff methyliert. Dies erfolgt bei neutralen Reaktionsbedingungen und Raumtemperatur über Iodmethan, Calciumsulfat und Silber(I)-oxid als Aktivator zur Vermeidung von Epimerisierung. Der Sulfitdiester und das Produkt der Methylierung wird im Anschluss säulenchromatographisch gereinigt. Bis zu diesem Schritt erfolgt die Synthese des Linkers von Cystobactamidderivaten, wie zum Beispiel 920-1, analog.[11][13]
Mittelfragmentsynthese

Der nächste Schritt besteht aus einer Kuhn-Roth-Oxidation. Bei dieser wird der Phenylrest, welcher zuvor als Schutzgruppe fungiert hat, zur Carbonsäure gespalten. Mit Rutheniumchlorid als Katalysator, welches durch Natriumperiodat stöchiometrisch zu Rutheniumtetroxid oxidiert wird, CH3CN, CHCl3 und Wasser bei 70 °C ergibt sich nach 3 Stunden das gewünschte Derivat des Linkers mit einer Ausbeute von 72 %. Das Produkt wird nach einer Filtration zuerst mit Ethylacetat extrahiert und anschließend mit Diethylether versetzt, um die Fällung von Rutheniumsalzen zu vermeiden. Anschließend erfolgt die erste Peptidkupplung. Die Verbindung reagiert mit tert-Butyl-4-aminobenzoat, POCl3 zur Aktivierung, DIPEA und CHCl2 bei 0 °C. Das entstandene Azid wird über eine Staudinger-Reduktion mit Triphenylphosphan, THF und Wasser bei 50 °C in ein Amin umgewandelt und anschließend mit p-Nitrobenzoylchlorid gekuppelt. Dies erfolgt in einem zweiten Schritt mit DIPEA und DMF bei Raumtemperatur. Nach einer quantitativen Entschützung der tert-Butyl-Gruppe mit TFA und CH2Cl2 entsteht das Mittelfragment mit einer Gesamtausbeute von 20,7 %.[11][13][14]
Ostfragmentsynthese

Für das Ostfragment wird als erstes der tetrasubstituierte Aromat synthetisiert. Dies erfolgt mit 2,3-Dihydroxybenzaldehyd als Ausgangsstoff über 6 Schritte mit einer Gesamtausbeute von 22 %. Das tetrasubstituierte Aromat wird anschließend mit der aus p-ABA gewonnenen Verbindung über zwei Schritte zur Reaktion gebracht. Im ersten Schritt erfolgt eine Peptidkupplung mit POCl3, DIPEA und CH2Cl2 bei 0 °C bis Raumtemperatur. Im zweiten Schritt erfolgt eine Reduktion mit SnCl2・2H2O und EtOAc bei 60 °C. Die Gesamtausbeute des Ostfragments beträgt 15,7 %. Anschließend werden alle Fragmente zusammengeführt.[11][13][14]
Zusammensetzung der Fragmente

Als erstes wird das Mittelfragment mit dem Ostfragment in drei Schritten zur Reaktion gebracht. Im ersten Schritt erfolgt eine Peptidkupplung mit POCl3, DIPEA und THF/CH2Cl2 im Verhältnis (1:1) bei 0 °C bis Raumtemperatur. Der zweite Schritt ist eine Reduktion, welche unter Zinkstaub-Bedingungen mit AcOH, THF und EtOH bei Raumtemperatur stattfindet. Als dritter Schritt erfolgt die Installation des primären Amins. Dieser Schritt ist in der Synthese von großer Bedeutung, da die Verbindung unter diesen Bedingungen zu partieller Epimerisierung neigt. Als letztes wird das Westfragment gekuppelt. Dies erfolgt mit DIPEA und THF bei 0 °C. Mit Pd(PPh3)4 als Katalysator, PhSiH3 und THF wird bei Raumtemperatur anschließend die Allylschutzgruppe entfernt. Nach Elution mit einem Gemisch aus Acetonitril und 10 nM wässriger Ammoniumhydrogencarbonat-Lösung ergibt sich das Produkt mit einer Gesamtausbeute von 2,3 %.[11][13][14]
Einzelnachweise
- ↑ a b c d Dr. Elgaher, W. A. M., Dr. Hamed, M. M., Dr. Baumann, S., Dr. Herrmann, J., Siebenbürger, L., Krull, J., Cirnski, K., Prof. Dr. Kirschning, A., Prof. Dr. Brönstrup, M., Prof. Dr. Müller, R., & Prof. Dr. Hartmann, R. W.: Cystobactamid 507: Concise Synthesis, Mode of Action, and Optimization toward More Potent Antibiotics, Chemistry – A European Journal, Volume 26 Issue 32, 26. Januar 2020, Seite 7219–7225
- ↑ a b c d e f g h i Groß, S., Schnell, B., Haack, P.A. et al.: In vivo and in vitro reconstitution of unique key steps in cystobactamid antibiotic biosynthesis. Nat Commun 12, 1696 (2021).
- ↑ a b c d e Baumann, S., Herrmann, J., Raju, R., Steinmetz, H., Mohr, K. I., Hüttel, S., Harmrolfs, K., Stadler, M. & Müller, R.: Cystobactamids: Myxobacterial Topoisomerase Inhibitors Exhibiting Potent Antibacterial Activity, Angewandte Chemie Int. Ed. 2014, 53, Seite 14605–14609.
- ↑ Kolter T.: Cystobactamide, RD-03-04650 (2019) in Böckler F., Dill B., Eisenbrand G., Faupel F., Fugmann B., Gamse T., Matissek R., Pohnert G., Rühling A., Schmidt S., Sprenger G., RÖMPP [Online], Stuttgart, Georg Thieme Verlag, Januar 2023.
- ↑ Salton, Milton R.J.: “Structure.” Medical Microbiology. 4th Edition., U.S. National Library of Medicine, 1. Januar 1996.
- ↑ Bakterizide und Bakteriostatika in Kombi?: In vitro nachgewiesen. In: CME. Band 10, Nr. 5, Mai 2013, S. 34–34, doi:10.1007/s11298-013-0703-1.
- ↑ Schoeffler, A. J., & Berger, J. M.: Q. Rev. Biophys., 41, 2008, S. 41–101.
- ↑ Saeed M. Hashimi, Melisa K. Wall, Andrew B. Smith, Anthony Maxwell, Robert G. Birch: The Phytotoxin Albicidin is a Novel Inhibitor of DNA Gyrase. In: Antimicrobial Agents and Chemotherapy. Band 51, Nr. 1, Januar 2007, S. 181–187, doi:10.1128/AAC.00918-06, PMID 17074789, PMC 1797663 (freier Volltext).
- ↑ B. Cheng, R. Müller, D. Trauner: Angew. Chem. Int. Ed. 2017, 56, S. 12755–12759.
- ↑ W. B. Graninger, W. Graninger, R. Ullrich, M. Köller, L. Erlacher: Effects of ciprofloxacin and ofloxacin on adult human cartilage in vitro. In: Antimicrobial Agents and Chemotherapy. Band 41, Nr. 11, 1. November 1997, S. 2562–2565.
- ↑ a b c d e f g h i Planke, T. M., Dissertation: Totalsynthesen von antibiotisch hoch potenten Cystobactamiden, Gottfried Wilhelm Leibniz Universität Hannover, 2019.
- ↑ Baumann, S., Herrmann, J., Raju, R., Steinmetz, H., Mohr, K. I., Hüttel, S., Harmrolfs, K., Stadler, M. & Müller, R.: Cystobactamids: Myxobacterial Topoisomerase Inhibitors Exhibiting Potent Antibacterial Activity, Supporting Information, Angewandte Chemie Int. Ed. 2014, 53.
- ↑ a b c d e Moeller, M., Norris, M. D., Planke, T., Cirnski, K., Herrmann, J., Müller, R. & Kirschning, A.: Scalable Syntheses of Methoxyaspartate and Preparation of the Antibiotic Cystobactamid 861-2 and Highly Potent Derivatives; Org. Lett. 2019, 21, 8369−8372.
- ↑ a b c Azumaya, I., Okamoto, T., Imabeppu, F., & Takayanagi, H.: Simple and convenient synthesis of tertiary benzanilides using dichlorotriphenylphosphorane; Tetrahedron; Volume 59, Issue 13, 24 March 2003, Pages 2325-2331.