Clemastin
| Strukturformel | ||||||||||||||||
|---|---|---|---|---|---|---|---|---|---|---|---|---|---|---|---|---|
| ||||||||||||||||
| Allgemeines | ||||||||||||||||
| Freiname | Clemastin | |||||||||||||||
| Andere Namen | ||||||||||||||||
| Summenformel | C21H26ClNO | |||||||||||||||
| Externe Identifikatoren/Datenbanken | ||||||||||||||||
| ||||||||||||||||
| Arzneistoffangaben | ||||||||||||||||
| ATC-Code | ||||||||||||||||
| Wirkstoffklasse | ||||||||||||||||
| Wirkmechanismus |
Antagonist am H1-Rezeptor (H1-Antihistaminika) | |||||||||||||||
| Eigenschaften | ||||||||||||||||
| Molare Masse | 343,89 g·mol−1 | |||||||||||||||
| Sicherheitshinweise | ||||||||||||||||
| ||||||||||||||||
| Toxikologische Daten | ||||||||||||||||
| Wenn nicht anders vermerkt, gelten die angegebenen Daten bei Standardbedingungen (0 °C, 1000 hPa). | ||||||||||||||||
Clemastin ist ein chiraler Arzneistoff aus der Gruppe der Antihistaminika. Es wird als Antiallergikum bei allergischen Reaktionen eingesetzt.
Wirkung
Allergische Reaktionen werden unter anderem durch eine Ausschüttung des Botenstoffs Histamin aus Mastzellen vermittelt. Histamin wirkt über die Bindung an Histamin-Rezeptoren an Zielzellen entzündungsfördernd. Clemastin hemmt die Wirkung von Histamin, indem es ebenfalls an Histamin-Rezeptoren bindet, jedoch nicht die histamintypischen Wirkungen auslöst (kompetitiver Antagonist). Clemastin bindet vorwiegend an die Gruppe der H1-Rezeptoren, weshalb es auch als H1-Rezeptor-Antagonist bezeichnet wird. Clemastin wirkt zudem als FIASMA (funktioneller Hemmer der sauren Sphingomyelinase).[3]
Anwendungsbereich
Eingesetzt wird Clemastin zur symptomatischen Behandlung der allergischen Rhinitiden (wie beispielsweise Heuschnupfen), der Nesselsucht (Urticaria), des Juckreizes (Pruritus) und des Quincke-Ödems. Weiterhin wird Clemastin in der Notfallbehandlung des anaphylaktischen Schocks (allergisch bedingtes Kreislaufversagen) eingesetzt. Clemastin wird auch zur Vermeidung von allergischen Reaktionen bei Gabe von Kontrastmitteln im Rahmen radiologischer Untersuchungen verwendet.
Gegenanzeigen und Anwendungsbeschränkungen
Clemastin darf nicht eingesetzt werden bei Patienten mit Leber- und Niereninsuffizienz sowie bei Patienten mit Porphyrie. Da Clemastin neben seiner erwünschten Wirkung als Antihistaminikum auch unerwünschte anticholinerge Wirkungen aufweist, besteht eine Anwendungsbeschränkung bei Patienten mit einem Engwinkelglaukom, einer symptomatischen Prostatavergrößerung mit Restharnbildung oder Blasenhalsobstruktion sowie mit anderen Blasenentleerungsstörungen. Die Gabe von Clemastin kann in diesen Fällen eine akute Verschlechterung der genannten Erkrankungen auslösen. Auch bei Vorliegen verengender Magengeschwüre und von Verengungen im Bereich des Magenpförtners und des Zwölffingerdarms (pyloroduodenale Obstruktionen) darf Clemastin nicht eingesetzt werden.
Unerwünschte Wirkungen
Als häufigste unerwünschte Wirkung nach Einnahme von Clemastin wird von über 10 % der Patienten eine Sedierung angegeben. Diese tritt besonders zu Beginn der Behandlung auf und ist auf den antihistaminergen Effekt des Wirkstoffes im Gehirn zurückzuführen. Die Verminderung der Vigilanz (Wachheit) und eine verzögerte Reaktionsfähigkeit beeinträchtigen die Fahrtüchtigkeit. Im Gegensatz dazu kann es bei Kindern auch zu Erregungszuständen kommen. Bei weniger als 1 % der Patienten können Mundtrockenheit, Überempfindlichkeitsreaktionen an der Haut (Arzneimittelexanthem), Kopfschmerzen, Schwindel und Beschwerden im Magen-Darm-Trakt (wie Übelkeit oder Verstopfung) auftreten.
Wechselwirkungen
Die Einnahme von Clemastin kann die Wirkung anderer gleichzeitig eingenommener Wirkstoffe verstärken. Insbesondere gilt dies für Alkohol, Schmerzmittel (Analgetika), Schlafmittel (Hypnotika), Narkosemittel (Narkotika) und Psychopharmaka. Falls gleichzeitig Antidepressiva oder Parkinsonmittel vom Typ der MAO-Hemmer eingenommen werden, kann dies die anticholinerge Wirkung von Clemastin steigern.
Anwendung in der Schwangerschaft und Stillzeit
Für die Anwendung von Clemastin in der Schwangerschaft und Stillzeit besteht eine strenge Indikationsstellung. Klinische Daten über Schwangere, die Clemastin während der Schwangerschaft einnahmen, liegen nicht vor. Daher darf der Wirkstoff nur nach sorgfältiger ärztlicher Risiko-Nutzen-Abwägung angewendet werden. Clemastin tritt in die Muttermilch über; daher besteht auch während der Stillzeit eine strenge Indikationsstellung.
Chemie
Stereoisomerie
Clemastin ist chiral und enthält zwei Stereozentren. Folglich existieren vier Stereoisomere.[4] Als Arzneistoff wird ausschließlich die (R,R)-Form eingesetzt.[5]
Synthese
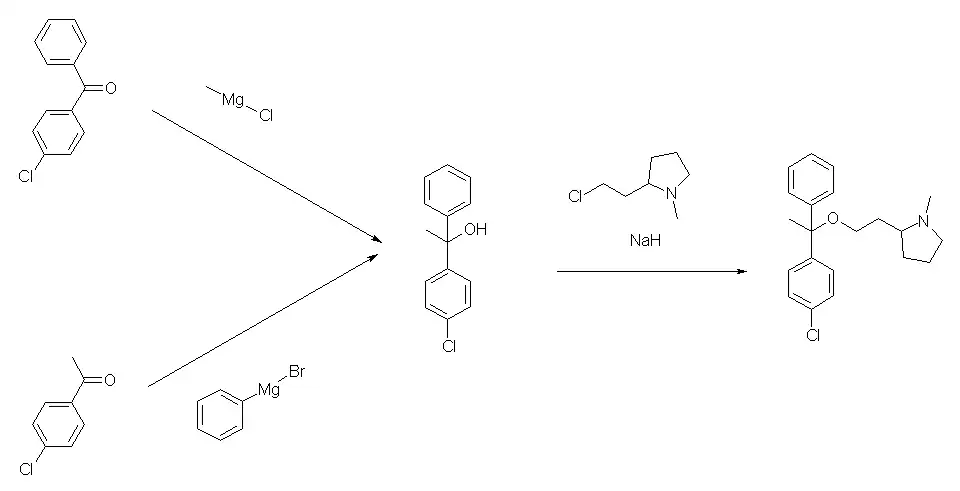
Die Synthese von Clemastin als Isomerengemisch verläuft über zwei Reaktionsschritte, wobei das Zwischenprodukt 1-(4'-Chlorphenyl)-1-phenyl-ethanol entweder durch die Umsetzung von 4-Chlorbenzophenon mit Methylmagnesiumchlorid oder von 4-Chloracetophenon mit Phenylmagnesiumbromid zugänglich ist. Im zweiten Schritt wird das Gemisch aus vier Stereoisomeren durch die Reaktion mit 2-(2-Chlor-ethyl)-1-methyl-pyrrolidin in Gegenwart von Natriumhydrid erhalten. Die Trennung der Stereoisomere und die Gewinnung des Zielstereoisomers erfolgt durch fraktionierte Kristallisation des Maleatsalzes und der Trennung mit Hilfe von (−)–Dibenzoyl–L–weinsäure.[4][6]

Handelsnamen
Clemastin ist in den Ländern Schweiz, Deutschland, Italien, Frankreich und Großbritannien unter dem Namen Tavegil/Tavegyl im Handel erhältlich.[2]
Literatur
- K. Aktories, U. Förstermann, F. Hofmann, K. Starke (Hrsg.): Allgemeine und spezielle Pharmakologie und Toxikologie. 9. Auflage. Elsevier, München 2005, ISBN 3-437-42521-8, S. 386–389.
- D. Schneider, F. Richling: Checkliste Arzneimittel A–Z. 2006–2007. 4. Auflage. Thieme, Stuttgart 2006, ISBN 3-13-130854-0, S. 243.
Einzelnachweise
- ↑ a b Datenblatt Clemastine fumarate salt bei Sigma-Aldrich, abgerufen am 22. Mai 2017 (PDF).
- ↑ a b c d e A. Kleemann, J. Engel, B. Kutscher, D. Reichert: Pharmaceutical Substances - Synthesis, Patents, Applications, 4. Auflage (2000), Thieme-Verlag Stuttgart, ISBN 978-1-58890-031-9
- ↑ J Kornhuber, M Muehlbacher, S Trapp, S Pechmann, A Friedl, M Reichel, C Mühle, L Terfloth, T Groemer, G Spitzer, K Liedl, E Gulbins, P Tripal: Identification of Novel Functional Inhibitors of Acid Sphingomyelinase. In: PLoS ONE. 6. Jahrgang, Nr. 8, 2011, S. e23852, doi:10.1371/journal.pone.0023852.
- ↑ a b A. Ebnöther, H.-P. Weber: Synthese und absolute Konfiguration von Clemastin und seiner Isomeren in Helv. Chim. Acta 59 (1976) 2462–2468. doi:10.1002/hlca.19760590721
- ↑ Rote Liste 2008. Verlag Rote Liste, Frankfurt am Main, ISBN 978-3-939192-20-6, S. 53.
- ↑ J.M. Vernier, H. El-Abdellaoui, H. Holsenback, N.D.P. Cosford, L. Bleicher, G. Barker, B. Bontempi, L. Chavez-Noriega, F. Menzaghi, T.S. Rao, R. Reid, A.I. Sacaan, C. Suto, M. Washburn, G.K. Lloyd, I.A. McDonald: 4-2-(1-Methyl-2-pyrrolidinyl)ethylthio-phenol Hydrochloride (SIB-1553A): A Novel Cognitive Enhancer with Selectivity for Neuronal Nicotinic Acetylcholine Receptors. In: J. Med. Chem., 42, 1999, S. 1684–1686. doi:10.1021/jm990035d
