Business Motivation Model
Das Business Motivation Model (BMM) ist ein internationaler Standard, der eine Struktur beschreibt, um Geschäftspläne organisiert zu entwickeln, darzustellen und zu verwalten.[1] Insbesondere liefert das BMM Definitionen von Begriffen, die bei der Entwicklung von Geschäftsplänen benötigt werden.
Begründet wurde es von der Business Rules Group. 2021 wird das BMM von der Object Management Group im Rahmen der BMM Revision Task Force weiterentwickelt.[2]
Die Verwendung des BMM-Standards erlaubt es, Geschäftsentscheidungen nachvollziehbar vorzubereiten, zu treffen und zu dokumentieren. Dazu definiert der Standard eine Vielzahl an Elementen, die Geschäftsentscheidungen in Teilschritte bzw. Teilaspekte zerlegen. Diese Elemente erzwingen eine klare Formulierung und gute Isolierbarkeit voneinander, was ermöglicht, dass getroffene Entscheidungen anhand ihrer Qualität und Effektivität beurteilt werden können. So ist jeder Zwischenschritt für sich analysierbar, und es wird ermöglicht, für zukünftige Entscheidungen aus den Entscheidungen der Vergangenheit zu lernen.[3]
Das Business Motivation Model ist ein Metamodell.[4] Das heißt, es gibt selbst keine graphische Notation vor, sondern wird mittels einer anderen Modellierungssprache realisiert; es kann auch als Text dargestellt werden.
Entwicklung
Die Business Rules Group, eine sich mit Geschäftsregeln befassende unabhängige Vereinigung, stellte das Business Motivation Model erstmals im November 2000 auf der eigenen Internetpräsenz unter dem Titel Organizing Business Plans: The Standard Model for Business Rule Motivation vor.[5] 2004 wandte sich die Business Rules Group an die Objects Management Group im Rahmen eines Request for Comments, um das Business Motivation Model zu standardisieren.[2]
Im September 2005 gab die Object Management Group dem Request for Comments statt. Vertreter der Industrie sowie andere interessierte Parteien bekamen dadurch die Möglichkeit, Kritik am Entwurf der Business Rules Group zu formulieren. Die OMG äußerte für die Aufnahme als Standard außerdem mehrere Voraussetzungen, die vorher im Entwurf eingearbeitet werden mussten. Darunter zählte, „dass eine explizite Aussage über die von dem Business Motivation Model genutzten Attribute benötigt werde“.[2] Die Business Rules Group setzte dies im Entwurf Release 1.2 um.
Die Arbeiten an Version 1.0 des Standards endeten im September 2007 mit der Zustimmung des OMG Architecture Boards. Im Dezember stimmten die zustimmungspflichtigen Organe der Object Management Group ab, woraufhin das Business Motivation Model in der ersten Version im August 2008 unter der OMG Document Number formal/08-08-02 erschien.[2][6]
Die Version 1.3 des Business Motivation Models erschienen im April 2015.[7]
Struktur
Kernpunkt des Business Motivation Models bildet das Wort Motivation. Das Business Motivation Model erfüllt insbesondere folgende Aufgaben: Es identifiziert die Faktoren, die die Ausarbeitung von Geschäftsplänen motivieren, es identifiziert und definiert die Elemente von Geschäftsplänen, und es zeigt auf, wie all diese Faktoren und Elemente miteinander zusammenhängen.
Die Zusammenhänge zwischen Elementen des BMM werden mittels des UML-Standards modelliert. Vor allem die Generalisierungsbeziehung wird in großem Umfang genutzt.
Zielvorstellung (End)
Die Zielvorstellung eines Unternehmens beschreibt, was das Unternehmen durch seine wirtschaftliche Tätigkeit erreichen will. Hier werden langfristige, strategische Ziele formuliert. Möglich wäre beispielsweise die Erschließung neuer Geschäftsfelder, die Erringung der Marktführerschaft auf einem bestimmten Gebiet oder auch die Beibehaltung der relativen wirtschaftlichen Position zu Konkurrenten. Zielvorstellungen werden zunächst unabhängig von den Mitteln, mit denen sie erreicht werden können, formuliert.

Im Business Motivation Model werden Zielvorstellungen in Visionen (Visions) und angestrebte Ergebnisse (Desired Results) unterteilt. Die Gemeinsamkeit liegt darin, dass sich beide Kategorien damit beschäftigen, welche Sache erreicht werden soll. Der unterschiedliche Detailgrad unterscheidet Visionen von angestrebten Ereignissen.
Eine Vision (Vision) beschreibt den gewünschten allgemeinen und finalen Zustand des Unternehmens – als was sich das Unternehmen sehen möchte oder was es anstrebt zu sein. Eine Vision ist möglicherweise unerreichbar, erstreckt sich über einen großen Bereich des Unternehmens und kann aus vielen Teilen bestehen.
Angestrebte Ergebnisse (Desired Results) hingegen sollten etwas tatsächlich Erreichbares darstellen und klar formuliert sein. Angestrebte Ergebnisse sind eine Kategorie von Zielvorstellungen, die einen gewissen Zustand beibehalten oder verbessern sollen. Sie sind weiter unterteilt in Ziele (Goals) und Zielsetzungen (Objectives).
Ziele und Zielsetzungen unterscheiden sich primär in drei Punkten: Zeitspanne, Genauigkeit und Messbarkeit. Ziele sind langfristig (teilweise ohne definiertes Ende) und allgemein bzw. abstrakt formuliert. Durch diese Abstraktheit ist es möglich, dass Ziele nicht unmittelbar messbar sind. Zielsetzungen hingegen sind kurzfristig, spezifisch-konkret formuliert und deshalb einfacher messbar. Zielsetzungen könnten z. B. den SMART-Kriterien folgen.
Zielsetzungen beurteilen den quantitativen Fortschritt eines Ziels. Deshalb sollten diese Ziele trotz ihrer Allgemeinheit nicht zu oberflächlich formuliert sein, da sonst das Erstellen von adäquaten Zielsetzungen erschwert oder verhindert wird. Formulierungen von Zielsetzungen folgen einem Muster: Sie beinhalten einen Zeitbezug in Kombination mit einem quantifizierenden Substantiv. Beispielsweise könnte ein Unternehmen folgende Zielsetzung definieren: „Innerhalb von 12 Monaten soll der Marktanteil unseres Produkts auf 35 % steigen.“.
Es ist möglich, dass angestrebte Ergebnisse andere angestrebte Ergebnisse mit einem größeren thematischen Sichtfeld beinhalten. Für eine beispielhafte Firma, welche Pizza verkauft, könnte das allgemeine Ziel „Kunden zufriedenstellen“ die untergeordneten Ziele „Pizza gut schmecken lassen“ und „Pizza schnell servieren“ beinhalten.
Mittel (Means)

Die Mittel beschreiben das Vorgehen, das ein Unternehmen gewählt hat, um seine vorher definierten Zielvorstellungen zu erreichen.
„A Means is some 'device, capability, regime, technique, restriction, agency, instrument, or method that may be called upon, activated, or enforced to achieve Ends.' It does not include either the tasks (business processes and workflow) necessary to exploit it, nor responsibility for such tasks.“[8]
Mittel sind unterteilt in Mission (Mission), Handlungsweise (Course of Action) und Direktive (Directives).
Mission (Mission)
Eine Mission beschreibt das operative Geschäft, d. h. die tagesaktuellen Tätigkeiten eines Unternehmens.
Missionen sind das Gegenstück zu Visionen. Deshalb ergeben sich für eine Mission die gleichen Eigenschaften wie für eine Vision. Eine Mission stellt die Tätigkeit dar, die grundlegend (d. h. im Sinne des Tagesgeschäfts) getan werden muss, um eine Vision erfüllen zu können.
Missionen werden durch Strategien geplant und ausgeführt, weshalb die Mission ein geeignetes Maß an Interpretationsspielraum lassen sollte, um gute Bezugspunkte zu ermöglichen.

Die Formulierung einer Mission besteht aus drei Komponenten:
- ein Prädikat (z. B. „herstellen“)
- ein Produkt oder eine Dienstleistung (z. B. „Eiscreme“)
- eine Beziehung auf die Wirtschaft oder auf Kunden (z. B. „Laufkundschaft“)
Handlungsweise (Course of Action)
Eine Handlungsweise beschreibt, was das Unternehmen quantitativ tun wird, um seine Zielvorstellung zu erreichen. Sie steht für eine bestimmte Art, Ressourcen eines Unternehmens (Arbeitsmittel, Betriebsmittel, Geschäftsprozesse) so zu nutzen, dass angestrebte Ergebnisse erreicht werden können. Die Entscheidung darüber, wie Ressourcen eines Unternehmens bestmöglich genutzt werden sollen, bestimmt letztendlich die aufgestellten angestrebten Ergebnisse.
Damit Handlungsweisen effektiv genutzt werden können, ist es sinnvoll, dass diese durch Direktiven gesteuert werden, allerdings können sie auch ohne diese eingesetzt werden.
Handlungsweisen sind in Strategien (Strategies) und Taktiken (Tactics) unterteilt. Den genauen Unterschied zwischen diesen legt jede anwendende Organisation eigenständig fest. Grundsätzlich stellt eine Strategie eine Vorlage mit langer Laufzeit und großem thematischen Abdeckungsbereich dar, welche durch eine oder mehrere Taktiken implementiert und bearbeitet wird. Taktiken sind in ihren thematischen Abdeckungsbereichen so eng wie möglich zu definieren und sollten für nur kurze Zeitspannen gelten.
Eine Strategie stellt eine Reihe von Vorgehen und Vorgängen dar, welche genutzt werden, um ein bestimmtes angestrebtes Ereignis zu erreichen. Dazu gehört das Ausschöpfen aller Kompetenzen und Ressourcen des Unternehmens, vor allem aber auch das Zusammenspiel zwischen diesen. Strategien dienen dazu, Ziele unter Beachtung von Grenzen und Risiken umzusetzen.
Taktiken geben Strategien konkrete Umsetzungspläne und detaillieren diese dementsprechend. Eine Taktik kann mehrere Strategien umsetzen, falls mehrere Strategien thematisch ähnliche Themenbereiche abdecken. Im Allgemeinen benötigt eine Strategie mehrere Taktiken. Der primäre Zweck von Taktiken ist es, Zielsetzungen umzusetzen.
Beispielsweise könnte die Strategie „Mehr Kunden in die Fußgängerzone bringen“ durch die Taktiken „Dekoration aufbauen“ und „Musik bereitstellen“ implementiert werden. Die Taktiken leisten damit einen Beitrag, um die Zielsetzung „50 % mehr Verkäufe an Laufkundschaft bis zum Ende des dritten Quartals“ zu erfüllen.
Direktiven (Directives)
Direktiven geben die Grenzen von Handlungsweisen vor: Direktiven sagen aus, was das Unternehmen unternehmen darf, und was es unterlassen wird. Sie können außerdem konkrete Aussagen darüber enthalten, auf welche Weise etwas unternommen werden darf. Direktiven geben eine Unternehmensstruktur vor bzw. beeinflussen die Handlungen eines Unternehmens in einem großen Umfang. Daher lässt sich sagen, dass Direktiven ausschlaggebend dafür sind, wie ein Unternehmen geführt wird. Die Auswirkung von Direktiven lässt sich direkt in die Formulierung von Handlungsweisen übertragen, womit diese Direktiven als Quelle gelten können.
Direktiven sind zu unterteilen in Geschäftsregeln (Business Rules) und Geschäftsrichtlinien (Business Policies). Direktiven sind als Deklarativsätze zu formulieren.
Eine Geschäftsregel ist in ihrer Formulierung möglichst formell (d. h. Nutzung von Fachvokabular) und kleinteilig bzw. betrifft einen wohldefinierten Bereich der Geschäftstätigkeiten. Geschäftsregeln ermöglichen direkte Ausführbarkeit (practicable governance). „Direkte Ausführbarkeit“ bedeutet, dass eine Geschäftsregel so präzise formuliert zu sein hat, dass für einen gegebenen Fall eindeutig entschieden werden kann, ob einer Geschäftsregel Folge geleistet wurde. Geschäftsregeln beziehen sich sowohl auf Mitarbeiter als auch auf Software.
Eine Geschäftsrichtlinie deckt ein thematisch potenziell großes Spektrum ab und ist in der Formulierung eher informell. Eine Geschäftsrichtlinie kann Aussagen über mehrere Bereiche treffen, welche nicht direkt miteinander in Verbindung stehen. Falls bei einer gegebenen Handlung entschieden werden soll, ob eine Geschäftsrichtlinie befolgt wurde, ist es nötig, Interpretationen anzustellen. Deshalb werden in der Regel Geschäftsregeln aus Geschäftsrichtlinien abgeleitet.
Beispielsweise könnte eine Pizzeria die Geschäftsrichtlinie „Die vom Gesetzgeber aufgestellten Gesetze zur Einhaltung der Hygiene sind zu erfüllen.“ aufstellen. Daraus lassen sich u. a. folgende Geschäftsregeln ableiten: „In der Küche ist die vom Arbeitgeber gestellte Arbeitsbekleidung, inklusive Haarnetze, zu tragen.“ und „Nach dem Nutzen eines Kochutensils ist dieses in den Geschirrspüler zu legen.“.
Einflussfaktoren (Influencers)
Als Einflussfaktor gilt, was innerhalb der Organisation eine Veränderung auslösen kann.
„An Influencer can be anything that has the capability to ‘produce an effect without apparent exertion of tangible force or direct exercise of command, and often without deliberate effort or intent.’“[9]
Einflussfaktoren sollten nicht nur benannt, sondern auch beschrieben werden, um sie mittels Beurteilungen (Assessments) bearbeiten zu können.
Auf die Organisation kann sowohl von innerhalb (internal) als auch von außerhalb (external) Einfluss genommen werden. Wird das Business Motivation Model auf eine Organisationseinheit angewendet, die selbst Teil einer großen Organisation ist, kann auch die Organisation als externer Faktor deklariert werden. Als Einfluss wird eine Veränderung bezeichnet, die durch einen Einflussfaktor entsteht.
Kategorien von Einflussfaktoren
Das Business Motivation Model schlägt für externe und interne Einflussfaktoren mehrere Kategorien von Einflussfaktoren vor, die implementierende Unternehmen benutzen können.[10] Von diesen kann, je nach Bedarf, allerdings auch abgewichen werden.
| Kategorie | Beschreibung |
|---|---|
| Konkurrent | Ein Unternehmen, das im gleichen Sektor wie das vom BMM modellierte agiert und diesem gegenüber Vorteile anstrebt. |
| Kunde | Eine natürliche oder juristische Person, die sich nach Produkten des Unternehmens umschaut, Produkte bestellt, bezahlt oder erhalten hat. |
| Umwelt | Die Zusammenfassung von Faktoren der Umgebung, die das Unternehmen in seiner Existenz oder Entwicklung beeinflussen. |
| Partner | Ein Unternehmen in einer Partnerschaft mit dem eigenen Unternehmen mit einem beidseitigen Vorteil. |
| Regulierung | Eine Anweisung oder Einschränkung von einer höheren Autorität wie einer Regierungsbehörde oder der Unternehmensführung. |
| Lieferant | Ein Unternehmen, welche das eigene Unternehmen mit benötigten Produkten oder Materialien beliefert. |
| Technik | Die Rolle von Techniken, die das eigene Unternehmen einsetzt, sowie deren Entwicklungen und Grenzen. |
| Kategorie | Beschreibung |
|---|---|
| Annahme | Etwas, das ohne Nachweis angenommen wird. |
| Unternehmenswert | Ein Ideal, eine Sitte oder eine Institution, die das Unternehmen fördert oder mit der es einverstanden ist (positiv oder negativ). |
| Expliziter Unternehmenswert | Ein Unternehmenswert, der separat definiert wird. |
| Impliziter Unternehmenswert | Ein Unternehmenswert, der nicht separat definiert wurde, aber trotzdem von den meisten Angestellten verstanden wird. |
| Gewohnheit | Eine übliche Handlung oder Benutzung. |
| Infrastruktur | Die Grundlage von Rahmenbedingungen oder Funktionen eines Systems. |
| Problemstellung | Eine Fragestellung oder ein Sachverhalt, der zwischen konkurrierenden Partnern für Streitfälle sorgt. |
| Geschäftsführungsprivileg | Ein Recht oder Privileg, ausgeführt von Personen mit Inhaberschaft des gesamten Unternehmens oder einer hohen Position. |
| Ressource | Zur Ausführung der operativen Tätigkeiten benötigte Mittel. Insbesondere deren Qualität ist wichtig. |
Beurteilung (Assessment)
Beurteilungen stellen das Ergebnis der Sichtung eines Einflussfaktoren dar. Es wird betrachtet, welche Mittel eingesetzt werden können und welche Zielsetzungen angestrebt werden. Die entstehende Beurteilung kann in einer Veränderung von geplanten Mitteln oder zu erreichenden Zielvorstellungen, oder beidem, resultieren. Dadurch entscheidet eine Beurteilung letztendlich darüber, welche Einflussfaktoren für welche Mittel und Zielvorstellungen relevant sind.
Beurteilungen beruhen auf objektiven Faktoren, besitzen aber dennoch eine subjektive Komponente. Das ergibt sich daraus, dass unterschiedliche Entscheidungsträger (oder sogar dieselben zu unterschiedlichen Zeiten) abweichende Entscheidungen treffen. Das Business Motivation Model erlaubt es, diese durch Entscheidungsträger erstellten Beurteilungen bis zur Ausführung von beeinflussten Mitteln zu verfolgen, um zukünftig besser reagieren zu können. Standardmäßig wird die SWOT-Analyse empfohlen, es sind allerdings auch andere Planungsstrategien möglich.[11]
Kategorien von Beurteilungen
Das Business Motivation Modell gibt standardmäßig eine Einteilung von Beurteilungen nach der SWOT-Analyse vor.[12] Die Kategorien lauten demzufolge Strength, Weakness, Opportunity, Threat, bzw. Stärke, Schwäche, Chance und Risiko.
Mögliche Auswirkung (Potential Impact)
Beurteilungen werden gezwungenermaßen eine Auswirkung auf einen Teilbereich des Unternehmens haben. Daher sind die möglichen Auswirkungen unterteilbar in Risiko (Risk) und möglicher Nutzen (Potential Reward), siehe auch Risikomanagement.
Platzhalter (Placeholders)
Die Rollen der Organisationseinheiten (Organization Unit), Vermögenswerte (Assets), Geschäftsprozesse (Business Process) und Geschäftsregeln (Business Rule) führen innerhalb des Business Motivation Models eine relevante Rolle aus, sind aber aus anderen Standards der Object Management Group entliehen. Dort werden diese auch näher definiert und mit anderen Konzepten in Verbindung gebracht.
Das Business Motivation Model nutzt standardmäßig die Spezifikation des Business Process Model and Notation (BPMN) und Semantics of Business Vocabulary and Business Rules (SBVR), aber Unternehmen können auch alternative Standards nutzen.
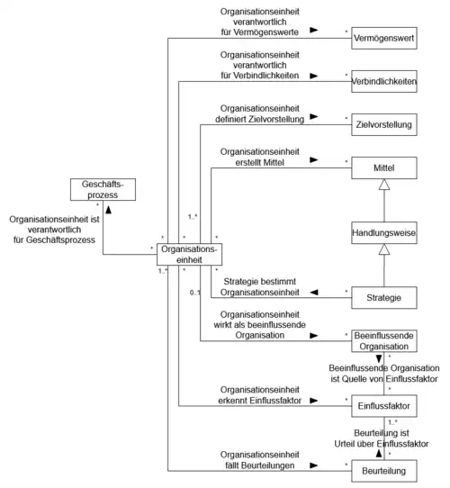
Organisationseinheit (Organization Unit)

Organisationseinheiten stellen die aktiven (d. h. ausführenden) Elemente innerhalb eines Unternehmens dar. Um die Verfolgbarkeit innerhalb des Business Motivation Models zu gewährleisten, ist es wesentlich zu wissen, welche Organisationseinheit bzw. konkret welche Angestellten an einem Teilschritt beteiligt sind. Dementsprechend umfassen Organisationseinheiten die Angestellten mit ihren ausgeführten Aktionen.
Die Angabe von Organisationseinheiten hilft dabei, die konkreten Grenzen des zu modellierenden Unternehmens aufzuzeigen. Zudem ermöglichen derartige Angaben das Identifizieren von besonders relevanten Parteien, also wichtigeren Organisationseinheiten eines Unternehmens oder einzelnen Personen.
Geschäftsprozess (Business Process)
Geschäftsprozesse befassen sich direkt mit der Ausführung von Tätigkeiten. Ein Geschäftsprozess definiert die Abfolge von Arbeitsschritten (u. a. Wiederholungen, Fallunterscheidungen, Nebenläufigkeit), Struktur (Zerlegung, Wiederverwendung), Interaktionen und Verbindungen zu Ereignissen, welche diese Geschäftsprozesse auslösen.

Geschäftsprozesse besitzen folgende Beziehungen:
- Handlungsweisen realisieren
- von Geschäftsrichtlinien bestimmt werden
- von Geschäftsregeln geleitet werden
- Verantwortlichkeit von mehreren Organisationseinheiten sein
Vermögenswerte (Assets) und Verbindlichkeiten (Liability)
Handlungsweisen benötigen Objekte, mit denen sie interagieren können, um operative Tätigkeiten auszuführen. Diese Objekte sind Vermögenswerte des Unternehmens.
Vermögenswerte lassen sich einteilen in zwei Arten:
- Anlagevermögen (fixed asset): Gegenstände, die auf lange Zeit behalten und gewartet werden. Diese können ersetzt werden. Sie können abstrakt wie z. B. Patente oder konkret wie z. B. Gebäude sein.
- Ein Vermögenswert muss nicht zwingend durch einen finanziellen Wert gedeckt werden, sondern z. B. durch Fähigkeiten von Angestellten.
- Ressourcen (resources): Objekte, die konsumiert und erneuert werden, wie beispielsweise Rohstoffe, Bauteile und Geldmittel.
Im Sinne des Business Motivation Models stehen Vermögenswerte nur für die Objekte selbst, statt der Geldwert dieser Objekte, wie es in der Buchhaltung geschieht.
Bestimmte Vermögenswerte, welche vom betrachteten Unternehmen bereitgestellt werden (d. h. produzierte Produkte und Dienstleistungen), werden Angebote (Offerings) genannt. Instanzen dieser Vermögenswerte (z. B. tatsächlich hergestellte Produkte) sind Ressourcen.
Verbindlichkeiten stellen vertraglich festgelegte Verpflichtungen dar. Sie beanspruchen Ressourcen, um gewisse Verpflichtungen zu erfüllen, weshalb diese Ressourcen nicht anderweitig zusätzlich genutzt werden können.
Beispiel
Dieser Abschnitt behandelt das Business Motivation Model in einer beispielhaften Umsetzung für ein Unternehmen – die fiktive Eisdiele „Eisdiele X“.
Diese Eisdiele befindet sich in der Fußgängerzone einer Einkaufsstraße einer Großstadt. Ihre Konkurrenten sind „Eisdiele A“ und „Eisdiele B“. Es gibt innerhalb dieser Einkaufsstraße eine große Anzahl an Laufkundschaft. Eisdiele X stellt vor allem Milcheis her.
Zielvorstellung
Die Vision von Eisdiele X ist: In dieser Einkaufsstraße für die Laufkundschaft die klar bevorzugte Quelle für Eiscreme zu sein.
Was muss erfüllt sein, um diese Vision erfüllen zu können? Das Ziel lautet: Der Preis der Eiscreme muss kompetitiv und die Qualität der Eiscreme gut genug sein, um mehr Kundschaft anzulocken.
Woran kann die Eisdiele erkennen, ob das Ziel erfüllt worden ist? Die Zielsetzung lautet: Bis zum Ende des aktuellen Geschäftsjahres muss mindestens 70 % der Laufkundschaft, welche überhaupt Eiscreme kauft, Kunde der eigenen Eisdiele sein.
Mittel
Die Mission beschreibt im Sinne des Tagesgeschäfts von Eisdiele X, wie die Vision erfüllt werden kann. Sie wird geplant durch Strategien. Die Mission lautet: Innerhalb dieser Einkaufsstraße Eiscreme herstellen und ausgeben.
Strategien beschreiben, was essentiell ist, um Ziele zu erreichen. Was muss getan werden, damit das Ziel, kompetitiver zu werden, erreicht wird? Die Strategie lautet: Die Preise der Konkurrenz beobachten, um kompetitiver zu werden, sowie die Rezepturen anpassen, um mehr Profit zu erzielen.
Taktiken geben an, wie eine Strategie umgesetzt und Zielsetzungen erreicht werden kann. Hier ist es möglich, mindestens zwei Taktiken anzugeben. Taktik 1: Preise der Konkurrenz mit den eigenen Preisen vergleichen und Differenzen feststellen. Taktik 2: Untersuchen, inwiefern hochqualitative, aber dafür teure Inhaltsstoffe in der Eiscreme durch alternative preisgünstigere Inhaltsstoffe ausgetauscht werden können. Taktik 3: Eine Marktanalyse anstellen, um nicht nur die lokalen Gegebenheiten zu betrachten, sondern um ein Bild des stadtweiten Marktes zu bekommen.
Direktiven
In welcher Weise ist die Operation der Eisdiele eingeschränkt? Welche Vorgaben gibt es von Behörden? Was sind firmeneigene Regeln und Richtlinien?
Folgende Geschäftsrichtlinien definiert Eisdiele X:
- Mitarbeiter haben gepflegt auf ihrer Arbeitsstelle zu erscheinen.
- Hygiene bezüglich der Eisportionierungsutensilien steht im Vordergrund.
- Bei der Arbeit sind keine Ablenkungen erlaubt.
- Gesetzliche Auflagen sind einzuhalten.
Daraus lassen sich dann beispielsweise diese Geschäftsregeln ableiten:
- Milcheis muss mindestens 70 % Milchgehalt vorweisen.
- Bei der Arbeit an der Eistheke sind Haarnetze zu tragen, wenn die Haarlänge 10 cm überschreitet.
- Es ist während der Arbeit stets Arbeitskleidung zu tragen.
- Während der Arbeitszeit sind Mobiltelefone zu verschließen.
- Ein Eisportionierer ist abzuwaschen, nachdem ein Kunde bedient worden ist.
- Ein Eisbehälter sollte immer zu mindestens 25 % gefüllt sein.
Einflussfaktoren
Eine Einkaufsstraße ist ein komplexes Umfeld, weshalb auch Eisdiele X viele Einflussfaktoren zu berücksichtigen hat.
| Kategorie | Beschreibung |
|---|---|
| Konkurrent | Eisdiele A und Eisdiele B möchten womöglich dasselbe wie Eisdiele X. |
| Kunde | Die Laufkundschaft in der Einkaufsstraße möchte Eis kaufen. |
| Umwelt | Das Wetter wird den Verkauf beeinflussen. |
| Regulierung | Die Speiseeisverordnung gibt wesentliche Gesetze vor. |
| Lieferant | Der Großhandel beliefert Eisdiele X mit Milch und anderen Inhaltsstoffen. |
| Kategorie | Beschreibung |
|---|---|
| Annahme | Ohne Veränderungen ist kein finanzieller Wachstum möglich. |
| Gewohnheit | Die Leitung des Geschäfts wird von einem Familienmitglied der Gründer übernommen. |
| Problemstellung | Welcher Prozentsatz des verkauften Eises kann vor Ort hergestellt werden? |
| Infrastruktur | Tiefkühlschränke, Kassensystem |
| Expliziter Unternehmenswert | Die Eisdiele stellt qualitativ hochwertiges Eis her und verlangt niedrige bis mittlere Preise. |
| Geschäftsführungsprivileg | Die Familie des Ladeninhabers darf Anweisungen erteilen. |
| Ressource | Angestellte der Eisdiele |
| Ressource | Eiscreme-Rezept |
Beurteilung
Da das BMM keine Analysemethode explizit vorschreibt, nutzt das Beispiel exemplarisch die SWOT-Analyse. Beurteilungen könnten zum Beispiel folgende sein:
| SWOT | Beschreibung | Beeinflusst |
|---|---|---|
| Stärke | Die Angestellten der Eisdiele sind kundennah und stets motiviert. | Kunden kaufen gerne in der Eisdiele. |
| Schwäche | Eisdielen sind stark vom Wetter abhängig. | Bei schlechtem Wetter gibt es kaum Verkäufe. |
| Chance | Eisdiele B hat finanzielle Not. | Eisdiele X kann Eisdiele B verdrängen oder aufkaufen. |
| Risiko | Eine weitere Eisdiele eröffnet unweit von Eisdiele X. | Der Profit von Eisdiele X könnte sinken. |
Mögliche Auswirkungen
Jede getroffene Beurteilung könnte Risiken und mögliche Nutzen mit sich bringen. Exemplarisch sind ein möglicher Nutzen und ein Risiko dargestellt.
| Beurteilung | Beschreibung | |
|---|---|---|
| Möglicher Nutzen | Chance: Eisdiele B hat finanzielle Not. | Eisdiele X könnte die Übernahme ausführen und Eisdiele B unter dieselbe Unternehmensführung stellen oder die Filiale umfunktionieren. |
| Risiko | Schwäche: Eisdielen sind stark vom Wetter abhängig. | Eine lange Regenzeit könnte im Sommer für einen starken Rückgang an Kunden sorgen und die Existenz von Eisdiele X gefährden. |
Weblinks
Spezifikationen
- OMG Business Motivation Model, Version 1.3 (englisch; PDF, 1.4 MB)
- OMG Semantics Of Business Vocabulary And Business Rules, Version 1.5 (englisch; PDF, 6,3 MB)
Weitere
Siehe auch
Einzelnachweise
- ↑ Business Motivation Model. (PDF; 1,4 MB) OMG Document Number: formal/2015-05-19. Object Management Group, Mai 2015, S. 1, abgerufen am 3. Dezember 2021 (englisch).
- ↑ a b c d The Business Motivation Model. In: Business Rules Group. Abgerufen am 3. Dezember 2021.
- ↑ What is Business Motivation Model (BMM)? Abgerufen am 3. Dezember 2021.
- ↑ Business Motivation Model. Abgerufen am 5. Dezember 2021.
- ↑ BRG: Who Are We? Abgerufen am 5. Dezember 2021.
- ↑ About the Business Motivation Model Specification Version 1.0. Abgerufen am 5. Dezember 2021.
- ↑ About the Business Motivation Model Specification Version 1.3. Abgerufen am 5. Dezember 2021.
- ↑ Business Motivation Model. (PDF; 1,4 MB) OMG Document Number: formal/2015-05-19. Object Management Group, Mai 2015, S. 23, abgerufen am 3. Dezember 2021 (englisch).
- ↑ Business Motivation Model. (PDF; 1,4 MB) OMG Document Number: formal/2015-05-19. Object Management Group, Mai 2015, S. 38, abgerufen am 3. Dezember 2021 (englisch).
- ↑ Business Motivation Model. (PDF; 1,4 MB) OMG Document Number: formal/2015-05-19. Object Management Group, Mai 2015, S. 39–43, abgerufen am 3. Dezember 2021 (englisch).
- ↑ Business Motivation Model. (PDF; 1,4 MB) OMG Document Number: formal/2015-05-19. Object Management Group, Mai 2015, S. 14, abgerufen am 3. Dezember 2021 (englisch).
- ↑ Business Motivation Model. (PDF; 1,4 MB) OMG Document Number: formal/2015-05-19. Object Management Group, Mai 2015, S. 47–49, abgerufen am 3. Dezember 2021 (englisch).