Bremelanotid
| Bremelanotid | ||
|---|---|---|
| ||
| Strukturformel | ||
| Masse/Länge Primärstruktur | 7 Aminosäuren (zyklisch), 1025 Dalton | |
| Bezeichner | ||
| Externe IDs |
| |
Bremelanotid ist ein Arzneistoff aus der Gruppe der Melanocortinrezeptor-Agonisten. Es wurde im Juni 2019 in den USA unter dem Handelsnamen Vyleesi (Zulassungsinhaber: AMAG Pharmaceuticals) zur Behandlung der sogenannten hypoaktiven sexuellen Regulationsstörung bei Frauen vor den Wechseljahren zugelassen.[1]
Entwicklung
Anfänglich zur Erhöhung der Bräunungsfähigkeit von Selbstbräunungscremes vorgesehen, wurden in Tests unerwartete Wirkungen wie erhöhtes sexuelles Verlangen und das Auftreten von Erektionen beobachtet.[2][3] Im Gegensatz zu PDE-5-Hemmern wie z. B. Sildenafil (Viagra) wirkt Bremelanotid nicht über die Förderung der Durchblutung, sondern durch Stimulierung des sexuellen Verlangens im Gehirn (aphrodisierende Wirkung).
Die Firma Palatin Technologies testete zunächst ein Nasenspray mit dem Wirkstoff. Die Entwicklung wurde jedoch nach der Phase II der klinischen Prüfung wegen der Nebenwirkungen (erhöhter Blutdruck, Übelkeit und Erbrechen) eingestellt. Es folgten Versuche mit einer subkutan anzuwendenden Formulierung mit dem Ziel, die Nebenwirkungen zu reduzieren.[3][4]
2019 wurde das Arzneimittel unter dem Namen Vyleesi von der Food and Drug Administration zugelassen.[5] Das von AMAG Pharmaceuticals vertriebene Produkt wird ab September 2019 in den USA verkauft. Für die EU ist es nicht zugelassen.[6] Das Mittel wird subkutan injiziert.
Chemische Struktur
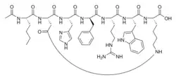
Bremelanotid ist ein cyclisches Heptapeptid-Lactam mit der Primärstruktur Ac-Nle-cyclo[Asp-His-D-Phe-Arg-Trp-Lys]-OH und ein Metabolit des Melanotan II.[2] Bremelanotid unterscheidet sich von Melanotan II nur durch eine C-terminale Hydroxygruppe anstelle der Amidgruppe.
Einzelnachweise
- ↑ U.S. Food and Drug Administration - Office of the Commissioner: FDA approves new treatment for hypoactive sexual desire disorder in premenopausal women. 21. Juni 2019, abgerufen am 24. Juni 2019 (englisch).
- ↑ a b Mac E. Hadley, Robert T. Dorr: Melanocortin peptide therapeutics: historical milestones, clinical studies and commercialization. In: Peptides. Band 27, Nr. 4, 2006, S. 921–930, PMID 16412534, doi:10.1016/j.peptides.2005.01.029.
- ↑ a b Palatin Technologies: Bremelanotide for Female Sexual Dysfunction. ( vom 26. Januar 2016 im Internet Archive)
- ↑ U.S. National Institutes of Health: 4 studies found for: Bremelanotide. Auf: clinicaltrials.gov; zuletzt abgerufen am 21. Januar 2016.
- ↑ FDA lässt Bremelanotid bei sexueller Hypofunktion zu. Auf: deutsche-apotheker-zeitung.de vom 27. Juni 2019; zuletzt abgerufen am 26. Mai 2021.
- ↑ Daniela Hüttemann: Neues Medikament für mehr Lust bei Frauen. Auf: pharmazeutische-zeitung.de vom 24. Juni 2019; zuletzt abgerufen am 26. Mai 2021.
Weblinks
- Informationen des Zulassungsinhabers (englisch)
- SPON vom 24. Juni 2019: Lustmittel „Vyleesi“ für Frauen zugelassen - Aktienkurs steigt
