Biodiesel
| Biodiesel | |||||||
|---|---|---|---|---|---|---|---|
![]() Biodieselprobe | |||||||
| Andere Namen |
Fettsäuremethylester (FAME), „Fettsäuren, C16–18- und C18-ungesättigt, Methylester“[1] | ||||||
| Kurzbeschreibung | Kraftstoff für selbstzündende Kolbenmotoren (Dieselkraftstoffe), Lösungsmittel | ||||||
| Herkunft |
biosynthetisch | ||||||
| CAS-Nummer | |||||||
| Eigenschaften | |||||||
| Aggregatzustand | flüssig | ||||||
| Viskosität |
7,5 mm²/s (bei 20 °C)[2] | ||||||
| Dichte |
(0,875 … 0,885) kg/L (bei 20 °C)[1] | ||||||
| Heizwert |
37 MJ/kg[3] | ||||||
| Brennwert |
40 MJ/kg[4] | ||||||
| Cetanzahl |
54–56 CZ[5] | ||||||
| Schmelzbereich | −10 °C[1] | ||||||
| Siedebereich | |||||||
| Flammpunkt |
173 °C[1] | ||||||
| Zündtemperatur | circa 250 °C[6] | ||||||
| Sicherheitshinweise | |||||||
| |||||||
| Soweit möglich und gebräuchlich, werden SI-Einheiten verwendet. Wenn nicht anders vermerkt, gelten die angegebenen Daten bei Standardbedingungen. | |||||||
Biodiesel (seltener Agrodiesel), chemisch Fettsäuremethylester, ist ein Kraftstoff, der in der Verwendung dem mineralischen Dieselkraftstoff gleichkommt. Die chemische Industrie gewinnt Biodiesel durch Umesterung pflanzlicher oder tierischer Fette und Öle mit einwertigen Alkoholen wie Methanol oder Ethanol.
Biodiesel mischt sich mit Petrodiesel in jedem Verhältnis. Viele Länder verwenden daher Biodiesel als Blendkomponente für herkömmlichen Dieselkraftstoff. Seit 2009 wird in Deutschland herkömmlichem Diesel bis zu 7 % Biodiesel beigemischt, an Tankstellen als „B7“ gekennzeichnet. Durch den Rückgang der steuerlichen Förderung seit Januar 2013 sank der Absatz von Biodiesel als Reinkraftstoff in Deutschland erheblich.
Im Vergleich zu Diesel auf Mineralölbasis verursacht Biodiesel weniger Emissionen, obwohl die Rohemissionen von Stickoxiden höher liegen. Er wird aus nachwachsenden Rohstoffen gewonnen, ist biologisch abbaubar und hat gute Schmiereigenschaften, was bei der Verwendung von schwefelarmem Diesel ein Vorteil ist.
Biodiesel ist der Biokraftstoff, der bislang den größten Beitrag zur Versorgung des Verkehrssektors in der Europäischen Union geleistet hat. Gegen Ende des 20. Jahrhunderts gab es einen breiten gesellschaftlichen Konsens zur Einführung und Ausbau der Biodieselversorgung, da er als nachhaltig und klimaschonend galt. Der wachsende Verbrauch führte im Laufe der Jahre zu einem internationalen Biodieselhandel, der zum Teil verbunden war mit dem Ausbau landwirtschaftlicher Flächen, etwa durch Brandrodung. Die gesellschaftliche Akzeptanz eines flächendeckenden Einsatzes hängt davon ab, ob die eingesetzten Rohstoffe nachhaltig bereitgestellt werden und nicht in Nutzungskonkurrenz mit der Nahrungs- und Futtermittelproduktion geraten oder zum Aussterben von Arten führen.
Nomenklatur
Biodiesel besteht aus dem Begriff Diesel, einem Deonym nach Rudolf Diesel, und dem Präfix Bio. Dies weist nicht auf eine Herkunft aus ökologischer Landwirtschaft hin, sondern auf den pflanzlichen oder tierischen Ursprung, im Gegensatz zu Mineralöl. Teilweise wird deswegen der Begriff Agrodiesel verwendet, wobei eine Verwechslungsgefahr mit dem Begriff Agrardiesel besteht. Dieser bezeichnet Diesel, der in landwirtschaftlichen Fahrzeugen und Arbeitsmaschinen verwendet und teilweise steuerlich rückvergütet wird.[8]
Die Norm EN 14214 beschreibt die Mindestanforderungen an Fettsäuremethylester für die Verwendung dieser Stoffklasse als Biodieselkraftstoff. In der Norm wird zwar kein Rohstoff für die Herstellung der Fettsäuremethylester direkt vorgegeben, im Gegensatz zur US-amerikanischen Norm ASTM D 6751 limitieren jedoch die Grenzwerte für Parameter wie der Oxidationsstabilität, der Iodzahl und dem Anteil mehrfach ungesättigter Fettsäuren indirekt die Rohstoffzusammensetzung. Nach EN 14214 ist FAME nach der englischen Bezeichnung Fatty Acid Methyl Ester die übergreifende Abkürzung aller Methylester auf Basis von Pflanzen- und Tierölen. Je nach Art des verwendeten Pflanzenöls wird unterschieden in Palmölmethylester (PME), wobei Fahrzeughandbücher der 1990er Jahre die Abkürzung PME auch für Pflanzenöl-Methyl-Ester verwenden, Sonnenblumenmethylester, Rapsölmethylester (RME), auch Rapsmethylester oder Rapsdiesel genannt und Sojaölmethylester (SME). Daneben sind Methylester auf Basis von Altfetten und Tierfetten erhältlich, etwa Altfettmethylester (AME), und Tierfettmethylester (FME).
Biodiesel gilt als alternativer Kraftstoff der ersten Generation, für die nur das Öl, der Zucker oder die Stärke der Frucht verwendet wird. Bei Kraftstoffen der zweiten Generation wird die vollständige Pflanze verwendet.[9]
Blends, also Mischungen von Biodiesel mit mineralischem Diesel, werden mit einem B und einer Zahl von 1 bis 99 bezeichnet, wobei die Zahl den prozentualen Anteil von Biodiesel im Blend angibt. B100 ist nach dieser Nomenklatur die Bezeichnung für reinen Biodiesel.
Geschichte

Die Herstellung von Biodiesel durch Umesterung von pflanzlichen Ölen mit alkoholischer Kalilauge beschrieb Patrick Duffy bereits im Jahr 1853 – Jahre bevor Rudolf Diesel den Dieselmotor entwickelte.[10][11] Als Zielprodukt galt das bei der Umesterung freiwerdende Glycerin, das als Grundstoff für die Herstellung von Glycerinseife diente.
Über den Einsatz von reinem Pflanzenölkraftstoff für Dieselmotoren berichtete Rudolf Diesel im Rahmen der Weltausstellung im Jahr 1900 in einem Vortrag vor der Institution of Mechanical Engineers of Great Britain:
„Auf der Pariser Weltausstellung 1900 wurde ein kleiner Dieselmotor des Herstellers Otto gezeigt, der auf Anforderung der französischen Regierung auf Arachidöl (einem aus Erdnüssen gewonnenen Öl) lief, und er arbeitete so problemlos, dass nur sehr wenige Leute darauf aufmerksam wurden. Der Motor war für den Gebrauch von Mineralöl konstruiert und arbeitete dann ohne Änderungen mit Pflanzenöl.“
Während des Zweiten Weltkriegs untersuchten viele Nationen den Einsatz reiner Pflanzenöle als Motorkraftstoff. Belgien, Frankreich, Italien, das Vereinigte Königreich, Portugal, Deutschland, Brasilien, Argentinien, Japan und die Republik China testeten und verwendeten Pflanzenöle als Dieselersatz. Brasilien limitierte etwa die Ausfuhr von Rapsöl, China nutzte Tungöl als Kraftstoffersatz.[12] Die japanische Marine betrieb eines ihrer größten Schlachtschiffe, die Yamato, wegen Kraftstoffknappheit teilweise mit raffiniertem Sojaöl.[13]
Der Einsatz reiner Pflanzenöle führte aufgrund der gegenüber Diesel höheren Viskosität zu motortechnischen Problemen, da die verminderte Kraftstoffzerstäubung erhöhte Rußablagerungen verursachte. Wissenschaftler und Ingenieure untersuchten verschiedene technische Lösungsansätze zur Reduktion der Viskosität wie das vorherige Erwärmen des Kraftstoffs, die Mischung des Pflanzenöls mit anderen Kraftstoffen, die Pyrolyse, das Emulgieren und die Umesterung, die schließlich zum Biodiesel führte.[12]
Die Arbeiten des Belgiers George Chavanne von der Universität Brüssel führten zur erstmaligen Nutzung von Biodiesel als Kraftstoff im Straßenverkehr.[12] Am 31. August 1937 wurde ihm das belgische Patent 422,877 zur Umesterung von Pflanzenölen mit Ethanol und Methanol zur Verbesserung deren Eigenschaften zur Nutzung als Motorkraftstoff erteilt.[14] Belgische Verkehrsbetriebe testeten 1938 erfolgreich einen nach diesem Verfahren erzeugten Biodiesel auf Palmölbasis beim Betrieb einer Buslinie zwischen Brüssel und Leuven.[15][16]
In der Nachkriegszeit geriet aufgrund der leicht erschließbaren Rohölvorkommen und der damit verbunden hohen und preiswerten Verfügbarkeit von mineralischen Kraftstoffen die Anwendung von Biodiesel jedoch in Vergessenheit. Erst im Zuge der Ölkrise der 1970er Jahre geriet die Nutzung von Pflanzenölen als Kraftstoff wieder in den Fokus. Untersuchungen zur Produktion und Verwendung von Biodiesel fanden in den 1970er Jahren in Brasilien und Südafrika statt. Im Jahr 1983 wurde der Prozess für die Produktion von Biodiesel in Kraftstoffqualität international veröffentlicht.[17] Das Unternehmen Gaskoks in Österreich errichtete 1989 die erste kommerzielle Biodieselanlage in Europa mit einer Jahreskapazität von 30.000 Tonnen nach einem südafrikanischen Patent. 1993 erhielt Joosten Connemann der Ölmühle Connemann ein Patent für ein Verfahren, mit dem Biodiesel in einem kontinuierlichen Prozess aus Rapsöl und anderen Pflanzenölen gewonnen werden kann. Im Jahr 2007 arbeiteten die zwölf größten Anlagen weltweit nach diesem Verfahren.[18] Seit den 1990er Jahren bauten Investoren in Europa viele Biodieselanlagen und bereits im Jahr 1998 führten 21 europäische Staaten kommerzielle Biodieselprojekte durch. Als erster Staat in den Vereinigten Staaten führte der US-Bundesstaat Minnesota im September 2005 eine Beimischungspflicht von 2 % Biodiesel zum regulären Diesel ein. Seit Mai 2012 ist dort eine zehnprozentige Beimischung Pflicht; bis 2015 ist die Anhebung auf 20 % geplant.[19]
Deutschland regelt den Einsatz von Biodiesel über die Verwendungspflicht laut Biokraftstoffquotengesetz und über Kraftstoffnormen. Ab 2007 galt in Deutschland eine Verwendungspflicht von 4,4 % Biodiesel zu herkömmlichem Diesel, seit 2009 wird gemäß der Kraftstoff-Norm EN 590 herkömmlichem Diesel bis zu 7 % Biodiesel beigemischt. Im Jahr 2010 betrug der Verbrauch in Deutschland 3,255 Millionen Tonnen Biodiesel.[20] Weiterhin kann aber auch reiner Biodiesel (B100) auf die Biokraftstoffquote angerechnet werden.
Im Zuge der politischen Bemühungen um die Senkung des Kohlenstoffdioxidausstoßes führten zahlreiche weitere Länder eine Quotenverpflichtung ein oder planen dies. Die Europäische Union verbrauchte im Jahr 2010 insgesamt 11,255 Millionen Tonnen Biodiesel. Die größten Verbraucher waren neben Deutschland Frankreich mit 2,536 Millionen Tonnen und Spanien mit 1,716 Millionen Tonnen.[20]
Herstellung

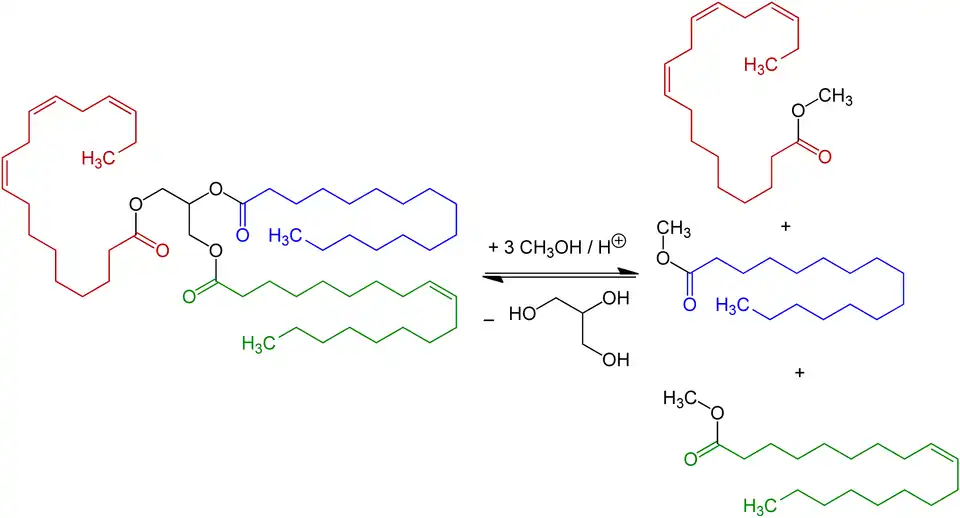
Pflanzliche und tierische Fette und Öle sind Ester des Glycerins mit unverzweigten, gesättigten und ungesättigten Monocarbonsäuren, den Fettsäuren. Die Umesterung dieser Triglyceride mit Methanol, also der Ersatz des dreiwertigen Alkohols Glycerins durch den einwertigen Alkohol Methanol, ist der gebräuchlichste Prozess zur Herstellung von Biodiesel.[21]
Eins der Unternehmen, die Biodiesel in großen Mengen in Deutschland produzieren, ist die Firma Mercuria im Chemiepark Brunsbüttel.[22] Der Einsatz von Methanol erfolgt hauptsächlich aus Kostengründen, technisch eignen sich auch andere einwertige Alkohole wie Ethanol, Propanole und Butanole zur Herstellung von Biodiesel. In Brasilien wird die Umesterung etwa mit dem in großen Mengen verfügbaren Bioethanol vorgenommen.[23] Die Fettsäurebutylester weisen einen tieferen Stockpunkt auf, was besonders beim Einsatz von tierischen Fetten von Vorteil ist.[21]
Die Umesterung wird durch Säuren und Basen katalysiert, wobei sich durch Basenkatalyse höhere Reaktionsgeschwindigkeiten erzielen lassen. Nach der Umesterung folgen als weitere Prozessschritte die Abtrennung von Glycerin und überschüssigem Methanol sowie die Aufarbeitung der Nebenprodukte, etwa die Reinigung des Glycerins. Die Wiedergewinnung von Einsatzstoffen erfolgt durch Destillation des überschüssigen Methanols und Rückführung von Restmengen nicht veresterter Fettsäuren.

Rohstoffe

Als Rohstoff für die Herstellung von Biodiesel eignen sich alle pflanzlichen und tierischen Fette und Öle. Die pflanzlichen Öle werden aus Ölsaaten oder anderen ölhaltigen Teilen von Pflanzen gewonnen. Je nach Klima, Niederschlagsmenge und Sonneneinstrahlung werden verschiedene Öle als Rohstoff bevorzugt.
In Europa wird vorwiegend Rapsöl verwendet, das aus dem Samen von Raps (Brassica napus oleifera) gewonnen wird. Dieser Samen hat einen Ölgehalt von 40 bis 45 %. Die im Rapsöl vorliegenden Fettsäuren weisen eine enge Kohlenstoffkettenverteilung sowie einen konstanten Sättigungsgrad auf. Gewonnen wird das Öl in Ölmühlen durch Pressen des Rapssamens, als Koppelprodukte fallen Rapsextraktionsschrot oder Rapskuchen für die Futtermittelindustrie an. In Deutschland betrug die Menge an so gewonnenem eiweißhaltigen Tierfutter im Jahr 2012 etwa 3,2 Millionen Tonnen, womit rund 37,6 % des deutschen Bedarfs gedeckt wurden.[25]
In Nordamerika stellt Sojaöl den Hauptrohstoff dar, nur ein geringer Teil des Biodiesels wird dort aus Rapsöl produziert. Palmöl ist der Hauptrohstoff für Biodiesel in Südostasien, ergänzend wird dort Kokosöl verwendet. Hinzu kommen geringe Mengen aufbereiteter Pflanzenölreste und in Mitteleuropa Tierfette.[26] Viele weitere Pflanzenöle wurden untersucht und für die Biodieselproduktion eingesetzt, wie Rizinusöl, Sonnenblumenöl und Jatrophaöl.[27][28]
Der im Jahr 2012 in Deutschland produzierte Biodiesel bestand zu 84,7 % aus Rapsöl, zu 10,7 % aus Altspeise- und Tierfetten und zu 3 % aus Sojaöl. Palmöl wurde in Deutschland nur zu 1,6 % verarbeitet.[25] Die Rohstoffe oder deren Mischungen sind so zu wählen, dass die Spezifikationen nach der europäischen Norm EN 14214 beziehungsweise der amerikanischen ASTM D 6751 Norm eingehalten werden.
Im Herbst 2024 stellte ALUR in der Biodieselanlage in Uruguay erstmals Biodiesel aus Brennereimaisöl, einem Abfallprodukt der Bioethanolproduktion, her.[29]
Im Jahr 2016 betrug der Anteil Palmöl, vor allem aus Indonesien und Malaysia, rund 19 %.[30] Dies kann zur Rodung von Regenwald beitragen.[31]
2018 wurde der Biodiesel in Deutschland zu 57,8 % aus Rapsöl, zu 27,0 % aus Altspeisefetten, zu 8,4 % aus Sojaöl, zu 2,3 % aus Palmöl, zu 2,1 % aus tierischen Fetten und zu 2,0 % aus Fettsäuren hergestellt.[32] Die Altspeisefette stammten 2018 jedoch nur zu rund 20 % aus Deutschland, die meisten Altspeisefette werden aus der Volksrepublik China (17,5 %), den Vereinigten Staaten (6,1 %), Indonesien (4,1 %) und Malaysia (3,2 %) importiert.[33]
Das für die Umesterung notwendige Methanol ist eine organische Grundchemikalie und ein großtechnisch hergestellter Alkohol. Die technische Herstellung von Methanol erfolgt ausschließlich in katalytischen Verfahren aus Synthesegas. Das zur Methanolherstellung notwendige Synthesegas kann durch Kohlevergasung aus fossilen Rohstoffen wie Kohle, Braunkohle und Erdölfraktionen oder durch Dampfreformierung oder partielle Oxidation von Erdgas gewonnen werden.[34]
Umesterung
Im Jahr 2012 wurden weltweit etwa 20 Millionen Tonnen Biodiesel hergestellt, entsprechend einer Deckung von etwa 1 % des jährlichen Kraftstoffverbrauchs.[35] Die Herstellung des Biodiesels erfolgt in Batch- oder kontinuierlichen Reaktoren unter saurer oder basischer Katalyse.

Der erste Schritt der Herstellung ist die Umesterung unter Mischung der Methanol-, Katalysator- und Ölphase. Die Lösung wird für mehrere Stunden bei Temperaturen zwischen 50 und 70 °C gehalten, um die Reaktion zu vervollständigen. Nach der Beendigung der Reaktion liegt das Gemisch in zwei Phasen vor. Die leichtere Phase enthält Biodiesel mit Beimengungen von Methanol, die schwerere Phase hauptsächlich Glycerin, überschüssiges Methanol und Nebenprodukte wie freie und neutralisierte Fettsäuren sowie Wasser.
Die Biodieselphase wird abgetrennt und in weiteren Schritten gewaschen um Spuren von Lauge sowie das Methanol zu entfernen, und schließlich durch Destillation getrocknet. Die Glycerinphase muss ebenfalls vor einer weiteren Verwendung gereinigt werden, das überschüssige Methanol wird zurückgewonnen. Die neutralisierte Fettsäure bildet eine Seife. Diese erschwert die Phasentrennung durch Bildung einer Emulsion und muss sauer gestellt werden unter Bildung freier Fettsäuren.
Die Umesterung kann sauer oder basisch katalysiert werden, wobei die Reaktionsgeschwindigkeit bei basischer Katalyse höher ist als bei der Säurekatalyse. Beim Einsatz von Rohstoffen mit einem geringen Gehalt an freien Fettsäuren werden in der technischen Praxis basische Katalysatoren bevorzugt. Als basischer Katalysator eignen sich besonders Natriummethanolat (NaOCH3) und andere Methanolate, die in Methanol gelöst verwendet werden.
Das Methanolat CH3-O− greift an einem der Carbonylkohlenstoffatome des Triglycerids nucleophil unter Bildung eines tetraedrischen Übergangszustands an. Unter Freisetzung des Glycerinats R1-O− bildet sich der Methylester. Das Glycerinat reagiert mit dem im Überschuss vorhandenen Methanol weiter zu Glycerin und Methanolat. Die Reaktionsschritte sind zwar prinzipiell reversibel, durch die Unlöslichkeit des Glycerins in der Methylesterphase wird die Reaktion durch Phasentrennung jedoch auf die Seite des Methylesters verschoben.
Kaliumhydroxid oder Natriumhydroxid eignen sich weniger als Katalysator, da bei der Reaktion mit freien Fettsäuren oder Methanol Wasser freigesetzt wird. Das Wasser reagiert mit dem Zielprodukt Fettsäuremethylester zu freier Säure und Methanol, daher sollte auch der Rohstoff nur geringe Mengen an freiem Wasser enthalten.
Rohstoffe mit einem hohen Gehalt an freien Fettsäuren, die mit einem basischen Katalysator unter Bildung von Seife reagieren, werden mit sauren Katalysatoren wie Schwefelsäure oder Toluensulfonsäure verestert.[21]
Das Methanol wird über das stöchiometrische Verhältnis von Pflanzenöl zu Alkohol hinaus zugegeben, um die Reaktion auf die Seite des Methylesters zu verschieben. In der Praxis hat sich ein etwa zweifacher stöchiometrischer Überschuss von Methanol als geeignet erwiesen.[21] Als Zwischenprodukte bilden sich teilumgeesterte Mono- und Diglyceride, die zum Teil im Biodiesel verbleiben.
Moderne Biodieselanlagen haben eine Produktionskapazität von rund 100.000 bis 200.000 Tonnen pro Jahr.[36]
Alternative Technologien und Rohstoffe

Die Schwerpunkte der Forschung liegen im Bereich Rohmaterialien, Katalyse und Verfahrenstechnik. Da sich alle Fette und Öle als Rohstoffe für die Biodieselherstellung verwenden lassen, wurden zahlreiche neue Fett- und Ölquellen untersucht. So fallen jährlich etwa 10.000 Tonnen Alligatorfett[37] an, die oft als Abfall entsorgt werden. Ein daraus hergestellter Biodiesel erfüllt die amerikanische Biodieselnorm.[38] Auch Abfallfette aus der Hühnerverarbeitung können zu Biodiesel verarbeitet werden.[39]
Große Erwartungen knüpfen sich an Pflanzen wie Jatropha, die sich bei hohen Ölanteilen in Gebieten anbauen lassen, die ansonsten landwirtschaftlich schwer nutzbar sind und daher keine Konkurrenz zur Nahrungsmittelproduktion darstellen.[28] Auch Algen sind aufgrund der hohen Flächenausbeuten interessant, wobei die Gewinnung der Lipide, etwa durch Extraktion, energieaufwendig ist.[40]
Ein weiterer Forschungsschwerpunkt ist die Veränderung der chemischen Struktur von Biodiesel durch Alkenmetathese, um die Siedekurve von Biodiesel der von Diesel anzupassen.[41] Der im Motoröl enthaltene Biodiesel dampft aufgrund seiner höheren Siedetemperatur nicht ab und kann Polymere bilden, die sich als Ölschlamm ablagern. Durch Metathese kann das Siedeverhalten von Biodiesel so verändert werden, dass dieser leichter aus dem Motoröl ausdampfen kann.
Ein Nachteil der derzeitigen Biodieselproduktion durch Umesterung ist die Verwendung homogener Katalysatoren, deren Abtrennung vom Endprodukt aufwendig ist und weitere Produktionsschritte erfordert. Daher wurde der Einsatz heterogener Katalysatoren, die sich leicht vom Endprodukt abtrennen lassen, eingehend untersucht.[42][43] Der Einsatz von ionischen Flüssigkeiten als Katalysatorsystem wurde ebenfalls untersucht.[44]
Eine katalysatorfreie Alternative ohne Einsatz von Kalilauge bietet die Umesterung mit überkritischem Methanol in einem kontinuierlichen Prozess. In diesem Prozess bilden Öl und Methanol eine homogene Phase und reagieren spontan und schnell.[45] Der Prozess ist unempfindlich gegenüber Wasserspuren im Rohmaterial und freie Fettsäuren werden zu Biodiesel verestert. Weiterhin entfällt der Schritt des Auswaschens des Katalysators.[46] Der Prozess erfordert Anlagen für hohe Drücke und Temperaturen, der Gesamtenergieverbrauch ist vergleichbar mit dem herkömmlichen Prozess, da mehrere Prozessschritte entfallen. Ein Vorteil ist unter anderem der geringere Wasserverbrauch.[47]
Die Intensivierung des Mischprozesses der schlecht mischbaren Öl- und Methanolphasen durch Einsatz von Ultraschall wurde vielfach untersucht. Dadurch wurde die Reaktionszeit verkürzt und die Reaktionstemperatur herabgesetzt.[48] Um die Mischbarkeit der Öl-, Methanol- und Katalysatorphase zu erhöhen, wurden Lösungsmittel wie Tetrahydrofuran in großen Überschüssen von Methanol eingesetzt. Dadurch gelang es, bei einer Umsetzungsrate von mehr als 98 % die Reaktionszeit signifikant zu verkürzen.[49] Dieses Verfahren erfordert als zusätzlichen Schritt die Abtrennung des leichtentzündlichen Lösungsmittels.
Ein weiterer Forschungszweig konzentriert sich auf die mikrobielle Produktion von Biodiesel, wobei Mikroorganismen wie Mikroalgen, Bakterien, Pilze und Hefen verwendet werden. Als Rohstoffe dient etwa Hemizellulose, ein Hauptbestandteil pflanzlicher Biomasse.[50][51] Genetisch veränderte und metabolisch optimierte Escherichia-coli-Stämme können Biodiesel im technischen Maßstab de novo aus nachhaltigen Rohstoffen produzieren. Das entstehende Produkt enthält neben Biodiesel auch Fettsäuren und Alkohole.[52]
Enzyme katalysieren ebenfalls die Umesterung von Ölen mit Methanol.[53] Dieses Verfahren erlaubt die Veresterung freier Fettsäuren neben der Umesterung des Öls.[49]
Eigenschaften

Biodiesel ist je nach verwendetem Rohmaterial eine gelbe bis dunkelbraune, mit Wasser kaum mischbare Flüssigkeit mit hohem Siedepunkt und niedrigem Dampfdruck. Im Vergleich zu mineralischem Diesel ist er schwefelärmer und enthält weder Benzol noch andere Aromaten. Im Gegensatz zum Dieselkraftstoff ist Biodiesel unter anderem wegen des höheren Flammpunktes kein Gefahrgut und trägt deshalb keine UN-Nummer.[54] Die Schmiereigenschaften von Rapsmethylester sind besser als von mineralischem Diesel, wodurch sich der Verschleiß der Einspritzmechanik vermindert.[55]
Das Europäische Komitee für Normung hat im Jahr 2003 für Biodiesel (Fettsäuremethylester – FAME) die Norm EN 14214 festgelegt. Diese wurde im Jahr 2010 in einer neuen Fassung vorgelegt. Damit werden Grenzwerte unter anderem für die chemische Zusammensetzung, den Gehalt an anorganischen Bestandteilen wie Wasser, Phosphor oder Alkalimetallen, die Gesamtverschmutzung sowie physikalische Parameter wie die Dichte oder die Viskosität des Biodiesels definiert. Weiterhin sind über die Norm wichtige motortechnische Parameter wie die Oxidationsstabilität, der Cold Filter Plugging Point, die Cetanzahl und der Cloud Point festgelegt. Biodiesel, der aus reinem Soja- oder Palmöl hergestellt wurde, kann die Norm EN 14214 bislang nicht erfüllen, im Gegensatz zu der in den Vereinigten Staaten von Amerika für Biodiesel gültigen Norm ASTM D 6751.[56]
Chemische Zusammensetzung
Die EN 14214 legt den Gehalt an Fettsäuremethylestern, einem Maß für den Grad der Umesterung, die Reinheit und die Qualität des Biodiesels auf mindestens 96,5 % (mol/mol) fest. Der Gehalt an Fettsäuremethylestern wird nach EN 14103 mittels Gaschromatographie bestimmt.[56] Mit derselben Methode wird auch der Gehalt an Linolensäure, einer mehrfach ungesättigten Fettsäure, bestimmt.[56] Der Anteil an ungesättigten Fettsäuren wird außerdem über die Iodzahl ermittelt. Nach EN 14214 ist der Anteil an ungesättigten Fettsäuren auf eine Iodzahl von 120 limitiert, was der Addition von 120 Gramm Iod pro 100 Gramm Biodiesel entspricht.[56] Der Anteil an ungesättigten Fettsäuremethylestern und strukturelle Merkmale, wie die Kettenlängenverteilung der Fettsäuremethylester, sind mit Kraftstoffeigenschaften wie der Cetanzahl und der Oxidationsstabilität verbunden.
Freie Fettsäuren im Biodiesel verursachen Korrosion und bilden mit basischen Komponenten wie Alkali- oder Erdalkalisalzen Seifen. Diese können zu Verklebung und Verstopfung von Filtern führen. Der Anteil der freien Fettsäuren wird über die Säurezahl nach EN 14104 bestimmt, wobei der obere Grenzwert 0,5 Milligramm Kaliumhydroxid pro Gramm Biodiesel beträgt.[56] Der Anteil an Partial- und Triglyceriden ist ein Maß für den Grad der Umesterung, deren Konzentration durch die Reaktionsführung beeinflusst wird. Der Anteil an Triglyceriden ist gewöhnlich am niedrigsten, gefolgt von Di- und Monoglyceriden. Nach EN 14214 darf Biodiesel maximal 0,80 % (mol/mol) Monoglyceride enthalten, die Konzentration an Di- und Triglyceriden sollte unterhalb von 0,2 % (mol/mol) liegen. Der Gehalt an freiem Glycerin sollte kleiner als 0,02 % (mol/mol) sein.[56]
Anorganische Bestandteile
Der Schwefelgehalt von Biodiesel darf 10 ppm nicht überschreiten. Kraftstoffe mit einem Schwefelgehalt von weniger als 10 ppm gelten per Definition als schwefelfrei.[57]
Der Wassergehalt von Biodiesel wird mittels Karl-Fischer-Titration gemäß EN ISO 12937 bestimmt. Da Biodiesel hygroskopisch ist, steigt der Wassergehalt mit dem Transport und der Lagerdauer an. Biodiesel sollte nicht mehr als 300 ppm Wasser enthalten, denn das Wasser reagiert mit dem Methylestern unter Freisetzung von Methanol und Fettsäuren.
Der Gehalt der Alkalimetalle Natrium und Kalium wird nach EN 14538 durch optische Emissionsspektrometrie mit induktiv gekoppeltem Plasma (ICP-OES) bestimmt[58][59][60] und sollte in Summe einen Wert von 5 ppm nicht überschreiten. Die Metalle stammen aus dem basischen Katalysator des Herstellungsprozesses. Die Erdalkalimetalle Calcium und Magnesium stammen aus dem für den Waschprozess der Herstellung verwendeten Wasser. Der Grenzwert liegt in Summe ebenfalls bei 5 ppm.
Der nach EN 14107 bestimmte Phosphorgehalt darf im Biodiesel laut EN 12214 einen Wert von 4 ppm nicht überschreiten. Der Phosphor stammt hauptsächlich aus natürlich im Pflanzenöl vorkommenden Phospholipiden.
Die Gesamtverschmutzung, ein Maß für den Anteil an nicht filtergängigen Partikeln, wird nach EN 12662 bestimmt und muss unterhalb von 24 ppm liegen. Zur Bestimmung wird der Biodiesel filtriert und der Filterkuchen gewogen.
Physikalische und anwendungsspezifische Eigenschaften
Der Flammpunkt liegt über 130 °C und ist damit signifikant höher als bei regulärem Diesel. Als unterer Grenzwert sind 101 °C festgelegt. Die Dichte, der Quotient aus der Masse und dem Volumen eines Stoffes, liegt für Biodiesel bei 0,88 g/cm³, wobei die Spezifikationsunter- und -obergrenzen bei 0,86 und 0,9 g/cm³ liegen. Die Viskosität ist vergleichbar mit der von Diesel. Sie wird bestimmt nach EN 3104 und muss bei 40 °C zwischen 3,5 und 5 mm²/s liegen.
Die Oxidationsstabilität ist eine Kenngröße für die chemische Stabilität des Biodiesels während der Lagerung. Oxidative Abbauprodukte können zu Ablagerungen an den Einspritzpumpen oder zum Filterversatz führen. Die Oxidation des Biodiesels erfolgt durch Luftsauerstoff, der in Radikalreaktionen mit ungesättigten Fettsäuren reagiert und zu Folge- und Abbauprodukten wie Aldehyden, Ketonen, Peroxiden und niedermolekularen Carbonsäuren führt. Die Oxidationsstabilität wird durch die Induktionszeit definiert. Dabei wird eine Biodieselprobe im Luftstrom mehrere Stunden auf einer Temperatur von 110 °C gehalten. Die organischen Bestandteile des Luftstroms werden in Wasser absorbiert, wobei die Leitfähigkeit des Absorbats gemessen wird. Ein auftretender Knickpunkt in der Leitfähigkeitskurve wird als Induktionszeit bezeichnet. Sie muss laut Norm kleiner als 6 h sein.
Mit Cloudpoint wird eine Kälteeigenschaft von Dieselkraftstoff und Heizöl bezeichnet. Er ist die Temperatur in Grad Celsius, bei der sich in einem blanken, flüssigen Produkt beim Abkühlen unter definierten Prüfbedingungen die ersten temperaturbedingten Trübungen bilden. Die Grenzwerte der Spezifikation sind abhängig von der Jahreszeit und liegen zwischen −0,6 und 7,4 °C. Der Cloudpoint von Biodiesel hängt vom eingesetzten Rohmaterial ab und kann ohne Zusatz von Additiven zwischen etwa −10 °C für Rapsmethylester und +16 °C bei Tierfettmethylestern liegen.
Der Temperaturgrenzwert der Filtrierbarkeit (englisch Cold Filter Plugging Point, CFPP) ist die Temperatur, bei der ein Prüffilter unter definierten Bedingungen durch auskristallisierte Stoffe verstopft und somit ein Maß für die Verwendbarkeit bei Kälte ist. Er wird nach der Methode EN 116 bestimmt. Der Parameter lässt sich durch Zusatz geeigneter Additive beeinflussen. Die Grenzwerte sind jahreszeitabhängig und liegen im Winter bei −20 °C und im Sommer bei 7,9 °C.
Ein wichtiger motortechnischer Parameter ist die Cetanzahl von Biodiesel. Sie ist eine dimensionslose Kennzahl zur Beschreibung der Zündwilligkeit. Dabei wird die Zündwilligkeit durch Vergleich mit einem Gemisch von Cetan, einer älteren Bezeichnung für n-Hexadecan, und 1-Methylnaphthalin getestet, wobei der Volumenanteil von Cetan im Vergleichsgemisch der Cetanzahl entspricht. Sowohl die Norm ASTM D 6751 als auch EN 14214 erfordern zur Bestimmung der Cetanzahl einen speziellen Motor oder ein Einzylinder-CFR-Prüfverfahren. Die untere Grenze der Cetanzahl von Biodiesel liegt nach EN 14241 bei 51.[56]
Antriebs- und Fahrzeugtechnik

Herkömmliche Dieselmotoren nutzen kleine Anteile von Biodiesel als Beimischung in mineralischem Diesel problemlos. Ab dem 1. Januar 2007 galt in Deutschland eine Biokraftstoffquote von 5 %, ab 2009 ist eine Quote von 7 % Biodiesel gesetzlich gefordert und wird von den Mineralölgesellschaften umgesetzt. Eine technische Freigabe der Kraftfahrzeughersteller ist hierfür nicht erforderlich.
Für höhere Beimischungen und reinen Biodieselbetrieb muss der Motor biodieselfest sein, belegbar durch technische Freigaben der Fahrzeughersteller.[61] Die mit dem Kraftstoff in Berührung kommenden Kunststoffteile wie Schläuche und Dichtungen müssen beständig gegenüber Biodiesel sein. Diesel neigt zur Sedimentbildung. Die Sedimente lagern sich im Kraftstofftank und den kraftstoffführenden Leitungen ab und sammeln sich dort an. Biodiesel hat gute Lösungsmitteleigenschaften und kann daher im Dieselbetrieb entstandene Ablagerungen aus Tank und Leitungen lösen, die den Kraftstofffilter verstopfen können.[62] Bei grober Verschmutzung kann es zur Beeinträchtigung des Einspritzsystems kommen.[63] In einem nicht biodieseltauglichen Fahrzeug kann er in kurzer Zeit die kraftstoffführenden Schläuche und Dichtungen zersetzen, wobei Dichtungen in der Einspritzanlage und Zylinderkopfdichtungen betroffen sein können. Bei genügend langer Einwirkdauer kann Biodiesel Autolacke angreifen.
Biodiesel zeigt, speziell bei hohem Wasseranteil, eine Tendenz zu mikrobiologischer Verunreinigung. Dadurch entstehen unter anderem Proteine, die schleimige Emulsionen bilden und die Kraftstoffqualität beeinflussen.[64]
Ein Problem stellt der Biodieseleintrag ins Motoröl dar. Wie bei Normaldieselbetrieb gelangt unverbrannter Biodiesel an die Zylinderwand und damit in den Schmierkreislauf. Reiner Dieselkraftstoff beginnt bei circa 55 °C zu verdampfen. Erreicht das Motoröl im Fahrbetrieb diese Temperatur, verdampft der herkömmliche Diesel aus dem Motoröl und wird über die Kurbelgehäuseentlüftung der Ansaugluft beigemengt und verbrannt. Da Rapsmethylester erst ab etwa 130 °C zu verdampfen beginnt und das Motoröl diese Temperatur nicht erreicht, reichert sich Biodiesel im Motoröl an. Durch höhere örtliche Temperaturen im Schmierkreislauf zersetzt sich der Biodieselanteil allmählich unter Verkokung und Polymerisation, was zu festen oder schleimartigen Rückständen führt.[41] Dies und die Verschlechterungen der Schmiereigenschaften bei hoher Biodieselkonzentration im Motoröl können zu erhöhtem Motorverschleiß führen, weswegen der Ölwechsel bei Biodieselbetrieb in kürzeren Intervallen erforderlich ist.[57] Der Betrieb mit Biodiesel kann für moderne Abgasnachbehandlungssysteme problematisch sein, da die im Biodiesel vorhandenen Spuren von Anorganika zu Ablagerungen führen und diese Systeme schädigen können.[65]
Der Energiegehalt von Diesel liegt etwa bei 36 MJ/l, während Biodiesel einen Energiegehalt von 33 MJ/l aufweist.[66] Wegen der geringeren Energiedichte können beim Einsatz von Biodiesel Leistungseinbußen von etwa 5 bis 10 % oder ein ebenso erhöhter Kraftstoffverbrauch auftreten.
Für Biodiesel zugelassene Motoren mit Common-Rail-Technologie können die Einspritzzeit und -menge über einen Sensor optimieren, der dem Motormanagement Informationen vermittelt, welcher Kraftstoff oder welches Kraftstoffgemisch eingesetzt wird. So wird es möglich, unabhängig vom verwendeten Kraftstoff und dessen Mischungsverhältnis die Abgasnormen einzuhalten. Es wurden verschiedene Sensorsysteme auf spektroskopischer Basis oder als Leitfähigkeitsdetektor für die Detektion des Biodieselanteils im Kraftstoff erprobt.[67][68]
Eine Untersuchung der Darmstädter Materialprüfungsanstalt hat gezeigt, dass Korrosionsschutzschichten wie Verzinkung von Biodiesel angegriffen werden können. Kritisch war hierbei, dass Biodiesel leicht hygroskopisch wirkt und bei einem eventuellen Wassergehalt durch Esterhydrolyse freie Fettsäuren entstehen, die den pH-Wert senken und korrosiv wirken können. Durch eine Beimischung konventionellen Diesels wird dieser Effekt vollständig verhindert.[69][70]
Verwendung
Straßenverkehr
Der Verkehrssektor verbrauchte im Jahr 2005 in Deutschland etwa 20 % der Gesamtenergie, wovon wiederum 80 % auf den Straßenverkehr entfielen. Biodiesel hatte mit 70 % im Jahr 2011 den größten Anteil an erneuerbaren Energien im Verkehrssektor.[71] Der Straßenverkehr ist der Bereich, in dem der Einsatz von Biodiesel am weitesten verbreitet ist, Blends wie B5 und B7 sind weltweit Standard. In Deutschland erreichte der Verbrauch an Biodiesel im Straßenverkehrsbereich im Jahr 2007 einen vorläufigen Höhepunkt mit einem Anteil von etwa 7 %.[9]
Die Verkehrsleistung stieg von 1992 bis 2013 im Personenverkehr um 24 % und im Güterverkehrsbereich um 60 %, wobei die Energieeffizienz im gleichen Zeitraum deutlich stieg.[72] Für den Güterverkehr mit schweren Nutzfahrzeugen und Personenkraftwagen mit hohen Kilometerleistungen, die weitgehend mit Dieselmotoren angetrieben werden, wird weiterhin ein starkes Wachstum erwartet, einhergehend mit einem weiteren Anstieg des Anteils von Dieselkraftstoff von 66 bis 76 % am Bedarf von Flüssigkraftstoffen für Verbrennungsmotoren.[72] Durch festgelegte Beimischungsquoten wird dementsprechend der Gesamtbedarf an Biodiesel weiter steigen.
In den Jahren 2018 und 2019 lag die THG-Quote bei 4 % und stieg 2020 auf 6 %. Die Steigerung konnte vor allem durch die gesteigerte Beimischung von hydriertem Pflanzenöl (HVO) erreicht werden. In etwa auf Vorjahresniveau blieben die Mengen an UCOME (Altspeiseölmethylester) inkl. FAME aus Abfall- und Reststoffen (885.000 t) sowie PME (Pflanzenölmethylester) (1.508.000 t).[73]
Schienenverkehr
.jpg)
Der Schienenverkehrssektor stützt sich stark auf Erdöl basierende Kraftstoffe. Daher wurde der Einsatz von Biodiesel und dessen Gemischen mit dem Ziel der Reduzierung der Treibhausgase und der Senkung des Erdölverbrauchs in vielen Ländern untersucht.
Eine Lok der Virgin Voyager Gesellschaft (Zug-Nr. 220007 Thames Voyager) von Richard Branson wurde zur Verwendung eines 20-prozentigen Biodieselgemisches umgebaut.[74] Ein weiterer Zug, der während der Sommermonate auf einer Mischung mit 25 % Biodiesel auf Rapsölbasis laufen soll, wurde im östlichen Teil des US-Bundesstaates Washington eingesetzt.[75]
Die gesamte Flotte der Prignitzer Eisenbahn GmbH fährt seit 2004 mit Biodiesel. Das davor eingesetzte Pflanzenöl konnte für die neuen Triebwagen nicht mehr genutzt werden.[76]
In Indien wurde der Einsatz von Biodiesel auf Jatropha-Basis eingehend untersucht, da diese Pflanze am besten geeignet schien, unter einer Vielzahl von klimatischen Bedingungen zu wachsen.[77] Auch in Litauen wurde der Einsatz von Biodieselblends untersucht. Dabei zeigte sich, dass Diesellokomotiven effizient mit einem B40-Blend auf Rapsölmethylesterbasis arbeiten.[78]
Schifffahrt

Die Verwendung von Biodiesel statt herkömmlichem Diesel für die Berufsschifffahrt oder Wassersportaktivitäten auf Binnengewässern, die als Trinkwasserspeicher dienen, verringert wegen der schnellen biologischen Abbaubarkeit die Gefahr einer Trinkwasserverschmutzung. So wird das Ausflugsschiff Sir Walter Scott auf dem Loch Katrine in Schottland mit Biodiesel betrieben, damit bei einem Unfall die aus diesem See gespeiste Trinkwasserversorgung von Glasgow nicht durch Kontamination mit Kohlenwasserstoffen gefährdet ist, wie dies bei Diesel der Fall wäre. Für den Bodensee soll untersucht werden, ob sich Biodiesel als alternativer Kraftstoff einsetzen lässt. Damit ließe sich ein wesentlicher Beitrag für den Gewässerschutz des Bodensees leisten.[79] Auch das Umweltbundesamt empfiehlt die Verwendung von Biodiesel als Kraftstoff in Sportbooten unter Aspekten des Gewässerschutzes.
Um die generelle Einsatzfähigkeit von Biodiesel in der Schifffahrt zu demonstrieren, wurde der Trimaran Earthrace entwickelt. Er wurde ausschließlich von Biodiesel angetrieben und umrundete im Jahr 2008 die Erde in 60 Tagen, 23 Stunden und 49 Minuten.[80]
Luftverkehr
Der Einsatz von Biodiesel im Luftverkehr befindet sich noch in der Entwicklung, der Betrieb von Verkehrsflugzeugen mit niedrigen Konzentrationen von Biodiesel in Mischungen mit Kerosin scheint ohne wesentliche Änderung am Flugzeug, der Flughafeninfrastruktur oder beim Flugbetrieb technisch machbar zu sein.[81] Die Luftfahrtindustrie verbrauchte im Jahr 2011 etwa 216 Millionen Tonnen Kerosin. Damit könnte die weltweit hergestellte Biodieselmenge etwa 7 % des Verbrauchs ersetzen.[82] Das Unternehmen Green Flight International führte die ersten Flüge durch, bei denen für den Großteil der Strecke reines Biodiesel zum Einsatz kam: 2007 mit dem Kurzstreckenjet Aero L-29 Delfin in Nevada, im folgenden Jahr etwa 4.000 Kilometer quer durch die Vereinigten Staaten.[83]
Bisherige Versuche mit Verkehrsmaschinen vom Typ Boeing 747 verwenden Biodiesel in Mischung mit fossilem Kerosin. Mit einer Biokraftstoff-Beimischung von 20 % fand im Februar 2008 ein Testflug der Fluggesellschaft Virgin Atlantic von London Heathrow Airport nach Amsterdam statt,[84] im Dezember 2008 führte Air New Zealand von Auckland aus einen Testflug durch, bei dem ein Triebwerk von einer Mischung aus Kerosin und 50 % Biokraftstoff aus Jatrophaöl angetrieben wurde. Der Einsatz von Biodiesel bei Bodenfahrzeugen und Flugzeugen würde außerdem die Partikelemissionen auf Flughäfen reduzieren.[85]
Heizöl
Biodiesel kann im Prinzip als Bioheizöl verwendet werden, wobei aufgrund der guten Lösungsmitteleigenschaften hohe Anforderungen an die chemische Beständigkeit der verwendeten Heizanlagenkomponenten gestellt werden. Anders als bisherige Kraftstoffe wird Biodiesel als Heizölersatz nicht durch eine vergleichbare Steuerermäßigung gefördert, da Heizöl ohnehin geringer besteuert wird. Heizöl mit einer Beimischung von 5 bis 20 % Biodiesel ist in Deutschland seit 2008 auf dem Markt und kann aufgrund geeigneter Additive im Heizungsmarkt eingesetzt werden.[86]
Politische Vorgaben
Die Europäische Union ist, besonders im Verkehrsbereich, abhängig von auf Mineralöl basierenden Kraftstoffen. Bereits seit der Ölkrise in den 1970er Jahren nahm die allgemeine Besorgtheit über die Abhängigkeit von Rohölimporten zu. Die Berichterstattung über die globale Erwärmung, besonders seit der Klimakonferenz in Kyōto, regte zudem vielseitige Diskussionen über den Einfluss von Kohlenstoffdioxidemissionen auf das Klima an.
Europäische Union
Die Nutzung von Biodiesel in der EU wird über politische Maßnahmen mit dem grundlegenden Ziel des vermehrten Einsatzes erneuerbarer Energiequellen gesteuert. Diese Politik verfolgt die EU aus ökologischen Gründen wie der Reduktion von Treibhausgasen und der Verminderung lokaler Umweltbelastungen durch Abgasemissionen, der Schaffung von Arbeitsplätzen und Einkommen und um einen Beitrag zu einer sicheren Energieversorgung zu leisten.[87] Aus diesen Gründen formulierte die Europäische Kommission im Jahre 1997 in einem Weißbuch das Ziel, den Anteil erneuerbarer Energien am gesamten Primärenergieverbrauch bis zum Jahre 2010 auf 12 % zu verdoppeln.[88] In einem im Jahr 2000 herausgegebenen Grünbuch legte die Kommission weiterhin eine Strategie für die europäische Energieversorgungssicherheit fest.[89] Mit ihrer Biokraftstoffrichtlinie gab die Europäische Union einen Stufenzeitplan für die gesteckten Ziele bei der Deckung des Kraftstoffverbrauchs durch Biokraftstoffe vor. Alle Mitgliedstaaten sollten ihren Kraftstoffverbrauch im Verkehrssektor bis zum Jahr 2005 zu 2 % mit Biokraftstoffen abdecken. Ab 2010 sollten es 5,75 %, bis 2020 sollten es 10 % sein. Dies konnte durch Verwendung von Biotreibstoffen in Reinform, als Beimischung oder durch Einsatz anderer erneuerbarer Energien erfolgen.[90] Diese Richtlinie enthielt eine Ermächtigung der Mitgliedstaaten, die Besteuerung von Biokraftstoffen in Hinblick auf deren Ökobilanz anzupassen. Daraufhin begann eine intensive Diskussion über die Ökobilanzierung von Biodiesel in Deutschland und auf europäischer Ebene.[87] Die Internationale Organisation für Normung publizierte die dazugehörige Methodik in der Norm ISO 14044, die den Standard für eine ISO-konforme Ökobilanzierung darstellt.
Des Weiteren wurde am 27. Oktober 2003 die Energiesteuerrichtlinie in Kraft gesetzt.[91] Sie ist die rechtliche Basis für die nationalen Verordnungen und Gesetze in Bezug auf Steuervergünstigungen für Biokraftstoffe. Die Richtlinie war nur sechs Jahre gültig, konnte aber bei Bedarf zeitlich ausgedehnt werden. Den Mitgliedstaaten wurde freie steuerliche Gestaltung zugesichert, solange die umweltpolitischen Ziele erreicht wurden. Die Mitgliedstaaten meldeten den Fortschritt an die Europäische Kommission, die wiederum an das Europäische Parlament berichtete.[87]
Im Rahmen einer Politik zur Förderung erneuerbarer Energiequellen legte die Europäische Kommission im Jahr 2005 einen Aktionsplan für Biomasse vor mit dem Ziel, die Wettbewerbsfähigkeit, die nachhaltige Entwicklung und die Versorgungssicherheit zu gewährleisten und die Abhängigkeit Europas von Energieeinfuhren zu verringern.[92] Der Aktionsplan wurde im Jahr 2006 durch eine Strategie der Europäischen Union für Biokraftstoffe ergänzt. Die Strategie diente der Förderung von Biokraftstoffen in der EU und in Entwicklungsländern, wobei die Erforschung von Biokraftstoffen der zweiten Generation einbezogen wurde.[93]
Die Erneuerbare-Energien-Richtlinie vom 23. April 2009 ersetzte die Biokraftstoffrichtlinie und hob sie auf. Mit dieser Richtlinie legten die Mitgliedstaaten der Europäischen Union verbindlich den bis zum Jahr 2020 zu erreichenden Anteil von erneuerbaren Energien am Gesamtenergieverbrauch fest. Als Ziel sollte bis zu diesem Jahr der Anteil von erneuerbaren Energien bei mindestens 20 % liegen.[94] Tatsächlich lag der Anteil erneuerbarer Energien in der EU bereits 2019 bei 19,7 % und soll bis 2030 weiter gesteigert werden auf 32 %.[95]
Ein kontrovers diskutiertes Thema ist der Einfluss der indirekten Landnutzungsänderung (englisch: indirect Land Use Change (impacts of biofuels), iLUC). Sie bezeichnet den Effekt, dass die Anpflanzung von Biomasse, etwa zur Palmölgewinnung für Biodiesel, die Flächennutzung für die Nahrungs- oder Futtermittelproduktion verdrängt. Im Jahr 2011 forderte eine Studie des International Food Policy Research Institute (IFPRI) eine Verschärfung der Berechnung der Klimabilanz unter Berücksichtigung der indirekten Landnutzungsänderung.[96] Der Modellansatz des IFPRI beruht auf komplexen ökonometrischen Gleichgewichten, andere Modellansätze führen zu anderen Ergebnissen. Bei Biodiesel liegt die Bandbreite der berechneten zusätzlichen Emissionen zwischen 1 und 1434 gCO2/MJ.[97][98] Die meisten Modelle führen jedoch zu dem Schluss, dass sich bei Einbeziehung der indirekten Landnutzungsänderung in die Ökobilanz gegenüber den bisherigen Berechnungen höhere Emissionen ergeben.[9]
Deutschland

Deutschland verpflichtete sich bereits im Jahr 1997 im Rahmen des Kyoto-Protokolls seine Emissionen in der ersten Verpflichtungsperiode von 2008 bis 2012 gegenüber 1990 um durchschnittlich 5,2 % zu reduzieren, etwa durch die Förderung von nachwachsenden Rohstoffen für energetische Zwecke. Vor dem Jahr 2003 wurden reine Biokraftstoffe wie Pflanzenöl oder Biodiesel gar nicht oder nur geringfügig durch die Mineralölsteuer belastet. Eine Änderung des Mineralölsteuergesetzes stellte zum 1. Januar 2004 Biodiesel formal dem Petrodiesel gleich, der Steueranteil auf Biodiesel betrug zunächst 0 Cent pro Liter.[87] Ab 2003 führte der Gesetzgeber die Beimischungspflicht ein, der Beimischungsanteil von 5 % wurde ebenfalls steuerbegünstigt. Viele, vor allem gewerbliche Verkehrsteilnehmer, zogen einen wirtschaftlichen Vorteil aus dieser Regelung, der Marktanteil für Biodiesel stieg in der Folge stark an. Die daraus resultierenden Steuerausfälle führten in der Folge zur Reduzierung der steuerlichen Vorteile und zur Formulierung von erweiterten gesetzlichen Beimischungsquoten, um die Ziele bezüglich der Reduktion von Treibhausgasen einzuhalten.
Das 2006 vom Bundestag verabschiedete Biokraftstoffquotengesetz schrieb vor, dass der Anteil an Biokraftstoffen bis 2010 auf 6,75 % und bis 2015 auf 8 % steigen sollte. Das Gesetz stellte Anforderungen an eine nachhaltige Bewirtschaftung landwirtschaftlicher Flächen und zum Schutz natürlicher Lebensräume und forderte bestimmtes Kohlenstoffdioxidverminderungspotenzial.(§ 1) Durch das Gesetz zur Änderung der Förderung von Biokraftstoffen vom 15. Juli 2009 wurde beschlossen, diese Quote 2009 bei 5,25 % zu belassen und ab 2010 bei 6,25 % einzufrieren.[99] Bereits seit 2004 durfte herkömmlicher Mineralöldiesel mit bis zu 5 % Biodiesel vermischt werden, seit Februar 2009 erlaubte eine neue Dieselnorm die Beimischung von bis zu 7 %. Seit dem 1. Januar 2011 wird der Anteil von Biodiesel, der aus Altspeisefetten und tierische Altfetten hergestellt wurde, gegenüber dem Anteil von Raps-, Soja- oder Palmölmethylester doppelt gewichtet auf die Biokraftstoffquote angerechnet.
Der Bundestag verabschiedete am 29. Juni 2006 das Energiesteuergesetz, das die schrittweise Besteuerung von Biodiesel und Pflanzenölkraftstoff vorsah. Für beide Stoffe galt ab 2012 der volle Mineralölsteuersatz. Reiner Biodiesel wurde ab August 2006 mit neun Cent pro Liter besteuert, eine jährliche Erhöhung um sechs Cent war im Energiesteuergesetz verankert. Dies führte zu einem deutlichen Absinken des Biodieselanteils am Diesel-Gesamtbedarfsvolumen. Deswegen wurde im Juni 2009 das Energiesteuergesetz geändert.[100] Es war weiterhin eine jährliche Erhöhung vorgesehen, jedoch griff der volle Steuersatz erst ab 2013. Bereits im Dezember 2009 wurde die Besteuerung von Biodiesel im Zuge des Wachstumsbeschleunigungsgesetzes[101] erneut geändert. Die jährliche Erhöhung für 2011 und 2012 wurde ausgesetzt, so dass die Steuer auf Biodiesel Anfang 2013 in einem Sprung von 18,6 ct auf 45,03 ct pro Liter stieg. Da der Brennwert von Biodiesel unter dem von Mineralöl liegt, wird der volumenbezogene Steuersatz um zwei Cent unter dem Satz für fossile Kraftstoffe bleiben. Die Steuerermäßigung für reine Biokraftstoffe wird gemäß § 50 Absatz 1 Satz 5 des Energiesteuergesetzes nur für die Mengen Biokraftstoffe gewährt, welche die in § 37a Absatz 3 des Bundes-Immissionsschutzgesetzes für die Beimischung genannten Mindestanteile, die so genannte „fiktive Quote“, überschreiten.[102]
Die am 30. September 2009 erlassene Biokraftstoff-Nachhaltigkeitsverordnung dient der Umsetzung der Vorgaben der Erneuerbare-Energien-Richtlinie.[103] Demnach dürfen Produzenten für die Herstellung von Biodiesel nur Rohstoffe verwenden, die aus einem nachhaltigen Anbau stammen. Die gewonnene Energie wird im Rahmen der Erneuerbare-Energien-Richtlinie nur dann berücksichtigt, wenn sie zu einer Minderung der Treibhausgasemissionen von mindestens 35 % beiträgt. Der Prozentsatz steigt ab 2017 auf 50 %. Akkreditierte Stellen geben Nachhaltigkeitsnachweise (§ 15) aus, die bestätigen, dass die Anforderungen während des gesamten Herstellungsprozesses eingehalten wurden.[104] Laut der Bundesanstalt für Landwirtschaft und Ernährung sparte Deutschland im Jahr 2011 durch Biokraftstoffe etwa 7 Millionen Tonnen Kohlenstoffdioxidäquivalent ein, entsprechend einer Einsparung von etwa 50 % gegenüber dem fossilen Kraftstoffen.[9] Im Jahr 2012 teilte die EU-Kommission jedoch mit, dass es ein europäisches Zertifikat gebe und der deutsche Nachhaltigkeitsnachweis daher nicht mehr anerkannt werde.[105]
Österreich
Die Biokraftstoffrichtlinie wurde in Österreich im November 2004 durch eine Novelle der Kraftstoffverordnung in nationales Recht umgesetzt und im Juni 2009 angepasst. Demnach gab es seit Oktober 2005 eine Beimischungspflicht von 2,5 % Biokraftstoffen für alle Otto- und Dieselkraftstoffe. Als Bemessungsgrundlage der Beimischungsquote dient der Energiegehalt der Kraftstoffe. Der Anteil erhöhte sich im Oktober 2007 auf 4,3 % und im Januar 2009 wurde die Beimischungsquote auf maximal 7 % erhöht.[106]
Die Umsetzung der Biokraftstoffrichtlinie wurde in Österreich im Wesentlichen durch die Beimischung von Biodiesel erreicht. Österreich verfügte 2011 über 14 Biodieselanlagen mit einer Produktionskapazität von knapp 700.000 Tonnen pro Jahr. Biodiesel und andere Heiz- und Kraftstoffe, die gänzlich oder fast zur Gänze aus biogenen Stoffen hergestellt wurden, sind von der Mineralölsteuer befreit.
Schweiz
Die Schweiz hat sich im Rahmen des Kyoto-Protokolls zu einer Verringerung des Kohlenstoffdioxidausstoßes verpflichtet. Biodiesel wird in der Schweiz bis sieben Prozent beigemischt, eine gesetzliche Beimischungspflicht für Biodiesel besteht jedoch nicht. Seit dem 1. Juli 2008 ist Biodiesel in der Schweiz von der Mineralölsteuer befreit, sofern er gesetzlich festgelegte ökologische und soziale Kriterien erfüllt.[107] Die damit zusammenhängende Ökologisierung der Mineralölsteuer fördert fiskalisch umweltschonende Treibstoffe. Diese Maßnahmen sind für den Bundeshaushalt ertragsneutral, da eine höhere Besteuerung des Benzins Mindereinnahmen kompensiert.[108] In der Schweiz sind nur erneuerbare Treibstoffe zugelassen, welche weder die Nahrungs- noch die Futtermittelindustrie konkurrenzieren (Teller-Trog-Tank-Prinzip).[109]
Markt- und Kapazitätsentwicklung

Die Markt- und Kapazitätsentwicklung für Biodiesel geht einher mit den politischen Vorgaben, besonders der steuerlichen Begünstigung sowie dem vorgeschriebenen Beimischungsanteil zum Petrodiesel. Der Anteil von Biodiesel stieg für einige Jahre kontinuierlich und erreichte im Jahr 2007 den Spitzenwert von etwa 12 % am deutschen Dieselkraftstoffmarkt, wobei der Reinkraftstoff besonders von gewerblichen Verbrauchern wie Speditionen genutzt wurde. Im Jahr 2007 kauften Speditionen etwa die Hälfte des Reinbiodiesels, etwa 7 % wurde über Tankstellen verkauft und 3 % an Landwirte.[110] Der Preisvorteil von Biodiesel verringerte sich jedoch bereits seit 2006, teils als Folge der jährlich steigenden Steuerbelastung, teils bedingt durch die Preisentwicklung auf den Pflanzenöl- und Rohölmärkten. Nach mehreren Jahren mit steigenden Absätzen ging der Verkauf von Biodiesel-Reinkraftstoff in Deutschland ab 2008 zurück. Der kraftstoffbedingte Mehrverbrauch, technische Restrisiken und gegebenenfalls Umrüstungskosten waren nur durch einen Preisvorteil für Biodiesel auszugleichen. Im Peakjahr 2007 wurden in Deutschland etwa 2,15 Millionen Tonnen B100 abgesetzt, im Jahr 2012 nur noch 100.000 Tonnen.[111] Die Energiesteuer auf reinen Biodiesel stieg von ursprünglich 9 Cent im Jahr 2006 über 18,6 Cent ab 2010 auf 45 Cent pro Liter zum 1. Januar 2013.[3] Dadurch kam der Verkauf von Biodiesel seit Januar 2013 in Deutschland als Reinkraftstoff praktisch zum Erliegen.
Durch die obligatorische Beimischung von Biodiesel zu fossilem Diesel erhöht sich der Absatz in diesem Segment, dies glich die Verluste beim Reinkraftstoff jedoch nicht aus. Die Biokraftstoffrichtlinie von Mai 2003 forderte, dass die EU-Mitgliedstaaten ab 31. Dezember 2005 mindestens 2 % und bis zum 31. Dezember 2010 mindestens 5,75 % der zum Transport bestimmten Kraftstoffe aus erneuerbaren Quellen zu verwenden haben. Erreicht wurde eine Quote von 5,8 %.[112] Österreich setzte die EU-Direktive früh um und ab 1. November 2005 boten Tankstellen nur noch Diesel mit 5 % Biodieselzusatz und seit Februar 2009 nur noch Diesel mit 7 % Biodieselanteil an.
| Jahr | Reinkraftstoff (in Mio. Liter) |
Gesamt[3][110][113] (in Kilotonnen) |
|---|---|---|
| 2000 | keine Angaben | 340 |
| 2001 | 163 | 450 |
| 2002 | 190 | 550 |
| 2003 | 360 | 810 |
| 2004 | 477 | 1.180 |
| 2005 | 589 | 1.970 |
| 2006 | 539 | 2.870 |
| 2007 | 2.150 | 3.320 |
| 2008 | 1.230 | 2.700 |
| 2009 | 270 | 2.430 |
| 2010 | 330 | 2.530 |
| 2011 | 110 | 2.420 |
| 2012 | 100 | 2.230 |
Der Anbau von Raps als Rohstoff für die Biodieselherstellung führte zu einer Ausdehnung der Anbauflächen, die in Deutschland zum großen Teil in den ostdeutschen Flächenländer Mecklenburg-Vorpommern, Sachsen-Anhalt, Brandenburg und Sachsen liegen. Gleichzeitig stieg auch die Herstellungskapazität für Biodiesel, allein zwischen 2004 und 2007 vervierfachte sich die Kapazität von 1,2 auf 4,8 Millionen Tonnen.[110] Im Jahr 2011 standen bereits 22,12 Millionen Tonnen Kapazität zur Verfügung.[114]
Im Jahr 2012 produzierten in Deutschland insgesamt 51 Hersteller Biodiesel, davon waren 31 Unternehmen in den neuen Bundesländern ansässig.[115] In der Biodieselbranche waren 2012 insgesamt 17.900 Menschen beschäftigt.[116] Aufgrund der politischen Rahmenbedingungen und der Marktlage werden die Kapazitäten jedoch vielfach nicht ausgelastet. Lag die Anlagenauslastung im Jahr 2006 noch bei etwa 81 %, so sank sie bis 2010 auf etwa 43 %.[114]
Die Europäische Union dominierte 2012 als größter Hersteller und Verbraucher den globalen Biodieselmarkt. Dies erklärt sich aus dem Marktanteil der zugelassenen Personenkraftwagen mit Dieselmotor. Er liegt in Westeuropa bei etwa 55 %, verglichen mit einem Anteil von 2,6 % in den Vereinigten Staaten.[117] Im Jahr 2010 stellten Deutschland und Frankreich die größten Mengen Biodiesel her, gefolgt von Spanien und Italien.[114] Mit dem Wegfall der steuerlichen Begünstigung und der Einführung der mengendefinierten Beimischungsquoten ergab sich für die Raffinerien der Anreiz zur Beimischung von preiswerten Importbiodiesel auf Soja- und Palmölbasis.
Bis zum Jahr 2009 stammte ein Großteil des importierten Biodiesels aus den Vereinigten Staaten. Der Grund lag in der 2004 vom Kongress der Vereinigten Staaten erlassenen Steuervergünstigung für Biodiesel. Sie ermöglichte es, Biodiesel in die Vereinigten Staaten zu importieren, mit weniger als 1 % Petrodiesel zu B99 zu mischen und nach Inanspruchnahme der Steuervergünstigung von etwa 1 USD pro Gallon dieses in die EU zu exportieren.[114] Die ab März 2009 von der EU auf B99 erhobenen Zölle beendeten diese so genannte Splash-and-Dash-Praxis (‚Splash and Dash‘ bezeichnet einen aus dem Motorsport übernommenen Begriff für einen kurzen Zwischenstopp). Seit März 2009 stieg daraufhin der Importanteil von Biodiesel aus Ländern wie Kanada und Singapur. Dabei handelte es sich um US-Biodiesel, der über diese Drittländer exportiert wurde.[118] Im Jahr 2010 exportierte Argentinien 64 bis 73 % des dort aus Sojaöl hergestellten Biodiesels in die Europäische Union. Argentinien erhebt auf landwirtschaftliche Erzeugnisse einen hohen Exportzoll, während der Zoll auf verarbeitete Produkte wie Biodiesel niedriger ist. Der Preisvorteil liegt bei etwa 140 bis 150 Euro pro Tonne Sojaölmethylester im Vergleich zu Sojaöl.[114] Indonesien exportierte im Jahr 2010 etwa 80 % der heimischen Produktion auf Basis von Palmöl in die EU, vor allem in die Niederlande, nach Italien und Spanien.[114]
| Rohstoff | Anteil |
|---|---|
| Raps | 52,9 % |
| Soja | 12,1 % |
| Altspeisefett UCO (used cooking oil) | 28,9 % |
| Palm | 1,3 % |
| tierische Fett | 2,2 % |
| andere | 2,6 % |
Das in Deutschland verwendete UCO wird hauptsächlich aus China importiert. Der Anstieg dieser Importe fällt zeitlich mit dem verstärkten Import von Palmöl durch China zusammen.[120]
| Produktion
(in Mio.t) |
Absatz
(in Mio. t) | |
|---|---|---|
| 2010 | 2,8 | 2,53 |
| 2011 | 2,8 | 2,42 |
| 2012 | 2,6 | 2,48 |
| 2013 | 2,6 | 2,19 |
| 2014 | 3 | 2,29 |
| 2015 | 3 | 2,15 |
| 2016 | 3,1 | 2,15 |
| 2017 | 3,1 | 2,2 |
| 2018 | 3,2 | 2,3 |
| 2019 | 3,4 | 2,2 |
| 2020 | 3,4 | 3,01 |
Ökologische Aspekte
Da Biodiesel aus nachwachsenden Rohstoffen hergestellt wird, ersetzt sein Gebrauch Kraftstoffe auf Erdölbasis, deren künftige Verfügbarkeit bereits mittelfristig als begrenzt angesehen wird. Zudem mindert Biodiesel als erneuerbarer Energieträger die Importabhängigkeit der deutschen Energieversorgung im Kraftfahrsektor, da momentan kein Alternativantrieb in ausreichender Menge und Effizienz zur Verfügung steht. Biokraftstoffe trugen 2011 mit 120 PJ zum Primärenergieverbrauch in Deutschland bei.[9] Die Senkung der Kohlenstoffdioxidemissionen war das ursprüngliche Ziel des Biodieseleinsatzes. Die Ökobilanz muss neben dem mit Treibhausgasemissionen verbundenen Fremdenergieeinsatz bei der Gewinnung von Biodiesel auch die durch Landnutzungsänderung verursachten Effekte betrachten.
Biologische Abbaubarkeit
Die Untersuchung der biologischen Abbaubarkeit von Biodiesel und dessen Blends durch die Messung der Kohlenstoffdioxidentwicklung zeigte, dass Biodiesel verschiedener Herkunft leicht biologisch abbaubar und daher bei Leckagen weniger umweltbelastend als herkömmlicher Diesel ist.[122] Letzterer ist als wassergefährdend in die Wassergefährdungsklasse 2 eingestuft, während Biodiesel als schwach wassergefährdend in die Wassergefährdungsklasse 1 eingestuft wurde. Reines Pflanzenöl gilt als nicht wassergefährdend.[123] Es wurden für Biodiesel verschiedener Herkunft Abbauraten zwischen 84 und 89 % innerhalb von 24 Stunden gefunden. Die Werte sind vergleichbar mit dem Abbau von Dextrose. Reines Pflanzenöl wurde langsamer abgebaut, wobei Raten zwischen 76 und 78 % gefunden wurden. Reiner Diesel wurde zu 18 % abgebaut.[122]
Gaschromatografische Untersuchungen des Abbaus von B50 zeigten, dass sich die Abbaurate des Dieselanteils gegenüber der von reinem Diesel verdoppelte.[122] Daher wurde Biodiesel für die Reinigung ölverschmutzter Strände in Betracht gezogen. Untersuchungen zeigten, dass sich die mikrobiologischen Gemeinschaften durch den Abbau von Biodiesel und seinen Blends auf den kontaminierten Böden veränderten.[124]
Die schnelle biologische Abbaubarkeit des Biodiesels kann sich im praktischen Einsatz in Kraftfahrzeugen als Nachteil auswirken, da sie einhergeht mit einer schlechten Alterungsbeständigkeit. Nach unsachgemäßer und langer Lagerung von Biodiesel oder dessen Blends können mikrobiologischer Befall, Oxidation und Wasseranreicherung die Eigenschaften des Biodiesels verschlechtern und zu einem biologischen Teilabbau führen.[125] Dem kann durch Zufügen kleiner Mengen an Petrodiesel – schon 1 % Petrodiesel reicht aus – entgegengewirkt werden.[126]
Abgasemissionen
Der geringe Aromaten- und Schwefelgehalt von Biodiesel reduziert den Ausstoß von Schwefeldioxid und Partikeln. Im Vergleich zu Dieselkraftstoff wird eine Reduktion der Emissionen von Kohlenwasserstoffen, Kohlenstoffmonoxid und Feinstaub gefunden.[127] Dies wird vor allem auf den Sauerstoffgehalt von Biodiesel zurückgeführt. So wurde gefunden, dass die Emissionsrate für Kohlenwasserstoffe wie 2,2,4-Trimethylpentan, Toluol, Xylolen sowie für polycyclische aromatische Kohlenwasserstoffe beim Einsatz von Biodiesel und Blends um bis zu 90 % reduziert wird. Die Reduktion bei sauerstoffhaltigen Komponenten wie Formaldehyd oder Acetaldehyd lag bei 23 bis 67 %, wobei die Ergebnisse nicht eindeutig sind.[128] Es wurde eine signifikante Abhängigkeit vom Anteil ungesättigter Fettsäuren im Biodiesel auf die Emissionscharakteristik festgestellt.[129] Die Emission von flüchtigen organischen Verbindungen von Blends wie B20 lag 61 % unter der von Diesel.[130]
Demgegenüber wird in den meisten Studien über erhöhte Emissionen von Stickstoffoxiden berichtet. Neben biodieselspezifischen Faktoren wie der verwendeten Rohstoffquelle hängt das Maß der Stickoxidemissionen von motortechnischen Faktoren wie Einspritzzeitpunkt, Zündverzug oder der adiabatischen Flammentemperatur ab.[131] Moderne Motoren mit optimierter Einspritztechnik oder Abgasrückführung sowie fortschrittliche Katalysatorsysteme reduzieren die Stickoxidemissionen erheblich.[127] Moderne Fahrzeuge erfüllen beim Betrieb mit Biodieselblends wie B7 die Emissionsstandards für Dieselmotoren. Verringert werden kann die Rohemission durch NOx-Speicherkatalysatoren oder selektive katalytische Reduktions-Systeme.[132]
Kuppelprodukte

Bei der Produktion von Biodiesel aus Ölpflanzen fallen kaum Abfälle an, da alle Kuppelprodukte verwertet werden. Rapsstroh wird gehäckselt und in den Boden als organischer Dünger eingearbeitet. Es trägt zum Erhalt des Humuskörpers und damit zur Bodenfruchtbarkeit bei.[133] Die Produktion von Ölpflanzen im Mischfruchtanbau oder im Rahmen der Fruchtfolge kann die Auslaugung von Böden verhindern und den Ertrag an Lebensmitteln auf Dauer steigern, wodurch der Einsatz von Herbiziden verringert werden kann. Entsprechende Versuche wurden bereits in der Praxis durchgeführt und sind positiv verlaufen.[134] Die in Deutschland hauptsächlich verwendete Biodieselquelle Raps wird etwa alle 3 bis 4 Jahre auf demselben Feld angebaut.
Rapskuchen und Sojakuchen, die bei der Pressung mit einem Restölgehalt von etwa 10 % anfallen, werden als hochwertige Futtermittel genutzt.[135]
Das bei der Umesterung entstehende Glycerin kann in der chemischen Industrie weiterverwertet werden, etwa in der Kosmetik. Monomere wie 1,3-Propandiol, Epichlorhydrin, Acrylsäure und Propen können aus Glycerin hergestellt werden. Die Funktionalisierung von Glycerin führt zu Ethern, Acetalen, Ketalen und Estern, die als Kraftstoffadditiv für Ottokraftstoffe oder Diesel verwendet werden können.[136][137][138] Mit genetisch veränderten Escherichia-coli-Stämmen lässt sich 1,2-Propandiol aus dem bei der Biodieselherstellung anfallenden Rohglycerin herstellen.[52]
Klimawirkung
Die Klimaneutralität von Biodiesel ist umstritten. Der Kohlenstoffdioxidbindung beim Wachstum der Pflanze müssen nicht nur die Kohlenstoffdioxidfreisetzung bei der Verbrennung gegenübergestellt werden, ebenso sind die bei Anbau, Herstellung und Nutzung anfallenden Emissionen klimarelevanter Stoffe zu berücksichtigen. Neben Kohlendioxid spielen hier vor allem die in ihrer Höhe umstrittenen Distickstoffmonoxid-Emissionen eine Rolle, die als eine bedeutende Quelle ozonschädlicher Emissionen gelten.[139] Für den Anbau von Raps wird ein Emissionsfaktor für Distickstoffmonoxid aus der Anwendung von Stickstoffdüngern mit 0,0125 kg N2O/kg pro Kilogramm aufgebrachten Stickstoffäquivalents angenommen.[140] Je nach Studie wird die Klimabilanz von Biodiesel um etwa 20 bis 86 % günstiger eingeschätzt als die von Mineralöldiesel. Die US-amerikanische Umweltbehörde, die Environmental Protection Agency (EPA), veröffentlichte 2010 eine umfangreiche Studie zur Ökobilanz von Biodiesel auf Sojaöl- und Altfettbasis, die auch durch den Ölpflanzenbau verursachte Landnutzungsänderungen betrachtete.[141] In Betracht gezogen wurden unter anderem die für die Biodieselproduktion benötigte Energie, die internationale Landnutzungsänderung, die benötigten Betriebsmittel, der Düngereinsatz, der Verbrauch mineralischer Kraftstoffe für die Distribution, die direkte Landnutzungsänderung sowie Methanemissionen. Dabei wurde eine 57%ige Reduktion der Treibhausgase gegenüber mineralischem Diesel gefunden, wobei in einem Vertrauensintervall von 95 % Werte von 22 bis 86 % ermittelt wurden. Für Biodiesel aus Altfetten wurde eine 86%ige Reduktion ermittelt.[141]
Fremdenergiebedarf
Die Produktion der 1 kg Dieseläquivalent entsprechenden Menge an Biodiesel erfordert selbst erhebliche Energiemengen für die Herstellung von Methanol, Düngemitteln, Transport und den Verarbeitungsprozess.
Für die Energiemengen (Gesamtenergie), (Energiebedarf der Biodieselproduktion selbst) und (tatsächlich verfügbare Energiemenge an Biodiesel) gilt:
- ,
wobei das Verhältnis k vergleichbar ist zum Carnot-Wirkungsgrad einer Wärmepumpe.
Bei der Gewinnung, einschließlich der Weiterverarbeitung zu Biodiesel (Pflügen, Säen, Behandeln mit Pflanzenschutz, Düngen, Ernten, Verestern), muss eine Energiemenge von 25 MJ/kg aufgewendet werden. Demgegenüber hat Biodiesel einen Heizwert von 37 MJ/kg.
Das Verhältnis k (vgl. Erdöl: k etwa 10) beträgt demnach
im Gegensatz zu
- .
Bei dieser Darstellung wird nicht berücksichtigt, dass beim herkömmlichen Diesel zusätzlich chemisch gebundene Energie (Rohöl) zugeführt werden muss, die aus einem endlichen Reservoir entnommen wird. Beim Biodiesel wird im Gegenzug die Strahlungsenergie der Sonne vernachlässigt, die sowieso vorhanden und praktisch unerschöpflich ist. Unter der Annahme k = 1,48 verdreifacht sich die benötigte Anbaufläche in etwa; es werden etwa 29,8 m² Anbaufläche für 1 kg bereitgestelltes Dieseläquivalent benötigt. Ein Grund dafür, dass die Energieausbeute verhältnismäßig gering ist, liegt darin, dass nur die Ölfrüchte verwendet werden und der verbleibende Biomassenrest (Rapsstroh und Rapsschrot) nicht energetisch genutzt wird. Bei einer alternativen Form der Kraftstoffgewinnung aus Biomasse zu Sundiesel wird die gesamte Pflanze verwendet, wodurch sich der Bruttokraftstoffertrag in etwa verdoppelt.
Bei Untersuchungen des Rapsanbaus für die Biodieselerzeugung in Polen und den Niederlanden wurden für den Erntefaktor (englisch: Energy Return On Energy Invested, EROEI) Werte zwischen 1,73 bis 2,36 in Polen und von 2,18 bis 2,60 in den Niederlanden gefunden.[142]
Flächenbedarf

Das Umweltbundesamt stellte in einem Bericht vom 1. September 2006 fest:[143]
„Wegen der beschränkten Ackerflächen kann mit in Deutschland angebautem Raps maximal etwa fünf Prozent des im Verkehrssektor benötigten Dieselkraftstoffs ersetzt und ein bis vier Prozent der Treibhausgasemissionen in diesem Bereich vermieden werden. Hierzu müsste bereits die Hälfte der gesamten deutschen Ackerfläche zum Biodiesel-Rapsanbau in vierjähriger Fruchtfolge genutzt werden, was eher unrealistisch ist. Das tatsächliche Potential liegt deshalb eher in der Größenordnung von 1 bis 2 % der Dieselmenge.“
In den USA würde die Verarbeitung der gesamten Sojaernte zu Biodiesel lediglich 6 % der Nachfrage decken. Bezogen auf den Weltbedarf an dieselähnlichen Kraftstoffen könnte Palmölmethylester sowohl von der Ölergiebigkeit der Pflanze als auch von der Größe des potentiellen Anbaugebiets ein wichtiger Kraftstoff werden. Die für die Herstellung von zum Beispiel 1 kg Biodiesel erforderliche Fläche ergibt sich aus folgender Rechnung:
Pro Quadratmeter beträgt der Ertrag an Biodiesel etwa 0,12 bis 0,16 l Biodiesel pro Jahr.[144] Bei einer Dichte von 0,88 kg/l sind dies etwa 0,14 kg Biodiesel/m². Im Jahr 2015 wurden in Deutschland rund 37 Millionen Tonnen Dieselkraftstoff verbraucht.[145] Diesel hat einen Heizwert, der um etwa 9 % höher als der von Biodiesel ist. Um 1 kg Dieseläquivalent bereitzustellen, wird also der Ertrag von etwa 7,8 m² Anbaufläche benötigt. Um 37 Millionen Tonnen Dieselkraftstoff durch Biodiesel zu ersetzen würde, da Raps wegen Selbstunverträglichkeit nicht in den zwei bis drei Folgejahren angebaut werden kann, ca. 4 × 7,8 m²/kg × 37.000.000 t = 1.154.400 km² Ackerfläche benötigt.
Im Jahr 2006 wurden etwa 50 % der Fläche der Bundesrepublik Deutschland von 357.121 km² für die landwirtschaftliche Produktion genutzt, also wäre mehr als das 6 fache der gesamten landwirtschaftlichen Nutzfläche von Deutschland erforderlich, um aus Raps ausreichend Biodiesel zu gewinnen.
Schon 2006 überschritt der Bedarf an Pflanzenölen als Biodiesel und Pflanzenölkraftstoff mit 3,4 Millionen Tonnen den inländischen Anbau von Raps von 1,5 Millionen Tonnen, sodass der Rest importiert werden musste.[146]
Biodiversität
Die Umwandlung von natürlichen Lebensräumen durch die Bevölkerungsentwicklung und die damit verbundene Ausdehnung von Siedlungsflächen und der Versorgungsinfrastruktur ist einer der Hauptfaktoren für die Reduktion der Biodiversität. Um diesen Effekt nicht durch den Anbau von Pflanzen zur Gewinnung von Biodiesel zu verstärken, müssen Flächen mit hoher Artenvielfalt geschützt werden.[9] Eine zentrale Forderung für die nachhaltige Produktion von Biodiesel ist der Erhalt der biologischen Vielfalt (englisch: biological diversity oder biodiversity) beim Anbau von Energiepflanzen.
Pflanzenöle für die Produktion von Biodiesel, der gemäß der Erneuerbare-Energien-Richtlinie als nachhaltig produziert gelten soll, dürfen nicht auf Flächen mit großer biologischer Vielfalt gewonnen werden. Dazu zählen alle nach dem Jahr 2008 nicht für Agrarzwecke umgewandelte Flächen wie Primärwälder, Naturschutzgebiete und Gebiete mit bedrohten oder gefährdeten Ökosystemen.[94] Die Anwendung der Regeln für Biodiversität gilt als Kriterium, um gefährdete Flächen vor einer Landnutzungsänderung zu schützen. Biodiversität gilt als Schutzgut mit globaler Wirkungstiefe und kann gemäß den Regeln der Welthandelsorganisation als verbindliche Eigenschaft von Handelsgütern gefordert werden.[9]
Dabei sind sowohl in Bezug auf die angebaute Pflanze als auch auf die geografische Lage Unterschiede in Bezug auf die Entwicklung der Biodiversität erkennbar.[147] So wurde festgestellt, dass zwischen 1990 und 2005 über 50 % der Neuölpalmenanpflanzungen in Malaysia und Indonesien in Regenwaldgebieten zu Lasten der Biodiversität erfolgte.[148] Bei der Bepflanzung von Brachflächen mit ölliefernden, xerophytischen Pflanzen wie Jatropha curcas wird erwartet, dass dies zu einer Verbesserung der Biodiversität führt.[149]
Landnutzungsänderung

Die Mengen an Ölpflanzen aus heimischer Landwirtschaft sind für die Eigenversorgung zu gering, weshalb Importe notwendig würden, um größere Mengen Treibstoff zu ersetzen. Gegen Biodiesel wird oft vorgebracht, dass seine Herstellung Auswirkungen auf Naturlandschaften und hierbei besonders auf Regenwälder habe.
Der Begriff der Landnutzungsänderung bezieht sich auf die Nutzung einer Fläche vor dem Anbau von Energiepflanzen. Ein Beispiel für eine direkte Landnutzungsänderung ist die Umwandlung von Grasland in Ackerland für den Anbau von Raps oder Sojabohnen, eine indirekte Landnutzungsänderung ist die Umwandlung von Ackerland für den Anbau von Nahrungspflanzen in Ackerland für den Anbau von Energiepflanzen. Die Änderung der Pflanzenwelt durch Landnutzungsänderung beeinflusst das Kohlenstoffdioxidbindungsvermögen, wobei je nach Bewirtschaftung sowohl mehr Kohlenstoffdioxid gebunden als auch freigesetzt werden kann.[9][150][147]
Der Einfluss der direkten und indirekten Landnutzungsänderung auf die Ökobilanz wird uneinheitlich bewertet. Aufgrund der Auswirkungen auf die Treibhausbilanz als auch auf soziale Aspekte wird dieses Konzept jedoch in vielen Gesetzeswerken über Biokraftstoffe herangezogen. Die Ansätze zur Berechnung der Auswirkung sind komplex, mit Unsicherheiten behaftet und daher umstritten.[151][152]
Es besteht bei den meisten untersuchten Szenarien jedoch die Übereinkunft, das es von Vorteil ist, Energiepflanzen zu fördern, die geringe Landnutzungsänderungsquoten aufweisen und die Kultivierung von bereits gerodetem und brachliegenden Land zu fördern.[9] Durch Kultivierung und nachhaltige Bewirtschaftung degradierter Flächen könnte Biodiesel eine stabile Einkommensquelle schaffen. Die Größe der in Frage kommenden Flächen wird auf 500 bis 3500 Millionen Hektar geschätzt.[153]
Eine potentielle Auswirkung der Landnutzungsänderung ist die Verknappung von Lebensmitteln. Der Anbau von Ölsaaten auf bestehenden Ackerflächen oder die Verwendung von Pflanzenölen zur Herstellung von Biodiesel kann zu einer Verknappung oder Verteuerung von Lebensmitteln führen, wobei die genauen Auswirkungen umstritten sind. In einer Studie des Jahres 2011 konnten auf europäischer und nationaler Ebene keine quantitativen Versorgungsprobleme im Bereich der Nahrungs- und Futtermittelversorgung durch die Energiepflanzenproduktion nachgewiesen werden, wobei diese aber als denkbar bezeichnet wird.[154]
Beim Rapsanbau fallen nur 40 %, beim Sojabohnenanbau nur 20 % als Öl an, die restlichen 60 bis 80 % der Pflanzen werden als Raps- und Sojakuchen für die Futtermittelproduktion genutzt. Rapsextraktionsschrot und Rapskuchen werden vermehrt für die Milchviehfütterung eingesetzt, kann aber auch in der Schweine- und Geflügelmast eingesetzt werden.[155]
Die Verteuerung von Nahrungsmitteln ist ein zentrales Problem der Biodieselgewinnung, zum Teil als Agflation bezeichnet. Die Erneuerbare-Energien-Richtlinie legte der EU-Kommission die Verpflichtung auf, die Auswirkungen der Erzeugung von Biokraftstoffen sowohl in den Mitgliedstaaten der EU als auch in Drittländern zu bewerten.[94]
Toxikologie
In Studien zur Toxikologie von Biodiesel konnten keine Todesfälle und nur geringe toxische Wirkungen bei Verabreichungen von bis zu 5000 mg pro Kilogramm Körpergewicht auf Ratten und Kaninchen gefunden werden.[122]
Befürchtungen, dass die Aufnahme von Biodiesel im Körper durch Hydrolyse Methanol freisetzen und zur Schädigung von Nervenzellen durch das physiologische Abbauprodukt Ameisensäure führen könnte, wurden nicht bestätigt. Bei Verabreichung von Dosen von 5 bis 500 mg Biodiesel pro kg Körpergewicht im Tierversuch konnte auch nach Wochen kein oder nur ein minimal erhöhter Plasmaspiegel für Methanol oder Ameisensäure bei allen Versuchsgruppen gefunden werden.[156]
Literatur
- Philipp Dera: „Biodiesel“ – Wachstumsmarkt mit Nachhaltigkeitsgarantie? Sozioökonomische Dimensionen der Palmölproduktion in Indonesien. regiospectra, Berlin 2009, ISBN 978-3-940132-10-9.
- Gerhard Knothe, Jon Harlan Van Gerpen, Jürgen Krahl: The Biodiesel Handbook. AOCS Press, 2005, ISBN 1-893997-79-0.
Weblinks
Einzelnachweise
- ↑ a b c d e f Eintrag zu Fettsäuren, C16-18- und C18-ungesättigt, Methylester in der GESTIS-Stoffdatenbank des IFA, abgerufen am 15. April 2008. (JavaScript erforderlich)
- ↑ Mustafa E. Tat, Jon H. Gerpen: The kinematic viscosity of biodiesel and its blends with diesel fuel. In: Journal of the American Oil Chemists’ Society. 76, 1999, S. 1511–1513, doi:10.1007/s11746-999-0194-0.
- ↑ a b c Basisdaten Bioenergie Deutschland – August 2013. (PDF; 3,3 MB) Fachagentur Nachwachsende Rohstoffe, archiviert vom (nicht mehr online verfügbar) am 22. April 2014; abgerufen am 13. April 2017.
- ↑ X. Lang: Preparation and characterization of bio-diesels from various bio-oils. In: Bioresource Technology. 80, S. 53–62, doi:10.1016/S0960-8524(01)00051-7.
- ↑ Zbigniew Stepien, Kornel Dybich, Marek Przybek: Influence of RME contents in diesel fuels on Cetane number determination quality. In: Journal of KONES Powertrain and Transport. 18.3 (2011).
- ↑ a b Sicherheitsdatenblatt zu Rapsölmethylester. (PDF; 94 kB) Archiviert vom (nicht mehr online verfügbar) am 8. Oktober 2007; abgerufen am 15. Mai 2013.
- ↑ nicht spezifiziert nach EN 14214.
- ↑ Agrardieselvergütung. BMEL, 14. November 2013, abgerufen am 1. Mai 2013.
- ↑ a b c d e f g h i Jörg Adolf, Horst Fehrenbach, Uwe Fritsche, Dorothea Liebig: Welche Rolle können Biokraftstoffe im Verkehrssektor spielen?. In: Wirtschaftsdienst. 93, 2013, S. 124–131, doi:10.1007/s10273-013-1496-2.
- ↑ Patrick Duffy: XXV. On the constitution of stearine. In: Quarterly Journal of the Chemical Society of London. 5, 1853, S. 303, doi:10.1039/QJ8530500303
- ↑ Rob. Henriques: Über partielle Verseifung von Ölen und Fetten II. In: Zeitschrift für Angewandte Chemie. 11, 1898, S. 697–702, doi:10.1002/ange.18980113003.
- ↑ a b c d Gerhard Knothe: The History of Vegetable Oil-Based Diesel Fuels. In: Gerhard Knothe, Jon Harlan Van Gerpen, Jürgen Krahl: The Biodiesel Handbook, S. 4–16, AOCS Press, 2005, ISBN 1-893997-79-0.
- ↑ Gerhard Knothe – Historical perspectives on vegetable oil-based diesel fuels. (PDF; 40 kB) Archiviert vom (nicht mehr online verfügbar) am 15. Mai 2013; abgerufen am 6. April 2013.
- ↑ M. Köpke, S. Noack, P. Dürre: The Past, Present, and Future of Biofuels – Biobutanol as Promising Alternative. (PDF; 727 kB) In: Marco Aurelio Dos Santos Bernardes (Hrsg.) Biofuel Production-Recent Developments and Prospects. InTech, Kapitel 18, 2011, ISBN 978-953-307-478-8, S. 452.
- ↑ M. Van Den Abeele: L’huile de palme matière première pour la préparation d’un carburant lourd utilisable dans les moteurs à combustion interne (Palm Oil as Feedstock for the Manufacture of a Heavy Fuel for Diesel Engines). In: Bull Agric Congo Belge. Band 33, 1942, S. 3–90.
- ↑ G. Chavanne: Sur un mode d’utilisation possible de l’huile de palme à la fabrication d’un carburant lourd. In: Bull Soc Chim. Band 10, 1943, S. 52–58.
- ↑ SAE Technical Paper series no. 831356. SAE International Off Highway Meeting, Milwaukee, Wisconsin, USA, 1983.
- ↑ Edgar Behrendt: Pionier-Betrieb wird zur Industriebrache, In: Ostfriesenzeitung, 23. Dezember 2015.
- ↑ 2012 Minnesota Statutes – 239.77 Biodiesel Content Mandate. Abgerufen am 7. April 2013.
- ↑ a b Biodiesel 2010/2011 – Sachstandsbericht und Perspektive. (PDF; 4,5 MB) Abgerufen am 7. April 2013.
- ↑ a b c d Jon Van Gerpen, Gerhard Knothe: Basics of the Transesterification Reaction in: Gerhard Knothe, Jon Van Gerpen, Jürgen Krahl: The Biodiesel Handbook, S. 26–41, AOCS Press, 2005, ISBN 1-893997-79-0.
- ↑ Produkte aus dem ChemCoast Park. ChemCoast Park, abgerufen am 15. Oktober 2024.
- ↑ Gabriella P. A. G. Pousa, André L. F. Santos, Paulo A. Z. Suarez: History and policy of biodiesel in Brazil. In: Energy Policy. 35, 2007, S. 5393–5398, doi:10.1016/j.enpol.2007.05.010.
- ↑ Jon Van Gerpen: Biodiesel processing and production. In: Fuel Processing Technology. 86, 2005, S. 1097–1107, doi:10.1016/j.fuproc.2004.11.005.
- ↑ a b Umfrage: Heimischer Biodiesel fast ausschließlich aus Rapsöl. Abgerufen am 26. April 2013.
- ↑ Markus Quirin, Sven Gärtner, Martin Pehnt, Guido Reinhardt (IFEU-Institut): CO2-Mitigation through Biofuel in the Transport Sector. Status and Perspectives. Institut für Energie- und Umweltforschung Heidelberg GmbH, Heidelberg August 2003. S. 23 (Volltext; PDF; 1,9 MB).
- ↑ J.M. Dias, J.M. Aranjo, J.F. Costa, M.C.M. Alvim-Ferraz, M.F. Almeida: Biodiesel production from raw castor oil. In: Energy. 53, 2013, S. 58–66, doi:10.1016/j.energy.2013.02.018.
- ↑ a b Cheng-Yuan Yang, Zhen Fang, B. o. Li, Yun-feng Long: Review and prospects of Jatropha biodiesel industry in China. In: Renewable and Sustainable Energy Reviews. 16, 2012, S. 2178–2190, doi:10.1016/j.rser.2012.01.043.
- ↑ ALUR exportó 300 toneladas de biocombustible con alto valor ambiental a Holanda. Presidencia Uruguay, 24. November 2024, abgerufen am 25. März 2025 (spanisch).
- ↑ UFOP-Bericht zur globalen Marktversorgung 2017/2018, Seite 29. (PDF) Abgerufen am 9. Februar 2019.
- ↑ Kritik an Palmöl zwingt Industrie und Handel zum Umdenken. Abgerufen am 11. Februar 2023.
- ↑ Dieter Bockey: Biodiesel 2018/2019 Sachstandsbericht und Perspektive – Auszug aus dem UFOP Jahresbericht. Union zur Förderung von Oel- und Proteinpflanzen e. V. (UFOP), Berlin Oktober 2019, S. 16 (ufop.de [PDF; abgerufen am 26. Januar 2022]).
- ↑ Nabil Abdalla, Horst Fehrenbach: Verfügbarkeit und nachhaltige Bereitstellung von Biokraftstoffen nach Anhang IX Teil B (Biodiesel aus gebrauchtem Speiseöl und Tierfett). Institut für Energie- und Umweltforschung Heidelberg (ifeu), Heidelberg September 2020, S. 13.
- ↑ Friedrich Asinger: Methanol, Chemie- und Energierohstoff. Akademie-Verlag, Berlin, 1987, ISBN 3-05-500341-1.
- ↑ Samir Chikkali, Stefan Mecking: Raffination von Pflanzenölen für die Chemie durch Olefinmetathese. In: Angewandte Chemie. 2012, S. 5902–5909, doi:10.1002/ange.201107645.
- ↑ Neuansiedlung im Regensburger Hafen: Firma Campa Biodiesel aus Ochsenfurt plant Biodieselanlage, Ölmühle und Biomassekraftwerk für rund 50 Millionen Euro. In: FinanzNachrichten.de.
- ↑ Echsenfett treibt Autos an.
- ↑ Srividya Ayalasomayajula, Ramalingam Subramaniam, August Gallo, Stephen Dufreche, Mark Zappi, Rakesh Bajpai: Potential of Alligator Fat as Source of Lipids for Biodiesel Production. In: Industrial & Engineering Chemistry Research. 51, 2012, S. 2166–2169, doi:10.1021/ie201000s.
- ↑ Metin Gürü, Atilla Koca, Özer Can, Can Cinar, Fatih Sahin: Biodiesel production from waste chicken fat based sources and evaluation with Mg based additive in a diesel engine. In: Renewable Energy. 35, 2010, S. 637–643, doi:10.1016/j.renene.2009.08.011.
- ↑ Ayhan Demirbas, M. Fatih Demirbas: Importance of algae oil as a source of biodiesel, In: Energy Conversion and Management, 52, 1, 2011, S. 163–170, doi:10.1016/j.enconman.2010.06.055
- ↑ a b Rowena E. Montenegro, Michael A. R. Meier: Lowering the boiling point curve of biodiesel by cross-metathesis. In: European Journal of Lipid Science and Technology. 114, 2012, S. 55–62, doi:10.1002/ejlt.201100026.
- ↑ O. Meyer, P. Adryan, J. Riedel, F. Roessner, R. A. Rakoczy, R. W. Fischer: Nachhaltiger Ansatz zur Biodieselproduktion unter Verwendung heterogener Katalysatoren. In: Chemie Ingenieur Technik. 82, 2010, S. 1251–1255, doi:10.1002/cite.201000046.
- ↑ M.E. Borges, L. Diaz: Recent developments on heterogeneous catalysts for biodiesel production by oil esterification and transesterification reactions: A review. In: Renewable and Sustainable Energy Reviews. 16, 2012, S. 2839–2849, doi:10.1016/j.rser.2012.01.071.
- ↑ Jan C. Kuschnerow, Mandy Wesche, Stephan Scholl: Ökobilanzielle Bewertung des Einsatzes rezyklierter ionischer Flüssigkeiten als Umesterungskatalysatoren. In: Chemie Ingenieur Technik. 83, 2011, S. 1582–1589, doi:10.1002/cite.201100097.
- ↑ Kunchana Bunyakiat, Sukunya Makmee, Ruengwit Sawangkeaw, Somkiat Ngamprasertsith: Continuous Production of Biodiesel via Transesterification from Vegetable Oils in Supercritical Methanol. In: Energy & Fuels. 20, 2006, S. 812–817, doi:10.1021/ef050329b.
- ↑ C. R. Vera, S. A. D'Ippolito, C. L. Pieck, J. M. Parera: Production of biodiesel by a two-step supercritical reaction process with adsorption refining. ( vom 9. Februar 2012 im Internet Archive) 2nd Mercosur Congress on Chemical Engineering, 4th Mercosur Congress on Process Systems Engineering, Rio de Janeiro (PDF; 232 kB).
- ↑ S. Saka, D. Kusdiana: Biodiesel fuel from rapeseed oil as prepared in supercritical methanol. In: Fuel. 80, 2001, S. 225–231, doi:10.1016/S0016-2361(00)00083-1.
- ↑ Ali Sabri Badday, Ahmad Zuhairi Abdullah, Keat Teong Lee, Muataz Sh. Khayoon: Intensification of biodiesel production via ultrasonic-assisted process: A critical review on fundamentals and recent development. In: Renewable and Sustainable Energy Reviews. 16, 2012, S. 4574–4587, doi:10.1016/j.rser.2012.04.057.
- ↑ a b Michael J. Haas, Thomas A. Fogila: Alternate Feedstocks and Technologies for Biodiesel Production. In: Gerhard Knothe, Jon Van Gerpen, Jürgen Krahl: The Biodiesel Handbook, S. 42–61, AOCS Press, 2005, ISBN 1-893997-79-0.
- ↑ Sarah Huffer, Christine M. Roche, Harvey W. Blanch, Douglas S. Clark: Escherichia coli for biofuel production: bridging the gap from promise to practice. In: Trends in Biotechnology. 30, 2012, S. 538–545, doi:10.1016/j.tibtech.2012.07.002.
- ↑ Xin Meng, Jianming Yang, Xin Xu, Lei Zhang, Qingjuan Nie, M. o. Xian: Biodiesel production from oleaginous microorganisms. In: Renewable Energy. 34, 2009, S. 1–5, doi:10.1016/j.renene.2008.04.014.
- ↑ a b Stefan Pelzer: Maßgeschneiderte Mikroorganismen. In: Biologie in unserer Zeit. 42, 2012, S. 98–106, doi:10.1002/biuz.201210472.
- ↑ Miroslawa Szczesna Antczak, Aneta Kubiak, Tadeusz Antczak, Stanislaw Bielecki: Enzymatic biodiesel synthesis – Key factors affecting efficiency of the process. In: Renewable Energy. 34, 2009, S. 1185–1194, doi:10.1016/j.renene.2008.11.013.
- ↑ Rapsölfettsäuremethylester In der Gefahrgutdatenbank der Bundesanstalt für Materialforschung und -prüfung. Archiviert vom (nicht mehr online verfügbar) am 30. Juli 2013; abgerufen am 7. April 2013.
- ↑ Horst Bauer: Schmierfähigkeitverbesserung durch Biodiesel in: Konrad Reif: Kraftfahrtechnisches Taschenbuch, Robert Bosch GmbH, S. 323, 1267 Seiten, Vieweg+Teubner Verlag, ISBN 3-8348-1440-7.
- ↑ a b c d e f g Gerhard Knothe: Analyzing biodiesel: standards and other methods. In: Journal of the American Oil Chemists' Society. 83, 2006, S. 823–833, doi:10.1007/s11746-006-5033-y.
- ↑ a b Konrad Reif: Dieselmotor-Management. Systeme, Komponenten, Steuerung und Regelung, 532 Seiten, Vieweg+Teubner Verlag, ISBN 3-8348-1715-5.
- ↑ S. Smith: [Biodiesel Analysis for Inorganic Contaminants Using the Optima 8000 ICP-OES with Flat Plate Plasma Technology.] In: Application Note: ICP-Optical Emission Spectroscopy. 2012.
- ↑ J. Iqbal, W. A. Carney u. a.: Metals Determination in Biodiesel (B100) by ICP-OES with Microwave Assisted Acid Digestion. In: The Open Analytical Chemistry Journal Band 4, 2010, S. 18–26. doi:10.2174/1874065001004010018.
- ↑ European Committee for Standardization: Fat and oil derivatives – Fatty acid methyl ester (FAME) – Determination of Ca, K, Mg and Na content by optical emission spectral analysis with inductively coupled plasma (ICP-OES). EN 14538, 2006.
- ↑ Verträglichkeit von Biodiesel in Serienfahrzeugen. Abgerufen am 16. Juni 2013.
- ↑ Stanislav Pehan, Marta Svoljak Jerman, Marko Kegl, Breda Kegl: Biodiesel influence on tribology characteristics of a diesel engine. In: Fuel. 88, 2009, S. 970–979, doi:10.1016/j.fuel.2008.11.027.
- ↑ Karin Shaine Tyson, Robert L. McCormick: Biodiesel handling and use guidelines, (2001). National Renewable Energy Laboratory, NREL/TP-580-30004.
- ↑ Rudolf Maier, Ulrich Projahn, Klaus Krieger: Anforderungen an Einspritzsysteme für Nutzfahrzeug-Dieselmotoren Teil 1. In: MTZ-Motortechnische Zeitschrift, 63.9 (2002): 658–673.
- ↑ Hans-Walter Knuth, Hendrik Stein, Thomas Wilharm, Markus Winkler: Elementbelastungen von Abgasnachbehandlungssystemen durch Biodiesel, In: MTZ – Motortechnische Zeitschrift, 73, 6, 2012, S. 470–475, doi:10.1007/s35146-012-0362-x.
- ↑ Moritz Hilgers: Energiepflanzen als gefragte Produkte auf dem Weltmarkt – räumliche Auswirkungen in den Anbauländern, 40 Seiten, Grin Verlag, 2012, ISBN 3-656-17381-8.
- ↑ Christopher J. Chuck, Chris D. Bannister, J. Gary Hawley, Matthew G. Davidson: Spectroscopic sensor techniques applicable to real-time biodiesel determination. In: Fuel. 89, 2010, S. 457–461, doi:10.1016/j.fuel.2009.09.027.
- ↑ J. E. De Souza, M. D. Scherer, J. A. S. Caceres, A.R.L. Caires, J.-C. M´Peko: A close dielectric spectroscopic analysis of diesel/biodiesel blends and potential dielectric approaches for biodiesel content assessment. In: Fuel. 105, 2013, S. 705–710, doi:10.1016/j.fuel.2012.09.032.
- ↑ Manuel Scholz, M. Gugau, C. Berger: Korrosion durch biogene Kraftstoffe – Stuttgarter Automobiltag 2007. Darmstadt: IfW, 2007, Beitrag für Tagungsband, 8 S. (2007).
- ↑ Heinz Kaufmann, C. Morgenstern, M. Gugau, M. Scholz, T. Jung: Korrosion durch Biokraftstoffe – Schutz durch Beschichtungen auch bei zyklischer Beanspruchung. – Corrosion by biofuels – protection by coatings also under cyclic loadings, In: Materialwissenschaft und Werkstofftechnik 37 (2006), 12, S. 983–993, 1521–4052.
- ↑ USDA: GAIN Report Number: NL 2020 EU Biofuels Annual 2012. (PDF; 415 kB) Archiviert vom (nicht mehr online verfügbar) am 19. August 2013; abgerufen am 7. Mai 2013.
- ↑ a b Stefan Haendschke, Dominika Kalinowska, Christian A. Rumpke: Hintergrundpapier: Energieverbrauch und Energieträger im Straßenverkehr bis 2025. (2013), Herausgeber: Deutsche Energie-Agentur GmbH (dena).
- ↑ Bioanteil in Dieselkraftstoff 2020 auf Rekordniveau. UFOP: Union zur Förderung von Oel- und Proteinpflangzen e. V., 5. Januar 2022, abgerufen am 17. Januar 2022.
- ↑ First UK biodiesel train launched. BBC, abgerufen am 17. November 2007 (englisch).
- ↑ Biodiesel will drive Eastern Wa. train during summerlong test. Seattle Times, abgerufen am 21. Juli 2008 (englisch).
- ↑ 15 Beispiele erfolgreicher Bahnen im Nahverkehr. (PDF; 6,9 MB) Abgerufen am 8. Mai 2013.
- ↑ Michael Whitaker, Garvin Heath: Life cycle assessment of the use of jatropha biodiesel in Indian locomotives. In: No. NREL-TP-6A2-44428. National Renewable Energy Laboratory, 2009.
- ↑ Leonas Povilas Lingaitis, Saugirdas Pukalskas: The economic effect of using biological diesel oil on railway transport. In: Transport. 23, 2008, S. 287–290, doi:10.3846/1648-4142.2008.23.287-290.
- ↑ Klaus Schreiner: Einsatz von Biodiesel in Sportbooten am Bodensee-Informationen zum Projekt Biodiesel und Sportschifffahrt in der Euregio Bodensee. Aus dem Institut für Technologie und Biosystemtechnik: 39.
- ↑ Erik Simonson: THE BIG PICTURE: Around the World in 65 Days. In: IEEE Spectrum. 44, 2007, S. 18–19, doi:10.1109/MSPEC.2007.273032.
- ↑ D. Wardle: Global sale of green air travel supported using biodiesel. In: Renewable and Sustainable Energy Reviews. 7, 2003, S. 1–64, doi:10.1016/S1364-0321(03)00002-9.
- ↑ Sgouris Sgouridis: Are we on course for a sustainable biofuel-based aviation future?. In: Biofuels 3.3 (2012): 243–246.
- ↑ Biodiesel aviation becomng a reality. Abgerufen am 2. April 2015.
- ↑ Biofuel-powered jet makes test flight.
- ↑ Hazel Peace et al.: Alternative Fuels as a Means to Reduce PM2. 5 Emissions at Airports. No. ACRP Project 2-23. 2012.
- ↑ M. Müller: Performance-Additivierung moderner Brennstoffe. In: Erdöl, Erdgas, Kohle 126.2, 2010,: 86.
- ↑ a b c d Dieter Bockey: Current Status of Biodiesel in the European Union in: Gerhard Knothe, Jon Harlan Van Gerpen, Jürgen Krahl: The Biodiesel Handbook, S. 194–203, AOCS Press, 2005, ISBN 1-893997-79-0.
- ↑ Energie für die Zukunft: Erneuerbare Energieträger, Weißbuch für eine Gemeinschaftsstrategie und Aktionsplan. (PDF; 234 kB) Abgerufen am 8. Mai 2013.
- ↑ Grünbuch – Hin zu einer europäischen Strategie für Energieversorgungssicherheit KOM (2000) 769, November 2000, abgerufen am 8. Mai 2013
- ↑ Richtlinie 2003/30/EG des europäischen Parlamentes und des Rates vom 8. Mai 2003 zur Förderung der Verwendung von Biokraftstoffen oder anderen erneuerbaren Kraftstoffen im Verkehrssektor, abgerufen am 27. April 2013.
- ↑ Richtlinie 2003/96/EG des Rates vom 27. Oktober 2003 zur Restrukturierung der gemeinschaftlichen Rahmenvorschriften zur Besteuerung von Energieerzeugnissen und elektrischem Strom, abgerufen am 18. Mai 2013
- ↑ Mitteilung der Kommission vom 7. Dezember 2005: „Aktionsplan für Biomasse“ KOM(2005) 628 endg. – Amtsblatt C 49 vom 28. Februar 2006 (PDF), abgerufen am 15. Mai 2013
- ↑ MITTEILUNG DER KOMMISSION – Eine EU-Strategie für Biokraftstoffe, 8. Februar 2006, KOM(2006) 34 endgültig (PDF), abgerufen am 15. Mai 2013
- ↑ a b c Richtlinie 2009/28/EG des europäischen Parlamentes und des Rates vom 23. April 2009 zur Förderung der Nutzung von Energie aus erneuerbaren Quellen und zur Änderung und anschließenden Aufhebung der Richtlinien 2001/77/EG und 2003/30/EG, abgerufen am 27. April 2013
- ↑ Erneuerbare Energien decken ein Fünftel des EU-Energiebedarfs. In: Zeit.de. 18. Dezember 2020, abgerufen am 10. Mai 2021.
- ↑ Assessing the Land Use Change Consequences of European Biofuel Policies – Final Report – October 2011. (PDF; 2,4 MB) Archiviert vom (nicht mehr online verfügbar) am 7. November 2013; abgerufen am 15. Mai 2013.
- ↑ Richard Tipper et al.: A practical approach for policies to address GHG emissions from indirect land use change associated with biofuels. In: Ecometrica Technical Paper TP-080212-A (2009).
- ↑ David Lapola et al.: Indirect land-use changes can overcome carbon savings from biofuels in Brazil. In: Proceedings of the national Academy of Sciences 107.8 (2010): 3388–3393.
- ↑ Gesetz zur Änderung der Förderung von Biokraftstoffen vom 15. Juli 2009, Bundesgesetzblatt Jahrgang 2009 Teil I Nr. 41, ausgegeben zu Bonn am 20. Juli 2009.
- ↑ Vorblatt – Entwurf eines Gesetzes zur Änderung der Förderung von Biokraftstoffen. (PDF; 190 kB) Archiviert vom (nicht mehr online verfügbar) am 24. Dezember 2012; abgerufen am 8. Mai 2013.
- ↑ Gesetz zur Beschleunigung des Wirtschaftswachstums. (PDF; 77 kB) Archiviert vom (nicht mehr online verfügbar) am 26. September 2013; abgerufen am 8. Mai 2013.
- ↑ Bundesministerium der Finanzen an Bildungszentrum der Bundesfinanzverwaltung 23. Januar 2007.
- ↑ Verordnung über Anforderungen an eine nachhaltige Herstellung von Biokraftstoffen (Biokraftstoff-Nachhaltigkeitsverordnung – Biokraft-NachV) vom 30. September 2009
- ↑ Erteilte Anerkennungen für Zertifizierungssysteme und Zertifizierungsstellen nach der Biokraftstoff-Nachhaltigkeitsverordnung (Biokraft-NachV) bzw. nach der Biomassestrom-Nachhaltigkeitsverordnung (BioSt-NachV). (PDF) Archiviert vom (nicht mehr online verfügbar) am 27. September 2013; abgerufen am 16. Juni 2013.
- ↑ Deutschland bleibt auf seinem Biodiesel sitzen. In: Welt Online. Abgerufen am 8. Mai 2013.
- ↑ Verordnung des Bundesministers für Land- und Forstwirtschaft, Umwelt und Wasserwirtschaft über die Qualität von Kraftstoffen und die nachhaltige Verwendung von Biokraftstoffen (Kraftstoffverordnung 2012). (PDF; 176 kB) Umweltbundesamt, archiviert vom (nicht mehr online verfügbar) am 6. Oktober 2013; abgerufen am 27. April 2013.
- ↑ Mineralölsteuergesetz vom 21. Juni 1996 (MinöStG). (PDF; 168 kB) In: Systematische Sammlung des Bundesrechts. admin.ch, abgerufen am 24. Juli 2011.
- ↑ Treibstoffökobilanz-Verordnung (TrÖbiV). (PDF; 496 kB) In: Systematische Sammlung des Bundesrechts. UVEK, abgerufen am 30. August 2011.
- ↑ BioFuels Schweiz. Abgerufen am 30. August 2018.
- ↑ a b c Verband der deutschen Biokraftstoffindustrie: Biodieselabsatz. Abgerufen am 14. Mai 2013.
- ↑ Biodiesel 2011/2012, Sachstandsbericht und Perspektiven – Auszug aus dem UFOP-Jahresbericht, herausgegeben von der Union zur Förderung von Öl- und Proteinpflanzen e. V. (UFOP)
- ↑ Biokraftstoffe. Archiviert vom (nicht mehr online verfügbar) am 2. Juli 2012; abgerufen am 14. Juni 2012.
- ↑ UFOP – Absatzeinbruch bei Biodiesel und Pflanzenölkraftstoff (2009). Archiviert vom (nicht mehr online verfügbar) am 4. März 2016; abgerufen am 13. Mai 2013.
- ↑ a b c d e f Patrick Lamers, Carlo Hamelinck, Martin Junginger, Andre Faaij: International bioenergy trade – A review of past developments in the liquid biofuel market. In: Renewable and Sustainable Energy Reviews. 15, 2011, S. 2655–2676, doi:10.1016/j.rser.2011.01.022.
- ↑ föderal erneuerbar – Bundesländer mit neuer Energie. Abgerufen am 21. Mai 2013.
- ↑ P. Ulrich, M. Distelkamp, U. Lehr, P. Bickel, A. Püttner: Erneuerbar beschäftigt in den Bundesländern! Bericht zur daten- und modellgestützten Abschätzung der aktuellen Bruttobeschäftigung in den Bundesländern. (2012).
- ↑ Dieselfahrzeuge in den USA – Selbstzünder bleiben eine Randerscheinung. Abgerufen am 8. Mai 2013.
- ↑ European Commission initiates probe into US biodiesel circumvention. (PDF; 84 kB) Archiviert vom (nicht mehr online verfügbar) am 21. August 2010; abgerufen am 25. Mai 2013.
- ↑ 2020 Rekordjahr für Klimaschutz durch Biokraftstoffe, aber Ausblick ungewiss – VDB – Verband der Deutschen Biokraftstoffindustrie e. V. Abgerufen am 7. Oktober 2022.
- ↑ Nabil Abdalla, Horst Fehrenbach: Biodiesel aus gebrauchtem Speiseöl und Tierfett. In: ifeu – Institut für Energie- und Umweltforschung Heidelberg. September 2020, abgerufen am 7. Oktober 2022.
- ↑ Absatzzahlen – VDB – Verband der Deutschen Biokraftstoffindustrie e. V. Abgerufen am 7. Oktober 2022.
- ↑ a b c d C. L. Peterson, Gregory Möller: Biodiesel Fuels: Biodegradability, Biological and Chemical Oxygen Demand, and Toxicity, In: Gerhard Knothe, Jon Harlan Van Gerpen, Jürgen Krahl: The Biodiesel Handbook, S. 145–161, AOCS Press, 2005, ISBN 1-893997-79-0
- ↑ Allgemeine Verwaltungsvorschrift zur Änderung der Verwaltungsvorschrift wassergefährdende Stoffe. In: Bundesanzeiger. Band 57, 142a, 30. Juli 2005 (umweltbundesamt.de [PDF]).
- ↑ Gislaine S. Silva, Eric L.S. Marques, J. C. T. Dias, Ivon P. Lobo, Eduardo Gross, Martin Brendel, Rosenira S. da Cruz, Rachel P. Rezende: Biodegradability of soy biodiesel in microcosm experiments using soil from the Atlantic Rain Forest. In: Applied Soil Ecology. 55, 2012, S. 27–35, doi:10.1016/j.apsoil.2012.01.001.
- ↑ Francielle Bücker, Naiara Aguiar Santestevan, Luiz Fernando Roesch, Rodrigo J. Seminotti Jacques, Maria do Carmo Ruaro Peralba, Flávio Anastácio de Oliveira Camargo, Fátima Menezes Bento, Impact of biodiesel on biodeterioration of stored Brazilian diesel oil, In: International Biodeterioration & Biodegradation, Volume 65, Issue 1, January 2011, S. 172–178, doi:10.1016/j.ibiod.2010.09.008
- ↑ Mark Anthony Benvenuto: Industrial Biotechnology. De Gruyter, Berlin, 2019, ISBN 978-3-11-053639-3, S. 27.
- ↑ a b S. Kent Hoekman, Curtis Robbins: Review of the effects of biodiesel on NOx emissions. In: Fuel Processing Technology. 96, 2012, S. 237–249, doi:10.1016/j.fuproc.2011.12.036.
- ↑ Kento T. Magara-Gomez, Michael R. Olson, Tomoaki Okuda, Kenneth A. Walz, James J. Schauer: Sensitivity of hazardous air pollutant emissions to the combustion of blends of petroleum diesel and biodiesel fuel. In: Atmospheric Environment. 50, 2012, S. 307–313, doi:10.1016/j.atmosenv.2011.12.007.
- ↑ O. Schröder, A. Munack, J. Schaak, C. Pabst, L. Schmidt, J. Bünger, J. Krahl: Emissions from diesel engines using fatty acid methyl esters from different vegetable oils as blends and pure fuel. In: Journal of Physics: Conference Series. 364, 2012, S. 012017, doi:10.1088/1742-6596/364/1/012017.
- ↑ Chiung-Yu Peng, Cheng-Hang Lan, Chun-Yuh Yang: Effects of biodiesel blend fuel on volatile organic compound (VOC) emissions from diesel engine exhaust. In: Biomass and Bioenergy, 36, 2012, S 96–106, doi:10.1016/j.biombioe.2011.10.016.
- ↑ Niraj Kumar, Varun, Sant Ram Chauhan: Performance and emission characteristics of biodiesel from different origins: A review. In: Renewable and Sustainable Energy Reviews. 21, 2013, S. 633–658, doi:10.1016/j.rser.2013.01.006.
- ↑ Marek Tatur, Harsha Nanjundaswamy, Dean Tomazic, Matthew Thornton, Andreas Kolbeck, Matthias Lamping: Erhöhter Biodieselanteil im Kraftstoff – Auswirkung auf Motoren und Abgasnachbehandlungssysteme In: MTZ – Motortechnische Zeitschrift, 70, 2009, S. 38–49, doi:10.1007/BF03225456
- ↑ Alexandra Maltas, Hansrudolf Oberholzer, Raphaël Charles, Vincent Bovet und Sokrat Sinaj: Langfristige Wirkung von organischen Düngern auf die Bodeneigenschaften. In: Agrarforschung Schweiz 3 (3): 148–155, 2012.
- ↑ Walter Zegada-Lizarazu, Andrea Monti, Energy crops in rotation. A review. In: Biomass and Bioenergy, Volume 35, Issue 1, January 2011, S. 12–25, doi:10.1016/j.biombioe.2010.08.001.
- ↑ Peter Roschmann: Kraftstoffe aus fossilen und regenerativen Quellen: Eine kritische Gegenüberstellung, 88 Seiten, Grin Verlag, 2012, ISBN 3-656-09613-9.
- ↑ Mario Pagliaro, Michele Rossi: The Future of Glycerol: New Uses of a Versatile Raw Material: New Usages for a Versatile Raw Material, 127 Seiten, Royal Soc of Chemistry, 2008, ISBN 0-85404-124-9.
- ↑ Mario Pagliaro, Rosaria Ciriminna, Hiroshi Kimura, Michele Rossi, Cristina Della Pina: From Glycerol to Value-Added Products. In: Angewandte Chemie International Edition. 46, 2007, S. 4434–4440, doi:10.1002/anie.200604694.
- ↑ Dietmar Steverding: Mikrobielle Herstellung von 1,3-Propandiol. Fermentative Biotechnologie. In: Chemie in unserer Zeit. 44, 2010, S. 384–389, doi:10.1002/ciuz.201000531.
- ↑ A. R. Ravishankara, J. S. Daniel, R. W. Portmann: Nitrous Oxide (N2O): The Dominant Ozone-Depleting Substance Emitted in the 21st Century. In: Science. 326, 2009, S. 123–125, doi:10.1126/science.1176985.
- ↑ Revised 1996 IPCC Guidelines for National Greenhouse Gas Inventories – Reference Manual (Volume 3). Abgerufen am 2. Juni 2013.
- ↑ a b U.S. Environmental Protection Agency: Renewable Fuel Standard Program (RFS2) Regulatory Impact Analysis, EPA-420-R-10-006. (PDF; 17,8 MB) Februar 2010, S. 474–476, abgerufen am 23. März 2019.
- ↑ Melese Tesfaye Firrisa, Iris Duren, Alexey Voinov: Energy efficiency for rapeseed biodiesel production in different farming systems. In: Energy Efficiency. doi:10.1007/s12053-013-9201-2.
- ↑ Umstrittener Stoff – Umweltexperten haben große Zweifel an der Ökobilanz von Biodiesel. Abgerufen am 12. Juni 2013.
- ↑ Stefan Rauh, Alois Heißenhuber: Nahrung vs. Energie – Analyse der Konkurrent-Beziehungen. In: Schriften der Gesellschaft für Wirtschafts- und Sozialwissenschaften des Landbaus e. V.. Band 44, 2008, S. 409.
- ↑ Jahresbericht Mineralöl-Zahlen 2016. (PDF; 6,7 MB) Mineralölwirtschaftverband e. V., August 2016, S. 60, archiviert vom (nicht mehr online verfügbar) am 7. Oktober 2016; abgerufen am 13. April 2017.
- ↑ Stormy-Annika Mildner: Konfliktrisiko Rohstoffe. Herausforderungen und Chancen im Umgang mit knappen Ressourcen, SWP-Studie 5 (2011), S. 115ff
- ↑ a b dpa: Wenn Klima-Maßnahmen alles noch schlimmer machen. Handelsblatt, 28. Februar 2022, ehemals im (nicht mehr online verfügbar); abgerufen am 2. März 2022. (Seite nicht mehr abrufbar. Suche in Webarchiven)
- ↑ Lian Pin Koh, David S. Wilcove: Is oil palm agriculture really destroying tropical biodiversity?. In: Conservation Letters. 1, 2008, S. 60–64, doi:10.1111/j.1755-263X.2008.00011.x.
- ↑ Wouter M. J. Achten, Erik Mathijs, Louis Verchot, Virendra P. Singh, Raf Aerts, Bart Muys: Jatropha biodiesel fueling sustainability?. In: Biofuels, Bioproducts and Biorefining. 1, 2007, S. 283–291, doi:10.1002/bbb.39.
- ↑ Florian Humpenöder, Rüdiger Schaldach, Yalda Cikovani, Liselotte Schebek: Effects of land-use change on the carbon balance of 1st generation biofuels: An analysis for the European Union combining spatial modeling and LCA. In: Biomass and Bioenergy. 56, 2013, S. 166–178, doi:10.1016/j.biombioe.2013.05.003.
- ↑ Amber Broch, S. Kent Hoekman, Stefan Unnasch: A review of variability in indirect land use change assessment and modeling in biofuel policy. In: Environmental Science & Policy. 29, 2013, S. 147–157, doi:10.1016/j.envsci.2013.02.002.
- ↑ Deutsche Akademie der Naturforscher Leopoldina (Hrsg.): Bioenergie: Möglichkeiten und Grenzen: Empfehlungen. Halle (Saale) 2012, ISBN 978-3-8047-3081-6 (leopoldina.org).
- ↑ Z. G. Bai et al.: Global assessment of land degradation and improvement. 1. Identification by remote sensing. Wageningen: International Soil Reference and Information Centre (ISRIC), (2008).
- ↑ Jörg Kretzschmar, Ruth Offermann, Thilo Seidenberger: Ökologische und soziale Aspekte der Kraftstofferzeugung und-nutzung aus Biomasse. Endbericht des Deutschen Biomasse-Forschungs-Zentrum im Rahmen des Verbundvorhabens, Sozial- und verhaltenswissenschaftliche Aspekte der Kraftstofferzeugung und -nutzung aus Biomasse mit der Forschungsgruppe Umweltpsychologie an der Universität des Saarlandes (FG-UPSY) (2011). Herausgegeben vom Bundesministerium für Umwelt, Naturschutz und Reaktorsicherheit, Referat KI III 2 – Solarenergie, Biomasse, Geothermie, Markteinführungsprogramme für Erneuerbare Energien.
- ↑ Rainer Kühl: Marktstruktur- und Verwendungsanalyse von Öl- und Eiweißpflanzen. (2010), Herausgegeben von Union zur Förderung von Oel- und Proteinpflanzen e. V., ISBN 978-3-938886-06-4.
- ↑ R. Poon, V. E. Valli u. a.: Short-term oral toxicity of three biodiesels and an ultra-low sulfur diesel in male rats. In: Food and Chemical Toxicology. Band 47, Nummer 7, Juli 2009, S. 1416–1424, doi:10.1016/j.fct.2009.03.022. PMID 19328220.

