Batcho-Leimgruber-Indol-Synthese
Die Batcho-Leimgruber-Indol-Synthese oder Leimguber-Batcho-Reaktion ist eine Namensreaktion der organischen Chemie. Sie ist die Synthese von Indol aus ortho-Nitrotoluol und läuft in zwei Schritten ab.[1]
Die Reaktion wurde nach den Hoffmann-La-Roche-Chemikern[2] Andrew D. Batcho und Willy Leimgruber benannt, welche von dieser 1971 das erste Mal berichteten.[3]
Übersichtsreaktion
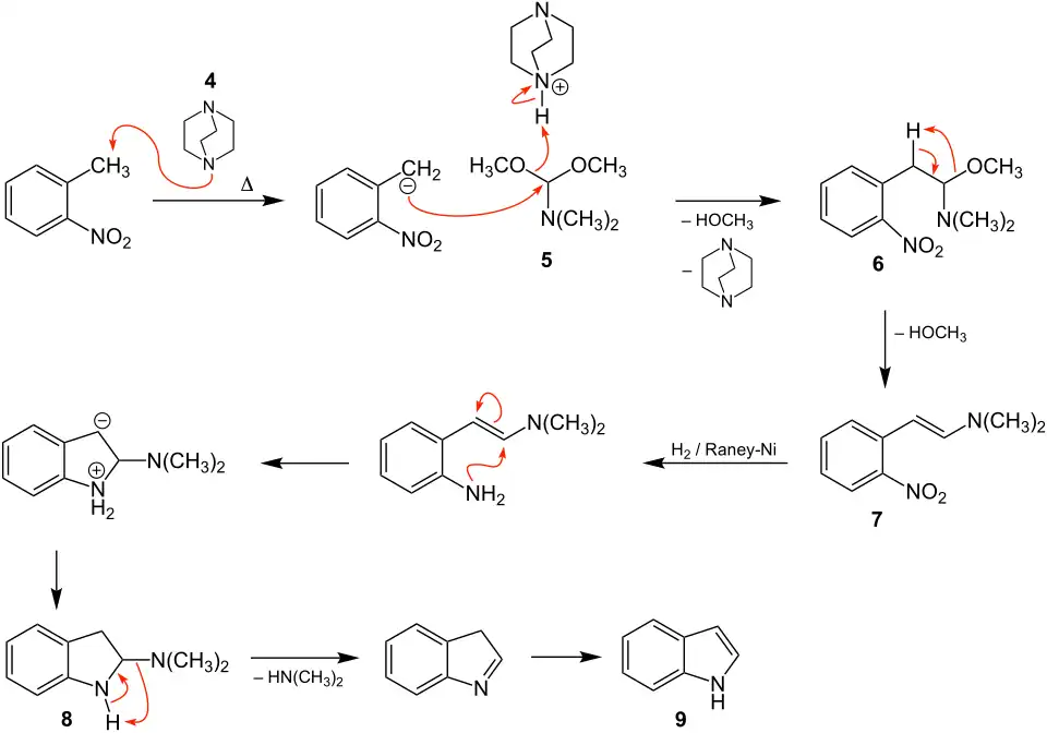
Im ersten Schritt kommt es zu einer Kondensationsreaktion zwischen dem ortho-Nitrotoluol 1 und dem Dimethylformamid-dimethylacetal 2. Im zweiten Schritt folgt der Ringschluss und als Produkt wird Indol 3 erhalten.

Reaktionsmechanismus
Der nachfolgende Reaktionsmechanismus wird in der Literatur[1] beschrieben.

Zu Beginn wird das ortho-Nitrotoluol durch das Triethylendiamin 4 deprotoniert. Das freie Elektronenpaar des Carbanions greift im nächsten Schritt das elektrophile Kohlenstoffatom des Dimethylformamid-dimethylacetals 5 an. Durch darauffolgende Elektronenumlagerungen kommt es zur Abspaltung von Methanol und Triethylendiamin und es wird die Zwischenstufe 6 erhalten. Es folgt die Abspaltung eines weiteren Methanolmoleküls und ein Enamin 7 wird gebildet. Bei diesem kommt es zur Substitution des am Stickstoff gebundenen Sauerstoffs mit Wasserstoff. Als Katalysator dient dabei Raney-Nickel. Danach folgt der Ringschluss und eine Protonenumlagerung, sodass Molekül 8 erhalten wird. Durch Abspaltung von Dimethylamin und der Isomerisierung im letzten Schritt wird Indol 9 erhalten.
Einzelnachweise
- ↑ a b Zerong Wang: Comprehensive Organic Name Reactions and Reagents, Wiley, 2010, ISBN 9780470638859, S. 258–262, doi:10.1002/9780470638859.
- ↑ Jie Jack Li: Name Reactions: A Collection of Detailed Mechanisms and Synthetic Applications, 5. Ausgabe, Springer Science & Business Media, 2014, ISBN 9783319039794, S. 35 in der Google-Buchsuche.
- ↑ Tōhoku Daigaku: Third International Congress of Heterocyclic Chemistry, Tohoku University, 1971, S. 462.