Bass-Serre-Bäume sind eine Konstruktion aus dem mathematischen Teilgebiet der Gruppentheorie, mit der Gruppenwirkungen von amalgamierten Produkten oder allgemeiner Fundamentalgruppen von Graphen von Gruppen auf Bäumen konstruiert werden können.
Sie sind nach Hyman Bass und Jean-Pierre Serre benannt.
Definition
Es sei
ein Graph von Gruppen und
seine Fundamentalgruppe. Der zugehörige Bass-Serre-Baum
wird konstruiert wie folgt:
- die Ecken sind

- die Kanten sind

- die Kante
hat die Ecken
und
, für 
Die Gruppe
wirkt auf
durch Linksmultiplikationen auf
und
.
ist ein Baum.[1]
Struktursatz
Es sei
ein Graph von Gruppen und
sein Bass-Serre-Baum. Dann sind die Stabilisatoren von Ecken
bzw. Kanten
isomorph zu
bzw.
für
bzw.
und der Quotient
ist der dem Graph von Gruppen unterliegende Graph
.
Beispiele
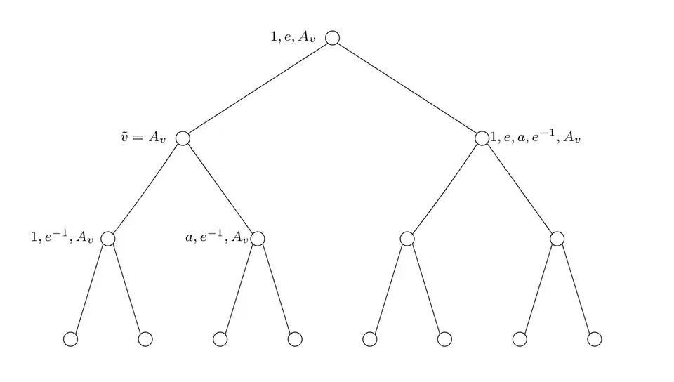
Die beiden folgenden Graphen[2] sind die Bass-Serre-Bäume eines freien Produkts bzw. einer HNN-Erweiterung.
- Bass-Serre-Baum des freien Produkts
:
- Bass-Serre-Baum der Baumslag-Solitar-Gruppe
:
Literatur
Jean-Pierre Serre: Trees. Translated from the French original by John Stillwell. Corrected 2nd printing of the 1980 English translation. Springer Monographs in Mathematics. Springer-Verlag, Berlin, 2003. ISBN 3-540-44237-5
Weblinks
Richard Weidmann: Bass-Serre theory (Memento vom 19. Februar 2015 im Internet Archive)
Einzelnachweise
- ↑ Serre, op.cit., Theorem 12 in Chapter I
- ↑ Weidmann, op.cit., Chapter 5