Brillantgrün (Farbstoff)
| Strukturformel | |||||||||||||||||||
|---|---|---|---|---|---|---|---|---|---|---|---|---|---|---|---|---|---|---|---|
| |||||||||||||||||||
| Allgemeines | |||||||||||||||||||
| Name | Brillantgrün | ||||||||||||||||||
| Andere Namen |
| ||||||||||||||||||
| Summenformel | C27H34N2O4S | ||||||||||||||||||
| Kurzbeschreibung |
grüner Feststoff mit schwachem Geruch[1] | ||||||||||||||||||
| Externe Identifikatoren/Datenbanken | |||||||||||||||||||
| |||||||||||||||||||
| Eigenschaften | |||||||||||||||||||
| Molare Masse | 482,64 g·mol−1 | ||||||||||||||||||
| Aggregatzustand |
fest[1] | ||||||||||||||||||
| Dichte |
1,126 g·cm−3[1] | ||||||||||||||||||
| Schmelzpunkt | |||||||||||||||||||
| Siedepunkt |
Zersetzung im Bereich von 237 °C bis 279 °C[1] | ||||||||||||||||||
| Löslichkeit |
leicht in Wasser (100 g·l−1 bei 20 °C)[1] | ||||||||||||||||||
| Sicherheitshinweise | |||||||||||||||||||
| |||||||||||||||||||
| Toxikologische Daten | |||||||||||||||||||
| Wenn nicht anders vermerkt, gelten die angegebenen Daten bei Standardbedingungen (0 °C, 1000 hPa). | |||||||||||||||||||
C.I. Basic Green 1, Trivialname Brillantgrün (lateinisch Viride nitens) ist ein kationischer Farbstoff aus der Gruppe der Triphenylmethanfarbstoffe. Es ist in Wasser und Alkohol löslich, die Lösungen haben eine grüne Farbe. Im pH-Bereich zwischen 0,0 und 2,6 wechselt die Farbe von gelb zu grün.
Eigenschaften
Brillantgrün ist ein brennbarer grüner Feststoff mit schwachem Geruch, der leicht löslich in Wasser ist. Er zersetzt sich ab einer Temperatur über 210 °C. Seine wässrige Lösung reagiert sauer.[1] Die grüne Farbe ist darauf zurückzuführen, dass mehrere mesomere Grenzstrukturen existieren, in denen die delokalisierten π-Elektronen leicht anregbar sind und im sichtbaren Bereich der elektromagnetischen Strahlung Wellenlängen im roten Bereich absorbieren können.

Darstellung
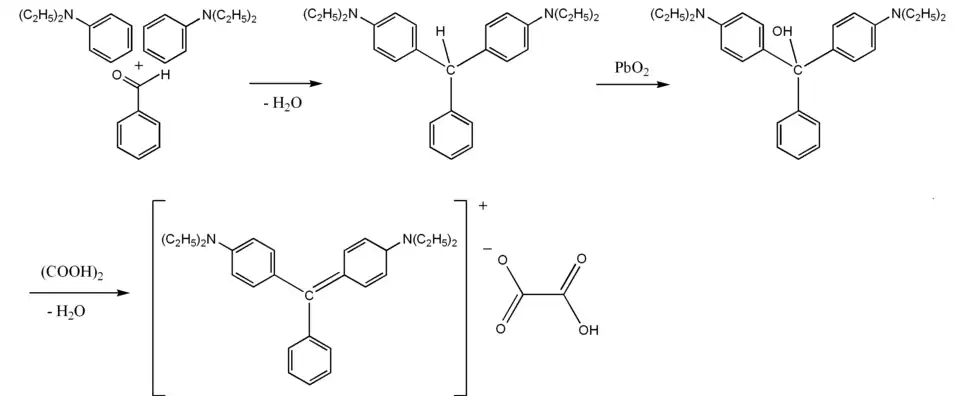
Man synthetisiert die farblose Leukobase des Brillantgrün aus N,N-Diethylanilin und Benzaldehyd in Gegenwart von Zinkchlorid oder konzentrierter Schwefelsäure. Anschließend wird mit Blei(IV)-, Mangan(VII)- oder Chrom(VI)-oxid in saurer Lösung oxidiert. Die so erhaltene Carbinolbase wird durch Erhitzen dehydratisiert und mit Schwefel- oder Oxalsäure neutralisiert. Als Antiseptikum ist das Oxalat (CAS 23664-66-6) üblich.

Verwendung
Brillantgrün kann zum Färben und Bedrucken von Textilien, Leder und Papier sowie in Druckfarben, Tinten, Farbbändern und Kugelschreiberpasten verwendet werden.[1]
Brillantgrün verfügt als Oxidationsmittel über eine breite biozide Wirkung gegen Parasiten, Pilzbefall und bakterielle Infektionen.[3] In der Veterinärmedizin war das Altarzneimittel (ohne moderne Zulassung) schon lange im Einsatz. Es wurde auch in der Teichwirtschaft und Aquaristik eingesetzt.
Mit der Ergänzungslieferung 1996 wurde Brillantgrün aus dem NRF gestrichen. Prüfzertifikate nach DAC fehlten. Bedingt durch die Synthese kann der Grünfarbstoff mit Schwermetallen verunreinigt sein. Die pharmakologisch-toxikologische Nutzen/Risiko-Abwägung fiel aufgrund lang anhaltender Probleme negativ aus.[4]
Brillantgrün wurde auch in der Biochemie verwendet. Friedrich Loeffler verwendete die Verbindung zur Anreicherung von Typhus- und Paratyphuserregern.[5] Das Brillantgrün-Galle-Medium dient zur selektiven Anreicherung und Zählung von coliformen Bakterien in Milch,[6] Wasser und anderen Proben.[7] Es ist ein mesomeriestabilisiertes quartäres Ammoniumsalz.
Seljonka

In Osteuropa und den Ländern der ehemaligen UdSSR wird die alkoholische Lösung von Basic Green 1 (Solutio viridis nitentis spirituosa 1 %) als Antiseptikum[8] verwendet. In der Umgangssprache heißt der Stoff russisch зелёнка „seljonka“.[9][10]
Unter einer Seljonka-Attacke versteht man eine Form von Protest, Provokation oder gewalttätigem Angriff auf eine Person, die vorwiegend im Gesicht mit der grünen Farblösung übergossen wird. In den 2010er Jahren war dies in Russland und der Ukraine weit verbreitet. In der Folge wurde die Seljonka – und die grüne Farbe im Allgemeinen – zum Symbol des politischen Protestes in Russland.[11]
Weblinks
Einzelnachweise
- ↑ a b c d e f g h i Eintrag zu Brilliantgrün in der GESTIS-Stoffdatenbank des IFA, abgerufen am 10. Januar 2025. (JavaScript erforderlich)
- ↑ a b Datenblatt Brillantgrün (Farbstoff) bei Sigma-Aldrich, abgerufen am 14. März 2011 (PDF).
- ↑ Otto Hermann Paetzold: Experimentelle Untersuchungen zur Frage des Wirkungsmechanismus von Brillantgrün bei Staphylokokken. In: Arch. Derm. Forsch. Band 243, 1972, doi:10.1007/bf00595323.
- ↑ Rezepturhinweise: Farbstoffe. Neues Rezeptur-Formularium. ABDA – Bundesvereinigung Deutscher Apothekerverbände. Pharmazeutisches Laboratorium / Govi-Verlag Pharmazeutischer Verlag GmbH. 13. Juli 2009. (PDF)
- ↑ H. Killian: Brillantgrün, seine elektiv-bacterieide Wirkung und seine Verwendung zur Typhus- und Paratyphusdiagnose. In: Zeitschr. f. Hygiene. Band 103, 1924, doi:10.1007/bf02179544.
- ↑ DIN 10172-1:1992-04, Mikrobiologische Milchuntersuchung; Bestimmung der coliformen Keime; Verfahren mit flüssigem Nährmedium. doi:10.31030/2513475.
- ↑ Brillantgrün-Galle-Medium – Zur selektiven Anreicherung und Zählung von coliformen Bakterien in Milch, Wasser und anderen Proben
- ↑ Joseph K. Narat: Brilliant Green: a Clinical Study of Its Value As a Local Antiseptic. In: Ann Surg. Band 94, Nr. 6, 1931, S. 1007–1012, doi:10.1097/00000658-193112000-00003.
- ↑ M. Balabanova, L. Popova, R. Tchipeva, Disease-a-Month, 50(6), 2004, S. 270–279. doi:10.1016/j.disamonth.2004.05.002.
- ↑ Maria Balabanova, Liudmila Popova, Rositsa Tchipeva: Dyes in dermatology. In: Clinics in Dermatology. Band 21, Nr. 1, 1. Januar 2003, S. 2–6, doi:10.1016/S0738-081X(02)00330-9.
- ↑ Julia Smirnova: Russland: Bei Chemikalien-Angriffen auf Kritiker schaut der Kreml weg. In: welt.de. Die Welt, 3. Mai 2017, abgerufen am 6. Mai 2017.
_Structural_Formula_V1.svg.png)


