Bahnhof Gifu
| Gifu (岐阜) | |
|---|---|
![]() Südeingang (Dezember 2015)
| |
| Daten | |
| Betriebsstellenart | Bahnhof |
| Lage im Netz | Trennungsbahnhof |
| Bauform | Durchgangsbahnhof |
| Bahnsteiggleise | 6 |
| Abkürzung | CA74 / CG00 |
| Eröffnung | 27. Januar 1887 |
| Lage | |
| Stadt/Gemeinde | Gifu |
| Präfektur | Gifu |
| Staat | Japan |
| Koordinaten | 35° 24′ 34″ N, 136° 45′ 24″ O |
| Höhe (SO) | 11 m T.P. |
| Eisenbahnstrecken | |
| Liste der Bahnhöfe in Japan | |
Der Bahnhof Gifu (jap. 岐阜駅, Gifu-eki) ist ein Bahnhof auf der japanischen Insel Honshū. Er wird von der Bahngesellschaft JR Central betrieben und befindet sich in der Präfektur Gifu auf dem Gebiet der Stadt Gifu. Der wichtige Verkehrsknotenpunkt gilt neben dem Bahnhof Meitetsu Gifu als einer der beiden Hauptbahnhöfe der Stadt.
Verbindungen
Gifu ist ein Trennungsbahnhof an der Tōkaidō-Hauptlinie der Bahngesellschaft JR Central, einer der bedeutendsten Bahnstrecken Japans, die von Kōbe über Osaka und Nagoya nach Tokio führt. Hier zweigt die Takayama-Hauptlinie in Richtung Toyama ab. JR Central und JR West bieten gemeinsam zwei Schnellzug-Gattungen an. Acht Shirasagi-Zugpaare je Tag verbinden den Bahnhof Nagoya mit Gifu, Maibara und Tsuruga. Zehn Hida-Zugpaare täglich verkehren von Nagoya über Gifu nach Takayama und zurück (vier davon weiter bis Toyama).
Im Regionalverkehr auf der Tōkaidō-Hauptlinie werden an Werktagen tagsüber neun bis zehn Züge je Stunde in südöstlicher Richtung angeboten, während der Hauptverkehrszeit bis zu 15. In westlicher Richtung sind es je nach Tageszeit vier bis sechs Züge. Es werden vier Gattungen von Eilzügen unterschieden. Allen gemeinsam ist, dass zwischen Toyohashi und Gifu die Anzahl der Halte variiert; zwischen Gifu und Maibara halten die Züge hingegen an allen Bahnhöfen. Ihre Bezeichnungen lauten „Special Rapid“ (特別快速, Tokubetsu kaisoku), „New Rapid“ (新快速, Shin kaisoku), „Rapid“ (快速, Kaisoku) und „Semi Rapid“ (区間快速, Kukan kaisoku). Hinzu kommen Lokalzüge mit Halt an allen Bahnhöfen zwischen Gifu und Toyohashi, wobei etwa die Hälfte ab und bis Okazaki verkehren.[1][2] Auf der Takayama-Linie fahren Nahverkehrszüge im Halbstundentakt bis Mino-Ōta oder Tajimi.[3]
Der nördliche Bahnhofsvorplatz ist Standort eines großen Busterminals für den städtischen und regionalen Verkehr. Von 15 Bussteigen aus fahren rund 90 Linien, die fast alle von der Gesellschaft Gifu Bus betrieben werden; sie erschließen das gesamte Stadtgebiet und einen großen Teil des Unlands.[4] Ein weiterer Busterminal für den Fernbusverkehr befindet sich neben dem Bahnhof Meitetsu Gifu.
Anlage

Der Bahnhof steht an der Grenze zwischen den Stadtteilen Hashimotochō im Norden und Kanōfujimachi im Süden. Die Südseite ist von ausgedehnten Wohnvierteln geprägt, während die Nordseite einen Randbereich des zentralen Büro- und Geschäftsviertels mit zahlreichen Läden, Banken und Hotels bildet. Stadtbildprägend ist insbesondere der 163 m hohe Wolkenkratzer Gifu City Tower 43 unmittelbar westlich des Bahnhofs, das höchste Gebäude der Präfektur Gifu. Flankiert wird der Bahnhof auch von den Hochhäusern Gifu Sky Wing 37 und Gifu East Rising 24. Auf dem nördlichen Bahnhofsvorplatz steht eine goldene Statue zum Gedenken an den Feldherrn Oda Nobunaga. Über Fußgängerbrücken erreichbar ist der rund 300 Meter entfernte Bahnhof Meitetsu Gifu, die Endstation zweier Linien der Bahngesellschaft Meitetsu.
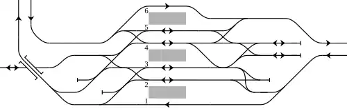
Die auf einem Viadukt befindliche Anlage ist von Osten nach Westen ausgerichtet und umfasst sechs Gleise, die alle dem Personenverkehr dienen. Diese liegen an drei überdachten Mittelbahnsteigen, wobei die beiden äußeren Zügen der Tōkaidō-Hauptlinie vorbehalten sind und der innere solchen der Takayama-Hauptlinie. Treppen, Rolltreppen und Aufzüge stellen die Verbindung zur ebenerdigen Verteilerebene her, die unter dem Viadukt angeordnet ist. Besonders markant ist der Eingangsbereich zum teilweise parkähnlich gestalteten nördlichen Bahnhofsvorplatz hin. Die Außenwände des dreigeschossigen Empfangsgebäudes, das nach dem Konzept eines „Bahnhofs im Wald“ entworfen wurde, sind mit transparenten Platten verkleidet. Die Beleuchtung und die Decke des Bauwerks sind dem Motiv traditioneller japanischer Regenschirme aus Gifu nachempfunden.[5] Im ersten Stockwerk des Empfangsgebäudes befindet sich die Gifu Station Plaza, eine Zweigstelle des Rathauses, in der wichtige öffentlichkeitsrelevante Dienstleistungen der Stadt zusammengefasst sind.
Im Fiskaljahr 2019 nutzten durchschnittlich 32.122 Fahrgäste täglich den Bahnhof.[6]
Bilder
-
Ansicht vom Gifu City Tower 43
-
Statue von Oda Nobunaga -
Bahnsteigsperren -
Ansicht der Bahnsteige -
Ticketschalter im 3. Stock (November 2022)
Gleise

| 1/2 | ▉ Tōkaidō-Hauptlinie | Nagoya • Mikawa-Anjō • Toyohashi |
| 3/4 | ▉ Takayama-Hauptlinie | Mino-Ōta • Takayama • Inotani • Toyama |
| 5/6 | ▉ Tōkaidō-Hauptlinie | Ōgaki • Maibara |
Linien
| Verlauf der Takayama-Hauptlinie |
|---|
| • Nagamori • Naka • Sohara • Kagamigahara • Unuma • Sakahogi • Mino-Ōta • Kobi • Nakakawabe • Shimoasō • Kamiasō • Shirakawaguchi • Shimoyui • Hida-Kanayama • Yakeishi • Gero • Zenshōji • Hida-Hagiwara • Jōro • Hida-Miyada • Hida-Osaka • Nagisa • Kuguno • Hida-Ichinomiya • Takayama • Hozue • Hida-Kokufu • Hida-Furukawa • Sugisaki • Hida-Hosoe • Tsunogawa • Sakakami • Utsubo • Sugihara • Inotani • Nirehara • Sasazu • Higashi-Yatsuo • Etchū-Yatsuo • Chisato • Hayahoshi • Fuchū-Usaka • Nishi-Toyama • Toyama |
| Verlauf der Tōkaidō-Hauptlinie (Toyohashi–Maibara) |
|---|
| Toyohashi • Nishi-Kozakai • Aichi-Mito • Mikawa-Ōtsuka • Mikawa-Miya • Gamagōri • Mikawa-Shiotsu • Sangane • Kōda • Aimi • Okazaki • Nishi-Okazaki • Anjō • Mikawa-Anjō • Higashi-Kariya • Noda-Shinmachi • Kariya • Aizuma • Ōbu • Kyōwa • Minami-Ōdaka • Ōdaka • Kasadera • Atsuta • Kanayama • Otōbashi • Nagoya • Biwajima • Kiyosu • Inazawa • Owari-Ichinomiya • Kisogawa • • Nishi-Gifu • Hozumi • Ōgaki • Tarui • Sekigahara • Kashiwabara • Ōmi-Nagoka • Samegai • Maibara |
Geschichte

Die staatliche Eisenbahnverwaltung eröffnete am 21. Januar 1887 den Bahnhof Kanō (加納), der mehrere hundert Meter nordöstlich des heutigen Standorts lag, ungefähr beim inzwischen stillgelegten Bahnhof Arata der Meitetsu Kakamigahara-Linie. Er ging zusammen mit einem Teilstück der Tōkaidō-Hauptlinie in Betrieb, das von Ōgaki bis dorthin führte. Kanō war rund drei Monate lang Endstation, bis der Inbetriebnahme des daran anschließenden Teilstücks nach Kisogawa und einer Brücke über den Kiso am 25. April desselben Jahres.[7] Am 15. Dezember 1888 erfolgte die Umbenennung des Bahnhofs in Gifu.[8] Er wurde im Juni 1889 nach Westen verlegt und befand sich nun in der Nähe des Bahnhofs Meitetsu Gifu. Eine neue Streckenführung durch das Stadtzentrum erforderte eine weitere Verlegung des Bahnhofs Gifu, diesmal an seinen definitiven Standort. Die neue Anlage ging am 22. Juli 1913 in Betrieb. Das Empfangsgebäude entsprach jenen des 1909 stillgelegten Bahnhofs Aichi in Nagoya; es war dort abgetragen und Stück für Stück in Gifu wiederaufgebaut worden.[7]
Das Eisenbahnministerium eröffnete am 1. November 1920 den ersten Abschnitt der Takayama-Hauptlinie nach Kakamigahara und verlängerte sie in den folgenden zehn Jahren etappenweise bis nach Toyama, wodurch Gifu zu einem bedeutenden Eisenbahnknoten wurde. Ein Luftangriff der United States Army Air Forces am 9. April 1945 zerstörte einen großen Teil der Stadt mitsamt dem Bahnhof. Der Wiederaufbau zog sich über drei Jahre lang hin. Ab 1. April 1959 stand ein neu erbautes Empfangsgebäude zur Verfügung.[7] Aus Rationalisierungsgründen gab die Japanische Staatsbahn am 1. November 1986 den Güterumschlag auf und verlegte ihn zum neu erbauten und vier Kilometer westlich gelegenen Güterbahnhof. Im Rahmen der Staatsbahnprivatisierung ging der Bahnhof am 1. April 1987 in den Besitz der neuen Gesellschaft JR Central über.
In den letzten Jahren der Staatsbahn war die Höherlegung der Bahnanlagen auf einen Viadukt in Angriff genommen worden, um die zahlreichen höhengleichen Bahnübergänge in der Innenstadt zu beseitigen. Das Projekt war sehr aufwändig und wurde in mehreren Etappen im Verlaufe von fast zwei Jahrzehnten umgesetzt. Am 26. Februar 1996 waren alle zum Bahnhof führenden Gleise aufgeständert.[9] Das neue Empfangsgebäude ging am 2. März 1997 in Betrieb, worauf sein Vorgängerbau im Oktober 1998 abgerissen wurde. Die Umgestaltung des südlichen Bahnhofsvorplatzes war am 18. Oktober 1999 beendet.[10] Mit dem Abriss des ehemaligen Empfangsgebäudes an der Südseite war das gesamte Projekt im Juli 2004 abgeschlossen.
Weblinks
- Bahnhofsinformationen von JR Central (japanisch)
Einzelnachweise
- ↑ Werktagsfahrplan Tōkaidō-Hauptlinie in Richtung Toyohashi. (PDF) JR Central, 2023, abgerufen am 13. April 2024 (japanisch).
- ↑ Werktagsfahrplan Tōkaidō-Hauptlinie in Richtung Maibara. (PDF) JR Central, 2023, abgerufen am 13. April 2024 (japanisch).
- ↑ Fahrplan Takayama-Hauptlinie. (PDF) JR Central, 2023, abgerufen am 13. April 2024 (japanisch).
- ↑ Informationen zum Busverkehr. Gifu Bus, 2024, abgerufen am 13. April 2024 (japanisch).
- ↑ 号 岐阜駅・高山駅・奈良井駅ほか68駅. In: 週刊 JR全駅・全車両基地. Band 48. Asahi Shimbun-sha, Osaka 2013, S. 6–8.
- ↑ 岐阜市統計書 令和3年版. (Statistisches Jahrbuch der Stadt Gifu). Stadt Gifu, 2021, abgerufen am 13. April 2024 (japanisch).
- ↑ a b c 号 岐阜駅・高山駅・奈良井駅ほか68駅. S. 11.
- ↑ 彙報 停車場改称. In: Offizielles Amtsblatt. Nationale Parlamentsbibliothek, 20. November 1888, abgerufen am 13. April 2024 (japanisch).
- ↑ Masahiko Watari: JR岐阜駅周辺 全面高架化完成. In: Tetsudō Pikutoriaru. Band 622. Denkisha kenkyūkai, Chiyoda Juni 1996, S. 88–89.
- ↑ JR岐阜駅 南口駅前広場が完成. In: Kōtsū Shimbun, 22. Oktober 1999, S. 3.
