Büchi-Automat

Der Büchi-Automat (nach dem Schweizer Mathematiker Julius Richard Büchi) ist eine spezielle Form des ω-Automaten. Dieser Automatentyp kann benutzt werden, um sowohl Sprachen über unendlichen Wörtern als auch über unendlichen Bäumen zu erkennen.

Büchi-Automaten zur Worterkennung

Nichtdeterministischer Büchi-Automat zur Worterkennung

Ein nichtdeterministischer Büchi-Automat (NBA) ist ein 5-Tupel wobei gilt:

  • ist eine endliche Menge von Zuständen, die Zustandsmenge
  • ist eine endliche Menge von Symbolen, das Eingabealphabet
  • ist die Übergangsrelation mit
  • ist eine endliche Menge von Zuständen mit , die Startzustandsmenge
  • ist eine endliche Menge von Zuständen mit , die Endzustandsmenge

Deterministischer Büchi-Automat zur Worterkennung

Ein deterministischer Büchi-Automat (DBA) ist ein 5-Tupel wobei gilt:

  • ist eine endliche Menge von Zuständen, die Zustandsmenge
  • ist eine endliche Menge von Symbolen, das Eingabealphabet
  • ist die Übergangsfunktion mit
  • ist der Startzustand mit
  • ist eine endliche Menge von Zuständen mit , die Endzustandsmenge

Deterministische Büchi-Automaten sind nicht unter Komplementbildung abgeschlossen.

Akzeptanzverhalten

Ein unendliches Wort wird vom (nichtdeterministischen) Büchi-Automaten akzeptiert genau dann, wenn für einen (deterministisch: den) zugehörigen (unendlichen) Pfad gilt:

  • für alle
  • es gibt unendlich viele mit .

Weniger formal bedeutet das: Wird ein Endzustand unendlich oft durchlaufen, dann akzeptiert der Büchi-Automat das Eingabewort.

Die von einem Büchi-Automaten akzeptierte ω-Sprache (Menge unendlicher Wörter) ist . Diese ω-Sprache heißt dann Büchi-erkennbar. Jede Büchi-erkennbare ω-Sprache kann durch dargestellt werden, wobei und reguläre Sprachen für alle sind. Aufgrund dieses engen Zusammenhangs zu regulären Sprachen werden Büchi-erkennbare ω-Sprachen auch als ω-reguläre Sprachen bezeichnet. Damit ist der nichtdeterministische Büchi-Automat äquivalent zum Muller-Automaten, Rabin-Automaten, Streett-Automaten und zum Parity-Automaten.

Eigenschaften

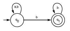
Die Möglichkeit der Potenzmengenkonstruktion, d. h. der Algorithmus, um aus einem nichtdeterministischen einen deterministischen Automaten zu machen, ist auf Büchi-Automaten nicht anwendbar. Die Menge der durch deterministische Büchi-Automaten erkennbaren Sprachen ist echt kleiner als die Menge der durch nichtdeterministische Büchi-Automaten erkennbaren Sprachen. Zum Beispiel gibt es keinen deterministischen Büchi-Automaten, welcher die Sprache erkennt. Ein nichtdeterministischer Büchi-Automat für kann dagegen wie folgt grafisch angegeben werden:

nichtdeterministischer Büchi-Automat für die Sprache aller ω-Wörter, die nur endlich viele a enthalten

Büchi-Automaten zur Baumerkennung

Die Abkürzung BBA (englisch BTA) bezeichnet einen nichtdeterministischen Büchi-Automaten zur Baumerkennung; deterministische Büchi-Baumautomaten werden in der Regel nicht betrachtet. Als Eingabe dient ein unendlicher, gewurzelter Baum, dessen Knoten mit Symbolen aus dem Eingabealphabet beschriftet sind und bei dem jeder Knoten einen Ausgangsgrad hat. Der Aufbau des Büchi-Automaten zur Baumerkennung entspricht dem des NBA, wobei jedoch die Übergangsrelation eine andere Form hat:

.

Ein Lauf eines Büchi-Baumautomaten auf einem Eingabebaum ist ein Baum , der die gleichen Eigenschaften wie hat, bei dem die Knoten jedoch nicht mit Eingabesymbolen, sondern mit Zuständen beschriftet sind. Die Wurzel von ist mit einem Startzustand versehen, die restlichen Beschriftungen erfolgen gemäß der Übergangsrelation.

Akzeptanzverhalten

Ein unendlicher Baum wird von einem Büchi-Baumautomaten akzeptiert genau dann, wenn für einen Lauf von auf gilt: Auf jedem unendlichen Pfad in kommen unendlich viele Endzustände vor. Die durch einen Büchi-Baumautomaten akzeptierten Bäume bilden eine Büchi-erkennbare Baumsprache. Die Klasse der Büchi-erkennbaren Baumsprachen ist unter Vereinigung abgeschlossen. Unter Komplement ist sie hingegen nicht abgeschlossen, wie sich mit einer Variante des Pumping-Lemmas zeigen lässt.

Jeder Büchi-Baumautomat lässt sich in einen äquivalenten Muller-Baumautomaten (MBA) umwandeln. Da die Klasse der muller-erkennbaren Baumsprachen unter Komplement abgeschlossen ist, sind Büchi-Baumautomaten schwächer als MBAs und als Paritätsbaumautomaten, welche äquivalent zu MBAs sind.

Co-Büchi-Automaten

Ein (deterministischer) Co-Büchi-Automat ist ein 5-Tupel und unterscheidet sich von einem deterministischen Büchi-Automaten nur durch das Akzeptanzverhalten. Während ein Büchi-Automat ein Wort akzeptiert, falls immer wieder ein Endzustand besucht wird, so akzeptiert ein Co-Büchi-Automat ein Wort nur, wenn ab einem gewissen Punkt nur noch Endzustände besucht werden. Schreibt man dies etwas formaler auf, so sieht man, dass der Existenzquantor und der Allquantor vertauscht werden. Ein unendliches Wort wird vom (deterministischen) Büchi-Automaten bzw. Co-Büchi-Automaten akzeptiert genau dann, wenn für den zugehörigen eindeutigen Pfad gilt

  • mit (Büchi-Automat)
  • mit (Co-Büchi-Automat)

Literatur

  • Wolfgang Thomas: Automata on Infinite Objects. In: Jan van Leeuwen (Hrsg.): Handbook of Theoretical Computer Science. Band B: Formal Models and Semantics. Elsevier Science Publishers u. a., Amsterdam u. a. 1990, ISBN 0-444-88074-7, S. 133–164.