Aizermansche Potentialfunktion

Die Aizermansche Potentialfunktion ist eine durch Parameter beschriebene, stetig differenzierbare, unimodale Funktion, die an jeder Stelle ihres Definitionsgebietes echt größer als Null ist. Sie beschreibt ein Wirkungsgebiet einer Erscheinung, die sich nicht scharf abgrenzen lässt.[1][2]
Diese Funktion wird unter anderem als Zugehörigkeitsfunktion bei der Fuzzy-Pattern-Klassifikation eingesetzt, um die Unschärfe von Objekten und Klassen parametrisch zu beschreiben. Die Parameter der Funktion sind gut interpretierbar. Sie ist gut an die Verteilung kompakt liegender Objekte im Merkmalsraum anpassbar, wenn sie als Klassenzugehörigkeitsfunktion aus Beispielobjekten durch überwachtes Lernen berechnet wird.[3]
Parametrische Beschreibung


Die Funktion kann durch die Parameter , , , analytisch beschrieben werden:
- .
- Ausdehnung: Parameter
- Durch den Parameter wird das als scharf betrachtete Wirkungsgebiet der Erscheinung beschrieben.
- Randzugehörigkeit: Parameter
- Der Parameter beschreibt die vorhandene Zugehörigkeit der Erscheinung an den Punkten .
- Die Punkte können als Rand der Ausprägung angesehen werden.
- Verlauf der Zugehörigkeitsfunktion: Parameter
- Durch diesen Parameter wird der stetige fallende Verlauf der Zugehörigkeitsfunktion zum Rand hin beschrieben.
- Lageinformation: Parameter

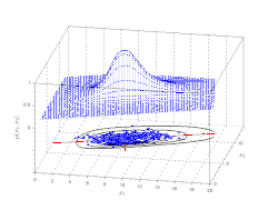
Klassenbeschreibung mittels Aizermannscher Potentialfunktion. Die Klasse liegt zu den beiden Hauptachsen gedreht im zweidimensionalen Merkmalsraum.
- Der Punkt kennzeichnet den Repräsentanten einer unscharfen Menge (Klasse). Er kann z. B. als Schwerpunkt einer Klasse oder als arithmetisches Mittel aller eine Klasse bildenden Objekte angesehen werden.
Die Flexibilität wird durch unterschiedliche Parameter des linken und rechten Astes der Funktion erhöht.
- .
Einzelnachweise
- ↑ M. A. Aizerman, Emmanuel M. Braverman, L. I. Rozoner: Theoretical foundations of the potential function method in pattern recognition learning. In: Automation and Remote Control. Band 25, 1964, S. 821–837.
- ↑ М. А. Айзерман, Э. М. Браверман, Л. И. Розоноэр: Метод потенциальных функций в теории обучения машин. Наука, 1970.
- ↑ S. F. Bocklisch: Prozessanalyse mit unscharfen Verfahren. Verlag Technik, Berlin 1987, ISBN 3-341-00211-1.