2-Hydroxyethylacrylat
| Strukturformel | |||||||||||||||||||
|---|---|---|---|---|---|---|---|---|---|---|---|---|---|---|---|---|---|---|---|
| |||||||||||||||||||
| Allgemeines | |||||||||||||||||||
| Name | 2-Hydroxyethylacrylat | ||||||||||||||||||
| Andere Namen | |||||||||||||||||||
| Summenformel | C5H8O3 | ||||||||||||||||||
| Kurzbeschreibung |
farblose Flüssigkeit mit stechendem Geruch[2] | ||||||||||||||||||
| Externe Identifikatoren/Datenbanken | |||||||||||||||||||
| |||||||||||||||||||
| Eigenschaften | |||||||||||||||||||
| Molare Masse | 116,1 g·mol−1 | ||||||||||||||||||
| Aggregatzustand |
flüssig | ||||||||||||||||||
| Dichte |
1,106 g·cm−3[2] | ||||||||||||||||||
| Schmelzpunkt | |||||||||||||||||||
| Siedepunkt |
200,3 °C[2] | ||||||||||||||||||
| Dampfdruck | |||||||||||||||||||
| Löslichkeit |
mischbar mit Wasser[2] | ||||||||||||||||||
| Sicherheitshinweise | |||||||||||||||||||
| |||||||||||||||||||
| Toxikologische Daten | |||||||||||||||||||
| Wenn nicht anders vermerkt, gelten die angegebenen Daten bei Standardbedingungen (0 °C, 1000 hPa). | |||||||||||||||||||
Bei 2-Hydroxyethylacrylat (HEA) handelt es sich um einen Ester der Acrylsäure. Es enthält sowohl eine Hydroxygruppe als auch eine ungesättigte Doppelbindung. Im Allgemeinen wird es als Monomer für unterschiedliche Bindemittelklassen sowie Polymere verwendet.[4]
Gewinnung und Darstellung
2-Hydroxyethylacrylat kann über die Reaktion von Acrylsäure mit Ethylenoxid synthetisiert werden.[4]

Wird statt Acrylsäure die Methacrylsäure genutzt, erhält man 2-Hydroxyethylmethacrylat. Wird Hydroxyethylacrylat statt Hydroxyethylmethacrylat in Harzen und Polymeren eingesetzt, erhält man weichere bzw. flexiblere Eigenschaften.
Eigenschaften
Als Monomer mit zwei unterschiedlichen Reaktiven Gruppen kann Hydroxyethylacrylat für unterschiedliche Anwendungen genutzt werden. Wünscht man Oligomere, Harze oder Polymere mit ungesättigten Doppelbindungen zu synthetisieren kann eine Reaktion über die Hydroxygruppe erfolgen. Dementgegen können Oligomere, Harze oder Polymere mit Hydroxygruppen ausgestattet werden, wenn eine Polymerisation über die ungesättigte Doppelbindung stattfindet.
Bei der Reaktion mit Isocyanaten besitzt Hydroxyethylacrylat eine mittlere Reaktivität, welche zum einen aus dem elektronenschiebenden Effekt der Kohlenwasserstoffketten resultiert und zum anderen aus der besseren Verfügbarkeit zur Reaktion. Hiermit ist gemeint, dass eine Hydroxygruppe an einer langen Kette eine weitaus bessere Beweglichkeit besitzt und so einfacher mit einer Isocyanatgruppe zusammentreffen kann. Es ist reaktiver als Hydroxypropylacrylat und weniger reaktiv als 4-Hydroxybutylacrylat.[4]
Verwendung
Hydroxyethylacrylat kann über radikalische oder ionische Polymerisation in Bindemittel, wie etwa Polyacrylate, eingebaut werden. Da Hydroxyethylacrylat über eine freie Hydroxygruppe verfügt, kann es genutzt werden, um Hydroxygruppen in Harze einzubauen. Diese Gruppen stehen dann für Härtungsreaktionen mit Isocyanaten oder Harnstoffharzen zur Verfügung.[4]

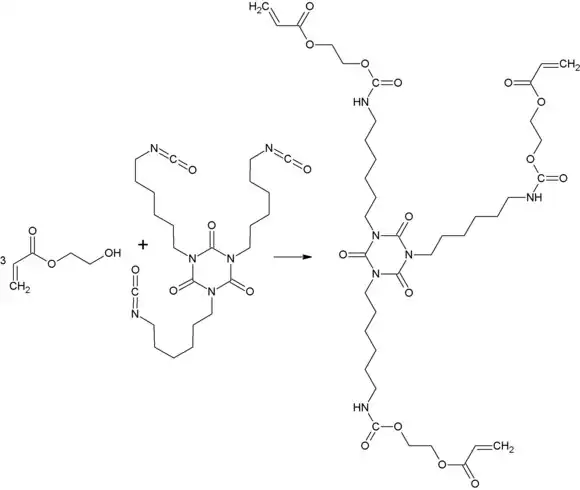
Neben der Möglichkeit, Hydroxyethylacrylat über die Doppelbindung in Harze einzubauen, besteht auch die Möglichkeit, dies über die Hydroxygruppe zu vollziehen. Beispiel wäre hierfür die Reaktion aus 3 Mol Hydroxyethylacrylat und einem Mol HDI-Isocyanurat. Hieraus ergibt sich ein Urethanacrylat, welches als Reaktivverdünner in über UV-Strahlung härtbare Beschichtungen eingesetzt werden kann.[4]

Einzelnachweise
- ↑ Eintrag zu 2-HYDROXYETHYL ACRYLATE in der CosIng-Datenbank der EU-Kommission, abgerufen am 24. Oktober 2021.
- ↑ a b c d e f g h i j Eintrag zu 2-Hydroxyethylacrylat in der GESTIS-Stoffdatenbank des IFA, abgerufen am 11. Juni 2018. (JavaScript erforderlich)
- ↑ Eintrag zu 2-hydroxyethyl acrylate in der Datenbank ECHA CHEM der Europäischen Chemikalienagentur (ECHA), abgerufen am 11. Juni 2018. Hersteller bzw. Inverkehrbringer können die harmonisierte Einstufung und Kennzeichnung erweitern.
- ↑ a b c d e Baumstark, Roland, Schwalm, Reinhold, Schwartz, Manfred: Acrylatharze. Vincentz Network, Hannover 2014, ISBN 978-3-86630-820-6.



